首页/文章/ 详情

计算力学开源代码大放送

15小时前浏览9

文一:

 

基于开源代码的贝叶斯反演解决计算力学中的各种一维模型问题

摘要:

计算力学中许多问题的复杂性要求有可靠的编程代码和精确的模拟系统。通常,模拟响应强烈依赖于材料和模型参数,其中区分了后向模型和前向模型。为材料/模型参数提供可靠信息,使我们能够校准正向模型(例如,偏微分方程系统)。马尔可夫链蒙特卡罗方法是估计参数后验密度的有效计算技术。在本研究中,我们将贝叶斯反演应用于几个力学问题,并研究其适用性以提高模型的准确性。提出了耦合多场(和多物理)系统中的七个不同边值问题。为了提供全面的研究,同时考虑了与速率相关和与速率无关的方程。此外,开源代码(https://doi.org/10.5281/zenodo.6451942),构成了用于例如多场耦合问题的未来发展的方便平台。开发的软件包是用MATLAB编写的,提供了有关机械模型问题和反向贝叶斯反演设置的有用信息。

 

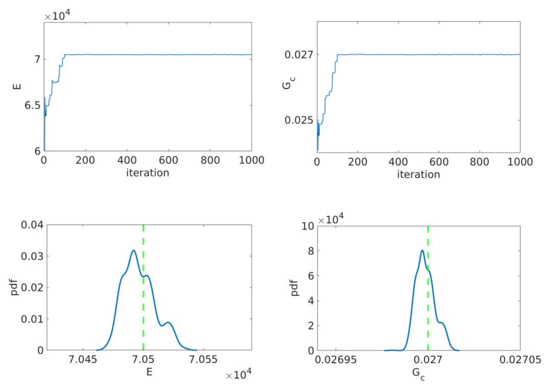
图:示例1。通过不同的贝叶斯技术获得E的MCMC链。从左到右:MH、AM和DR(第一行),DRAM和EnKF(第二行)

 

图:示例1。通过不同的贝叶斯技术获得的E的后验分布。从左到右:MH、AM和DR(第一行),DRAM和EnKF(第二行)

 

图:例子4。用 EnKF 方法估计不同参数的后验密度。真实值用绿色虚线表示。

 

图:例子6。位移(左上)、相场(右上)和温度(下)在不同时间步长中的演变。用于贝叶斯反演的最后一步显示为黑色虚线

文二:

 

计算力学中的Julia语言:一个新的竞争者

摘要:

数值方法是计算力学中最流行的工具,已被用于解决各种实际工程问题。然而,用于实现数值方法的最常见的编程语言并不能有效地平衡生产力和效率的要求。为了解决数值计算中计算密集度最高的领域,通过高级语言提高抽象性和生产力,麻省理工学院(MIT)于2012年发布了Julia语言。Julia语言是一种开源程序ming语言,语法简单,性能令人满意;这对于科学计算特别有用。本文对Julia语言在计算力学中的应用进行了全面的综述。首先,我们介绍了现有的用Julia语言开发的数值计算软件包及其相关应用。其次,我们分析了Julia语言在计算力学软件包开发中的能力。最后,我们讨论了关于Julia语言的悬而未决的问题,以及在计算力学中使用Julia语言所面临的挑战。

 

图:常用的基于网格的方法和无网格方法

 

图:计算力学软件开发中的常见问题

文三:

 

用于材料失效多尺度建模的计算库

摘要:

我们提出了一个名为PERMIX的开源软件框架,用于固体裂缝的多尺度建模和模拟。该框架是一个面向对象的开源工作,主要使用Fortran 2003标准编写,带有许多其他库(如LAMMPS、ABAQUS、LS-DYNA和GMSH)的Fortran/C++接口。采用扩展有限元方法(XFEM)对连续体层面的断裂进行了建模。使用几种新颖或最先进的方法,该软件处理半并发多尺度方法以及并发多尺度断裂方法,分别将两个连续域或原子域耦合到连续域。我们的开源软件的效率通过几个模拟来展示,包括粘土纳米孔中的3D裂纹建模、半并发FE-FE耦合、3D Arlequin多尺度示例和用于动态裂纹扩展的MD-XFEM耦合。

 

图:并发和半并发多尺度方法示意图

 

图:二维握手域中的加权函数

 

图:不同的边界条件方法。a均匀应变和b均匀应力边界条件

 

图:三维 RVE 包括随机定向和分布的粘土颗粒(红色硬币形状的物体)和裂纹(灰色椭球体)。

文四:

 

通过机器学习求解计算力学中偏微分方程的能量方法:概念、实现和应用

摘要:

