首页/文章/ 详情

耳机充电底座的连续跌落仿真分析与实验

4小时前浏览7

团队成员高工最新在期刊上发表的论文一篇,与大家分享!

摘要

目的 解决单次跌落分析难以完全揭示产品在连续跌落测试中的真实表现,从而提升电子产品的开发效率。方法 为了解决这一问题,本研究针对某头戴式耳机的充电底座,基于RADIOSS进行连续跌落仿真的研究。通过高速摄影机拍摄真实的多次连续跌落过程,与仿真结果进行对比,来验证连续跌落仿真的准确性。

结果 真实跌落中结构上盖和底盖的开口最大值为5.39 mm,仿真中的开口最大值为5.25 mm,仿真与实测数据基本相当。实验中螺丝柱的断裂位置也与仿真中的高应力区域相互对应。改进后的设计也顺利通过测试。 

结论 这种方法更贴近真实测试场景,全面考虑了残余应力、塑性应变和损伤的累积,从而提供了更准确的可靠性分析结果。通过采用这种方法,不仅可以缩短产品研发周期,而且能够显著提升产品的质量,为用户带来更加可靠和持久的使用体验。

关键词:连续跌落;数值仿真;损伤累积;动能松弛

中图分类号:TH123+.3

Abstract

Drop simulation has become a key technology for enhancing the reliability of electronic products. However, single-drop ana lysis often fails to fully reveal a product's true performance during continuous drop tests. To address this issue, this study focuses on the charging base of an over-head headphones, the continuous drop simulations are carried out with RADIOSS. This method closely mirrors real-world testing scenarios by comprehensively considering the accumulation of residual stress, plastic strain and damage, thereby providing more accurate reliability an alysis results. High-speed cameras were used to capture the actual drop process, and the simulation results were compared to validate the accuracy of the continuous drop simulation. In the real drop test, the maximum opening of the structural upper cover and lower cover is 5.39 mm, while the maximum opening in the simulation is 5.25 mm, the simulation data is basically consistent with the measured data. Additionally, the fracture location of the screw boss in the experiment also corresponds to the high-stress area in the simulation. The improved design has passed the test successfully. By adopting this approach, not only can the product development cycle be shortened, but product quality can also be significantly improved, offering users a more reliable and durable experience.

Keywords: continuous drop; numerical simulation; damage accumulation; dynamic relaxation


      随着信息技术的飞速发展和全球化进程的发展,在线会议已经非常普及,而专业办公耳机就是在线会议必备的电子产品,专业的办公耳机通常会配置充电底座来进行充电以及方便摆放。在充电底座的设计和制造过程中,跌落测试是一个必不可少的环节,它能够有效评估产品在实际使用过程中可能遇到的跌落冲击对产品结构和功能的潜在影响。据统计,超过80%的电子产品损坏源于运输与使用中的跌落冲击[1-2],而消费电子迭代速度的加快更要求研发周期内快速完成可靠性验证。传统的物理跌落测试虽然能够直接验证产品的抗跌落性能,但其高成本、长周期以及对试验条件的严格要求,使得企业在产品研发初期难以全面评估产品的抗跌落性能。近年来,随着计算机仿真技术的不断进步,有限元仿真已成为一种高效、经济的替代手段,广泛应用于各类产品的单次跌落冲击分析中。在王忠强等[3]通过对MP3产品的单次跌落仿真改进了定位销和卡扣的设计确保了产品的结构强度。Dong等[4]针对氢气储存罐,通过改变跌落高度、跌落角度和罐内剩余压力等进行了跌落仿真。在家电产品的设计中,单次跌落仿真也被广泛应用[5-6]。Kang等[7]对3种飞机起落架进行了跌落仿真对比,得到了最佳的结构设计。刘振[8]采用跌落分析对半导体进行了板级和整机可靠性研究。张海龙等[9]通过跌落仿真优化了电脑机箱的结构设计。林丽[10]采用ABAQUS对耳机进行了单次跌落的仿真和实验对比,验证了单次跌落在电子产品中运用的可行性。Kim等[11]研究了不同硬化模型对罐体有限元模拟及应变评估的影响。

