车载系统的振动主要来源于以下几个方面:
| 发动机与动力系统 | ||
| 道路激励 | ||
| 空气动力与共振 | ||
| 车体结构传递 | ||
| 附件装置振动 |
这些激励往往叠加,形成多频带、非线性、随机振动环境
核心目标:
“降低传递、控制响应、提升阻尼。”
调整固有频率:使系统固有频率避开发动机与路面激励频率(通常<200 Hz)。
提高刚度或增加质量都能调整固有频率:
增加框架稳定性:采用封闭截面(矩形管)和三角加筋结构。
对称布置气瓶:减少偏心力矩与扭转振动。
优化连接节点刚度:避免局部柔性节点成为振动放大点。
阻尼是最有效的“振动耗能”手段。
| 橡胶支撑垫/阻尼垫 | ||
| 复合隔振支座 | ||
| 弹簧悬置系统 | ||
| 阻尼涂层/阻尼层板 | ||
| 流体阻尼器或TMD |
柔性连接管路:采用波纹软管或金属软管过渡,吸收震动位移。
浮动式安装:气瓶与车架之间加入弹性连接,避免刚性约束。
防松设计:使用防松螺母、涂胶螺栓、预紧力控制。
多点支撑:分散振动应力,避免集中载荷。
模块化支架设计:各储氢模块独立支撑,避免结构共振。
橡胶类材料阻尼系数随温度变化显著:
低温(-40℃)时变硬、阻尼降低;
高温时软化,易蠕变。
→ 应选择低温柔性橡胶或复合阻尼材料。
复合材料气瓶(IV型)刚度较低,应设计缓冲结构防止共振。
金属框架易传导振动,应增加阻尼层或使用复合连接。
模态分析(Modal Analysis):识别结构固有频率与振型。
随机振动分析(PSD分析):评估道路激励下响应。
试验台振动验证:根据GB/T 31467 或 SAE J2579标准进行。
加速度监测:实车振动测试点包括气瓶中部、框架连接处、阀块位置。
| 系统层面 | ||
| 结构层面 | ||
| 连接层面 | ||
| 材料层面 | ||
| 工艺层面 | ||
| 验证层面 |

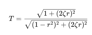
其中:
r = \frac{\omega}{\omega_n}r=ωnω 为频率比
\zetaζ 为阻尼比
→ 要实现良好的隔振:

设计目标:避开共振、吸收能量、隔离传递。
关键措施:结构优化 + 橡胶阻尼 + 柔性连接 + 模态控制。
验证手段:仿真分析 + 实车振动试验