偏微分方程(PDE)是对科学和工程中的不同现象进行数学建模的基础。解决它们是迈向精确了解自然和工程系统行为的关键一步。通常,为了在可接受的程度上求解表示真实系统的偏微分方程,分析方法通常是不够的。必须采用离散化方法。对于工程问题,最著名的选择可能是有限元法。然而,也有强大的替代方法,如无网格方法和等几何分析(IGA)。其基本思想是通过专门构建的具有一些理想性质的函数来近似PDE的解。在这篇文章中,我们探索了深度神经网络(DNN)作为近似的一种选择。他们在视觉识别等领域取得了令人印象深刻的成果。DNN在这里被视为函数逼近机。定义它们的结构有很大的灵活性,架构和算法的重要进步使DNN成为一种非常有趣的替代方案,可以近似PDE的解决方案。我们专注于对计算力学感兴趣的应用。大多数研究这种可能性的贡献都采用了搭配策略。在这项工作中,我们专注于机械问题,并分析PDE的能量格式。机械系统的能量似乎是机器学习方法处理机械问题的自然损失函数。为了证明这些概念,我们处理了几个问题,并探索了该方法在工程中的应用能力。

 

图:内部压力下的空心球体。几何设置和边界条件。

 

图:深能量法的全过程。

 

图:承受内压的空心球的预测解。

 

图:扭曲 Neo-Hookean 长方体 DEM 中 CDEF 平面的位移大小和 VonMises 应力。

文五:

 

基于 Fourier 级数的不规则颗粒计算力学的离散元方法

摘要:

许多天然和工程颗粒材料主要由不规则形状的非球形颗粒组成。本文针对不规则形状粒子的计算力学,提出了一种新的基于傅立叶级数的离散元方法。在FS-DEM中,引入了基于傅立叶级数的粒子几何描述和坐标表示,其中粒子形状由FS系数隐式确定,FS系数保持不变,与粒子位置或运动学无关。然后,使用基于FS的粒子表示,开发了接触检测和解析算法来识别接触并解析接触几何特征。FS-DEM方法是利用传统的接触行为、运动定律和运动积分来完成的。通过三个算例评估了FS-DEM框架的精度和计算效率,并与基于重叠离散元聚类的DEM方法进行了比较。结果证明了FS-DEM方法的鲁棒性和优越性,以及它在不规则形状粒子系统的有效计算建模中的潜力。

 

图:不规则粒子的局部坐标系和全局坐标系的图示。

 

图:在 t = 0.01,1,2和4s 时所拍摄的快照显示了不规则颗粒的沉积过程。

 

图:压缩过程不同阶段的颗粒堆积(顶部)和接触织物(底部):ε=0%(左)、ε=6%(中)和ε=12%(右)。粉红色的线表示粒子的方向,黑色的粗线表示接触力链。

 

图:从莫哈韦火星模拟的 X 射线 CT 图像重建的形状模板。

来源:STEM与计算机方法
LS-DYNAAbaqus断裂MATLAB离散元裂纹理论材料LAMMPS多尺度数字孪生人工智能
著作权归作者所有,欢迎分享,未经许可,不得转载
首次发布时间:2025-11-01
最近编辑:15小时前
江野
博士 等春风得意,等时间嘉许。
获赞 56粉丝 83文章 153课程 0
点赞
收藏
作者推荐