      实际使用中的电子产品往往会经历多次跌落,各次冲击产生的结构损伤存在显著累积效应,损伤也很大概率出现在后续的跌落中[12]。当前研究多聚焦于单次跌落仿真优化,对多次跌落的叠加效应探索仍不充分。张鹏娥等[13]尝试通过LS-DYNA的DYNAIN方法构建空调连续跌落模型,但不同工况的应力传递较为复杂。彭统向等[14]针对冰箱基于LS-DYNA进行了多次连续跌落仿真和实验进行了对比。陈运东等[15]首次提出基于RADIOSS的多次跌落叠加仿真技术来构建连续跌落模型,但缺乏实验验证。但目前针对电子产品的连续跌落仿真仍较少涉及,同时如何高效实现材料塑性变形、残余应力状态的跨工况传递仍是技术难点。最后,如何通过仿真与实验的结合,验证仿真结果的可靠性,也是当前研究的关键问题。

     针对上述问题,本文以某头戴耳机的充电底座为对象,开展连续跌落仿真与实验的对比研究:首先建立考虑应变率效应的有限元模型;进而结合RADIOSS显式求解器高效地在相同模型下模拟多次顺序跌落过程,分析结构损伤累积规律;最后设计多工况物理跌落实验,利用高速摄影验证仿真的可靠性,并提出结构的改进方向。本研究旨在验证连续跌落的准确性,为电子产品可靠性设计提供跨工况仿真验证方法,推动仿真技术从单点突破向全生命周期评估的跨越。

1  连续跌落仿真方法

1.1  显示动力学计算方法

跌落仿真由于其接触的复杂性,通常采用显示动力学进行,连续跌落仿真也是基于此进行。动力学方程如式(1)所示           

 

式中:为施加的载荷矢量;M、C、K分别为质量矩阵、阻尼矩阵和刚度矩阵;、、x分别为节点加速度矢量、速度矢量和位移矢量。

RADIOSS通过中心差分法对运动方程进行显示时间积分的方式来求解[16]。RADIOSS软件可以计算复杂的非线性动力学问题,包括边界非线性、结构非线性和材料非线性问题,其优势是显式动力学计算,对高速冲击、爆 炸、碰撞等瞬态动力学问题具有较好的适用性。

1.2  动能松弛

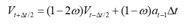
    为了正确模拟产品连续跌落的物理过程,必须考虑跌落后的反弹,以及反弹过程中的弹性变形的恢复。如果不考虑弹性变形的恢复就进行下一次跌落,则结果和实际不符。与撞击阶段相比,回弹直到平衡的时间要长得多。如果按照传统的方式一直计算到所需要的结构完全稳定为止,仅仅单个“跌落-回弹”过程的计算耗时就长到无法接受。

    为了快速获得结构动力载荷作用后的稳定状态,我们采用了Radioss中的自动动能松弛技术(Automatic dynamic relaxation),仅需与冲击阶段相同或更少的计算时间内,即可获得结构最后的永久变形状态为下一次跌落做准备,其关键字为/ADYREL,用户仅需设置动能松弛的起止时间,人工阻尼的设置软件会自动选取合适的值。

    动能松弛技术的核心思想是通过引入人工阻尼,使系统的动能逐步减少,从而达到静态平衡状态。此阻尼只在回弹阶段施加于结构,避免在整个跌落过程中对结果造成影响。动能松弛结束后的结构就是保留残余变形和残余应力的结果,可以直接进行下一次跌落分析。

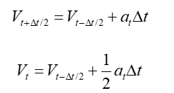
    根据中心差分法,节点的速度更新见式(2)和式(3)。

 

式中:V为节点速度;∆t为计算的时间步长;a为节点加速度。 

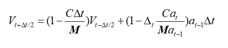
增加阻尼后,节点的加速度更新见式(4)。

 

式中:Fc为阻尼力矩阵;C为阻尼矩阵;M为质量矩阵。结合式(2)至式(4),可得式(5)。

 

进一步整理得式(6)。

     
    
 

结构回弹时,加速度几乎不变,令:

 

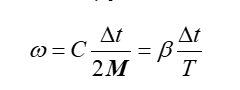
则式(6)可写成式(8)。

 

式中:β被软件定义为动能松弛因子;T为小于结构的最大振动周期。这2个参数都是软件会根据系统振动情况自适应选取最佳的值。

1.3  重启动计算

     RADIOSS具有强大的重启动计算功能,能够在一个跌落工况完成后,可以使用相同的有限元模型,以上一轮自动动能松弛后带有残余应力和塑性变形的结构为初始值,通过关键字即可得到新的边界条件、初始速度、接触关系等,直接继续新一轮的工况计算。该功能减少了很多手动的操作过程,大大提高了用户的设置效率和鲁棒性。

