
基本假设是空间中的两个物体可以相互接触,但不能穿透(non-penetration condition),从物理角度来看属于非线性行为。在MeshFree的几何非线性分析中,可用的接触类型有考虑物体之间碰撞和碰撞时摩擦的一般接触(general contact)和在分析初期两个物体粘合在一起进行分析的绑定接触(welded contact)。

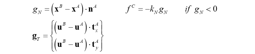
判断为接触的从属节点与主接触面之间的位移关系通过罚函数方法(penalty method)进行约束,并按如下方式定义节点之间的间隙(gap)和接触力:


在上述公式中使用的罚系数
具有赋予主接触面与从属节点之间线性弹性刚性的效果,其数值大小直接决定了非穿透条件的满足程度。在“焊接”条件下,即使法向间隙
为正值,该模型仍会施加接触力,以此模拟使初始相邻的接触面与从属节点保持连接而不分离的效果。此外,在“焊接”条件下,切向罚系数
取值与法向罚系数
保持一致。

在MeshFree中,罚系数由程序自动计算,同时用户可根据需要调整接触设置栏里的法向/切向比例系数。通过修改这些参数,用户即可有效实现非穿透条件或焊接条件的精确满足
选择接触条件后,除了相应位置外部分会按透明显示,可直接在模型上分别确认。
初次做分析时,建议先定义默认值,如果定义不明确,请尝试更改数值,这将有助于快速理解。
或进行模态分析,后处理通过模态结果查看判断接触定义是否正确
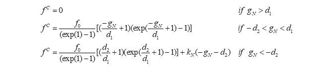
在非线性分析中,由于一般接触的刚度会随间隙值的正负发生从0到
量级的急剧跃变,因此在获得收敛解之前往往会产生显著的数值振荡现象。为改善此问题,MeshFree采用如下修正形式的接触力计算公式:


用户可在上图中查得相应数值,并将其在接触定义的对话框中设置为搜索范围(search range)。如果
,即使两个物体并未发生实际接触,系统仍会生成接触力,此举能有效减轻数值振荡现象,从而提升分析的收敛性。需要注意的是,若该参数被设置为超出物理实际的大数值,则可能导致非正常结果的出现。
对于一般接触,可以考虑进一步的摩擦。为反映摩擦滑动,定义破坏函数如下:

:摩擦系数
可以输出法向、切向、接触压力和接触剪应力



法向刚度系数和切向刚度系数分别代表什么
当两个物体接触时,外力会首先法向/切向方向发生渗透。这时,在接触面上,产生方向性弹簧,以防止物体的穿透而反向施加力,由此产生接触力。各方向的刚度系数表示在一定的强度下抵抗渗透的能力,1.0表示能弹开所有穿透力。
线性接触不会垂直下降,不会产生剪切模量,因此没有意义。
摩擦系数:
定义接触面之间的摩擦系数
法向刚度比例因子:
这个值用来保证发生接触时的接触力。如果增加这个值,那么收敛性会降低;如果减少这个值,收敛性会增加,但是会有侵入现象。
推荐使用默认设置。
切向刚度比例因子:
这个值用来保证发生接触时,在剪切方向的接触力。
设置范围值,可选择自动容差和手动容差
应用自动容差时,自动容差值=所选几何体的特征尺寸×自动接触容差系数
应用手动容差时,由用户手动输入
当部件之间的间隙过大时,用户可以自己输入范围值
如果手动输入范围值,可以会定义多余的接触。因此在定义完接触之后需要检查

即使用户定义了接触,当面与面之间的距离超过接触容差时,接触也不会发生
用手动方法生成接触时,可将输入范围值比测量的距离值大10%
范围是指搜索结构物间接触面的类别
两种形状因公差而分离,如果由于网格尺寸不同而不在同一节点上,则在距离为0mm时,将无法找到接触面。
在线性接触条件下,假设法向方向是固定的,可以输入足够的值来搜索公差。(一般接触需要用户定义)但是,如果范围过大,就会报错。如壁厚为3mm,如果范围5mm,则可能会产生形状内外刚度很大的壁面。
自动设定时,与形状相比,以1/100的比例来考虑线性接触。
因此,对于较大的几何形状,需要验证定义的接触条件,因为自动设置的搜索范围会很大,这可能会导致不必要的接触。