1.4  结构随动

    为了让整个连续跌落自动化运行,设置了在跌落过程中地板强制跟着结构转动和平动,这样就能保证想要的跌落方向不变。这样就能一次性在结构中设置好所有要跌落方向的地板,实现自动化的连续跌落。

1.5 接触生死

    在设置了多个地板的情况下,需要保证前序跌落方向的地板不会与结构发生额外的碰撞,因此需要使用接触生死关键字来删除前序的地板与结构的接触。后续跌落方向的地板通过结构随动来确保不会产生额外接触。

1.6  连续跌落流程

    整个连续跌落按设定的顺序在同一模型依次进行,整个流程经过跌落—回弹—动能松弛—跌落,这样一个反复的过程,直至计算完所有的跌落方向。

2  有限元模型建立

2.1  有限元模型及材料

该头戴耳机的充电底座如图1所示,由上盖、边盖、底盖、内部配重块以及内部电子元器件组成。模型的主要网格尺寸为1.5 mm,圆角以及局部加密区域网格尺寸为0.5 mm,共划分了177 219个实体单元,单元类型为10节点二阶四面体单元TETRA10。

上盖,边盖和底盖均采用PC+ABS塑料材料,在仿真中采用弹塑性本构并考虑材料的应变率效应[10]。配重块是金属件,整个电子产品总质量为178 g。

内部螺钉与零件设置为TYPE2绑定约束。结构自身及结构与地板采用基于罚函数的通用接触TYPE25,其罚刚度不变,该接触类型可自动识别跌落过程中各部件间的相互接触,接触的摩擦因数设为0.1。

 

2.2  计算参数

本计算选择了6个不同的跌落方向,每个面进行了1次仿真跌落,总共按顺序进行了6次跌落仿真,基本涉及产品的各个方向。如图2为前3个跌落方向,如图3为后3个跌落方向。根据实验标准,因为耳机充电底座是放在桌面上的,所以跌落的高度设置为1 m。重力加速度为9.81 m/s。根据自由落体速度公式(2)可求得接近地面时产品的跌落速度为4.43 m/s。设置初始质量增量为2%[16],对应的仿真计算时间步长设定为4e−8 s。每个方向跌落时间为0.004 s,包含0.003 s的自由跌落和0.001 s的动能松弛时间;6个跌落方向的跌落总时间为0.024 s。

 

式中:v为产品到达地面的跌落速度;g为重力加速度;h为跌落高度。

 
   

3  跌落试验及仿真对比

3.1  单次跌落的结果

为了对比单次跌落与连续跌落的差异,单独对6个不同的跌落方向进行了单次跌落。本节针对上盖这个零件进行结果分析。图4为第1次跌落后上盖的von Mises应力云图,最大von Mises应力为22.5 MPa,高应力区域大多在局部区域;图5为第6次跌落后上盖的von  Mises应力云图,最大von Mises应力为53.9 MPa,高应力区域大多在局部区域。

 
 

3.2 单次跌落与连续跌落结果对比

本节我们针对上盖这个零件进行结果分析。图6所示为经过动能松弛后第六次跌落前的残余应力累积结果,最大von Mises应力为34.2 MPa,说明前5次的跌落损伤得到了累积。图7所示为第六次跌落后结构的应力云图,最大von Mises应力为56.5 MPa。对比图5的单次跌落,可以发现经过连续6次的跌落,每一次跌落的应力都得到了累积,同时高应力分布区域也加大很多,更能发现结构的高风险区域。

 
 

本文未直接考虑损伤本构的参数,因此内能仅包含弹性应变能和塑性应变能,见式(9)。

 

式中:为系统的总内能;为弹性应变能;为塑性应变能。

    弹性应变能是可以被释放回复的,而塑性应变能是塑性应变产生的,无法回复。如图8是6次连续跌落过程的动能和内能曲线。从0 s至0.003 s是第1次的跌落和回弹阶段,这时候结构的内能是先增加后减小,当结构变形达到最大的时候即是结构内能最大的时候,这时候结构的动能几乎为0,随后结构反弹,结构的弹性能开始减小,动能开始增加;0.003 s至0.004 s是动能释放阶段,剩余的部分弹性应变能被释放,仅剩塑性应变能,结构的动能也快速耗散为0,此时结构保留了塑性应变,可以开始进行下一次的跌落。随后每一次跌落皆按此过程进行。

    从多次跌落的过程中可以看出,内能总体是一直在上升累积的过程。这也说明了跌落过程中的塑性损伤累积。

 

3.3  跌落试验与仿真对比

    为了与仿真进行对比,我们用真实产品进行相对应的六个方向的连续跌落,并使用高速摄像机记录整个跌落过程。高速摄像机设置为每秒帧率6 400,采样频率为0.156 ms,与仿真的输出频率相当。

这里选取第6次跌落做为典型方向进行对比。如图9所示为高速摄像机拍摄的第6次跌落过程中0.022 s时的变形图,图10所示为仿真中对应这个时刻的变形图。

考察上盖突出区域和地面的碰撞过程中上盖和边盖的开口大小。如图11为后3次跌落仿真中上盖与边盖开口的变化曲线,该开口在第6次碰撞的过程中逐渐加大,在产品回弹的过程中弹性变形逐渐回复,因此该开口逐渐减小,但最终稳定时还是有一定的残余变形,说明结构在跌落过程中发生了一定的塑性变形。

 
 

如图12所示,分别为实验中最大的开口时刻和仿真中最大开口时刻对比,真实跌落的开口最大值为5.39 mm,仿真中的开口最大值为5.25 mm。仿真与实测数据基本相当,验证了仿真的可靠性。

 

如图13所示为经过6次跌落后上盖真实跌落和仿真中的局部损伤对比图。如图14所示为经过6次跌落后边盖外壳真实跌落和仿真中的局部损伤对比图。如图15所示为经过6次跌落后边盖螺丝柱真实跌落和仿真中的断裂区域对比。可以发现仿真高应力区域均与实验中的损伤区域一一对应。这也为结构设计提供了可靠的改进方向。

针对结构损伤情况,对螺丝柱进行了局部加强,如图16所示为改进后的设计,在周圈增加了加强筋,最终在实际的测试当中结构未发生破坏,提高了结构的可靠性。

 
 
 
 

4 结语

      本文应RADIOSS显式动力学分析软件对头戴耳机的充电底座进行了连续跌落数值模拟,并通过高速摄像机将真实实验与仿真中的连续跌落进行了详细对比,仿真结果与实验结果高度吻合,验证了仿真方法的准确性和可靠性。本研究对实际产品设计具有重要意义,解决了单次跌落仿真无法考虑残余应力、塑性应变和损伤的累积,使仿真结果更接近实际跌落工况,可以在设计早期更精准地发现结构设计的薄弱点。通过采用动能松弛的方法,计算量的增加也在可接受范围内,使该方法具有现实的可行性。通过选用合适的软件和方法,使连续跌落更自动,大大减少了手动操作,使该方法更具高效性和鲁棒性。与单次跌落相比,连续跌落只需要关注最后一次跌落的结果即可发现所有风险点,不需要一个一个方向去查看结果,这使得仿真的效率也大大提升。

      目前,该技术还存在一些不足,如计算成本较高以及无法模拟到所有跌落方向,但相信随着算力的提高,该技术可以更广泛地应用于各种产品中,极大地提高设计效率和可靠性,并降低研发成本。未来研究可以继续优化和扩展该方法,以应对更复杂的仿真需求,提升产品设计质量和可靠性,例如应用于上百次的滚筒随机跌落仿真分析中或产品包装的连续跌落中等。

参考文献:

[1] 蒲雪. 基于ANSYS/LS-DYNA的电子产品跌落仿真研究[D]. 兰州: 兰州交通大学, 2016: 10-15.

PU X. Research on Electronic Product Drop Simulation Based on ANSYS/LS-DYNA[D]. Lanzhou: Lanzhou Jiatong University, 2016: 10-15.

[2] 李旭珍, 刘丙金, 马安良, 等. 电子产品装联可靠性验证标准研究[J]. 企业科技与发展, 2022(12): 25-27.

LI X Z, LIU B J, MA A L, et al. Research on Reliability Verification Standard of Electronic Product Assembly[J]. Sci-Tech & Development of Enterprise, 2022(12): 25-27.

[3] 王忠强, 马乙文, 戴阳, 等. 仿真技术在电子产品结构设计中的应用[J]. 现代制造技术与装备, 2023, 59(1): 154-156.

WANG Z Q, MA Y W, DAI Y, et al. The Application of Simulation Technology in the Structural Design of Electronic Products[J]. Modern Manufacturing Technology and Equipment, 2023, 59(1): 154-156.

[4] DONG L T, ZHANG Z M, JIANG Y, et al. Drop Damage An alysis of Automotive High-Pressure Composite Hydrogen Storage Cylinders[J]. Journal of Energy Storage, 2024, 86: 111181.

[5] 宋畅, 范正炼, 马荣鑫, 等. 基于跌落仿真的集成灶包装优化设计[J]. 包装工程, 2024, 45(19): 283-290.

SONG C, FAN Z L, MA R X, et al. Optimization Design of Integrated Stove Packaging Based on Drop Simulation[J]. Packaging Engineering, 2024, 45(19): 283-290.

[6] 范正炼, 马荣鑫, 宋畅. 跌落仿真技术在家电产品品质提升中的应用[J]. 家电科技, 2023(4): 104-108.

FAN Z L, MA R X, SONG C. Application of Dropping Simulation Technology in Improving the Quality of Home Appliances[J]. Journal of Appliance Science & Technology, 2023(4): 104-108.

[7] KANG B H, JO B H, KIM B G, et al. Linear and Nonlinear Models for Drop Simulation of an Aircraft Landing Gear System with MR Dampers[J]. Actuators, 2023, 12(7): 287.

[8] 刘振. 冲击载荷作用下芯片封装的板级-整机可靠性研究[D]. 长沙: 中南大学, 2022: 42-58.

LIU Z. Study on board level-product level reliability of chip packaging under drop impact[D]. Changsha: Central South University, 2022: 42-58.

[9] 张海龙. 基于ABAQUS的服务器跌落仿真与实验研究[J]. 机械工程师, 2021(11): 128-129.

ZHANG H L. Research on Drop Test and Simulation of Server Based on ABAQUS[J]. Mechanical Engineer, 2021(11): 128-129.

[10] 林丽. 头戴式耳机跌落冲击的仿真分析与实验[J]. 包装工程, 2021, 42(9): 37-43.

LIN L. Simulation A nalysis and Experimental Study for Headset Drop Impact[J]. Packaging Engineering, 2021, 42(9): 37-43.

[11] KIM H T, SEO J M, SEO K W, et al. Effect of Material Hardening Model for Canister on Finite Element Cask Drop Simulation for Strain-Based Acceptance Evaluation[J]. Nuclear Engineering and Technology, 2022, 54(3): 1098-1108.

[12] 伍瑾, 卢富德, 王彪, 等. 易损件在连续跌落冲击载荷作用下的动力学响应[J]. 振动与冲击, 2023, 42(20): 275-279.

WU J, LU F D, WANG B, et al. Dynamic Response of Vulnerable Part under the Continuous Drop Impact Loads[J]. Journal of Vibration and Shock, 2023, 42(20): 275-279.

[13] 张鹏娥, 赵林, 纪春荣, 等. 基于LS-DYNA的空调连续跌落仿真研究[J]. 力学与实践, 2020, 42(1): 60-65.

ZHANG P E, ZHAO L, JI C R, et al. Sequential Drop Simulation of Air Conditioning Based on ls-Dyna[J]. Mechanics in Engineering, 2020, 42(1): 60-65.

[14]      彭统向, 王传薪, 史传强, 等. 冰箱连续多次跌落仿真方法的研究[C]// 2023年中国家用电器技术大会论文集, 宁波, 2023: 401-408.

PENG Tongxiang, WANG Chuanxin, SHI Chuanqiang. Research on Continuous Dropping Simulation of Refrigerator[C]// Proceedings of the 2023 China Household Appliance Technology Conference, Ningbo, 2023:401-408.

[15] 陈运东, 索小争, 孙靖超, 等. 基于RADIOSS求解器的同模型多次跌落仿真方法研究[C]//2016年中国家用电器技术大会论文集. 宁波, 2016: 574-577.

[16] 孙靖超, 陆淑君, 李健, 等. Radioss基础理论与工程高级应用[M]. 北京: 机械工业出版社, 2021: 10-13.

SUN J C, LU S J, LI J, et al. Radioss Basic Theory and Advanced Application of Engineering[M]. Beijing: China Machine Press, 2021: 10-13.

来源:水木人CAE
ACTMechanicalLS-DYNASystemRADIOSS瞬态动力学振动显式动力学断裂碰撞拓扑优化二次开发通用电子消费电子芯片理论材料
著作权归作者所有,欢迎分享,未经许可,不得转载
首次发布时间:2025-11-09
最近编辑:4小时前
水木人CAE
硕士 | R&D仿真部门经... 做一个有趣的工程师
获赞 78粉丝 75文章 55课程 9
点赞
收藏
作者推荐
未登录
还没有评论
课程
培训
服务
行家
VIP会员 学习计划 福利任务
下载APP
联系我们
帮助与反馈