有限离散单元法(FDEM)前沿研究进展

文一: 一类适用于FDEM的需要精确模拟填充颗粒结构中的形状影响的颗粒问题摘要:在许多颗粒材料模拟应用中,DEM能力侧重于动态固体颗粒流特性和涉及数百万颗粒的系统。关联时间是实时的几秒甚至几分钟。简化假设是为了在实际时间范围内完成运行。有一些特定的应用,通常涉及人造颗粒,其中一个代表性的包大约有一千个颗粒。因此,通常可以更准确地捕捉复杂形状的影响。需要更高的精度来建模空隙空间的拓扑结构,例如,用于进一步的CFD模拟和燃料流特性的优化。或者,精度可能对结构性能至关重要,并且要控制通过接触点的力或应力传递,以避免材料损坏和不良功能。本文简要总结了颗粒群落中填料结构形状影响的模拟方法,并将范围缩小到形状影响最受关注的问题。强调了单尺寸、单形状填料问题的两个应用:气体重整中的催化剂载体颗粒和防波堤结构中的混凝土护面单元。讨论了FDEM在粒子相对较少的填充系统中用于复杂形状粒子相互作用的明显优势。提出了一类粒子问题,即“适合FDEM”的问题,这些问题理想地由FDEM而不是DEM来解决,以供科学和工程使用。 图:蒸汽甲烷重整原理及反应管内的催化剂颗粒填料 图:使用Solidity沉积球体和三叶草形成的填充结构 图:直切片和三维视图显示了用FDEM Solidity填充在圆柱体中的实心圆柱形颗粒内部计算的不同应力。根据检查的应力成分,可以检查应力链和压碎或拉伸断裂的脆弱性。 图:在FDEM Solidity中,具有孔的椎间盘的3D裂缝模型和2D裂缝模型可以改善表面积,但使颗粒更容易破裂。 图:FDEM在防波堤稳定性预测中的应用:a具有排-柱模式的核心Loc单元的防波堤,b防波堤截面~106个单元的模型,统计最大接触力,c张应力细节,d波浪-结构相互作用序列的压力和速度时程,用IHFOAM建模,e护面单元的移动,用FDEM固体波浪代理建模,f扭王字块II™ 单位,g在风暴波序列的FDEM模型中装甲单位之前(白色)和之后(彩色)的位置。 图:FDEM Solidity模拟显示了孔颗粒几何形状的堆积结构,Core Loc™ left和X-bloc®right,广泛用于防波堤的单层护面。约3mm宽凹形颗粒进入的随机定向和间距结构,即比典型防波堤原型尺寸小约1000倍。注:X-blocs的体积孔隙率较高文二: 颗粒尺寸和形状向稳态的演变:可压碎颗粒材料的FDEM模拟的见解摘要:我们将颗粒形状表示、颗粒破碎建模以及碎片大小和形状获取方面的最新进展添加到有限元和离散元组合方法(FDEM)中。颗粒材料被建模为可压碎且形状不规则的多面体颗粒的集 合。在单个颗粒的有限元离散化中,通过嵌入在任意四面体对之间的可破裂内聚界面单元(CIE)来模拟颗粒破裂。在没有将模型参数校准为特定类型的颗粒材料的情况下,FDEM模拟结果在质量上与实验室测试和DEM模拟非常一致,这表明FDEM方法揭示了可压碎颗粒材料的主要机制。颗粒破碎主要通过拉伸裂纹扩展引起的主要分裂或剪切掉局部凹凸而发生。我们分析了颗粒破碎过程中颗粒尺寸分布和颗粒形状的演变。从FDEM模拟和其他实验结果来看,我们认为,当压缩到足够高的应力水平或剪切到非常大的应变时,颗粒土可能会达到稳定状态。当达到稳定状态时,颗粒破碎几乎停止,颗粒尺寸和形状分布几乎保持不变。 图:内聚裂纹模型示意图 图:椭球体内部粒子生成算法的两个实现。 图:(a)生成的多边形粒子的纵横比和(b)球面度的等高线,作为外接椭球的延伸率和多面体顶点数量的函数。 图:Odometer压缩设置:(a)由1150个颗粒组成的初始颗粒组件;(b) 单个多面体粒子;(c) 粒子的有限元离散化;(d) 十节点四面体单元;(e) 零厚度内聚界面单元(有限厚度仅用于演示目的)。 图:不同颗粒强度样品的压缩行为:(a)正常压缩线;(b) 失效CIE的占比。 图:(a) 正常压缩过程中静止时侧向土压力系数的演变;(b) 不同垂直应力下平均法向接触力的分布。 图:(a)粒径分布、(b)粒径频率和(c)不同垂直应力下母体颗粒破碎概率的演变。文三: 基于X射线显微CT和FDEM的颗粒材料微观行为探测增强工具摘要:我们提出了一种将X射线显微计算机断层扫描测试与有限元和离散元混合方法相结合的增强工具,以研究颗粒材料的力学行为。我们首先在X射线显微CT下对渥太华砂进行了最小三轴试验。然后,进行球谐分析来表征粒子的多尺度形态特征,并将其用于粒子匹配。粒子跟踪算法即使在大应变间隔下也能确保粒子配置之间的匹配精度。为了探测粒子内的接触力,我们从X射线图像数据中重建了数值样本。在不校准材料参数的情况下,FDEM模拟与实验记录的渥太华砂的总体响应在数量上一致。此外,通过模拟获得的颗粒尺度动力学与实验结果在数量上显著一致。所提出的工具为从颗粒到颗粒系统的桥接长度尺度提供了新的线索。我们发现,颗粒材料通过大的非粘性位移的空间局部化区域发生塑性变形,这些区域的时空演化控制着系统的宏观响应。力链坍塌与剪切转换区内形成的大型诱导结构空隙有关。此外,我们还发现了颗粒材料中颗粒应力波动与颗粒塑性重排之间的联系。 图:本研究的示意图说明。 图:实验装置示意图。(a) ERDμ仪器。(b) 实验测试期间的样品。(c) 测试的渥太华砂的粒度分布。 图:三维图像处理和建模的示意流程。(a) 3D图像分割的处理。(b) 基于球谐重构的粒子表面数学表征与建模。(c) 不同SH度下导出的球面谐波旋转不变量的统计差异(一个粒子来自参考(Ref.)配置,三个粒子来自变形(Def.)配置)。(d) 选定粒子的数字重建和匹配结果(粒子Ref.1与粒子Def.2匹配)。 图:样本中所有粒子的SH旋转不变量的相关系数矩阵。颜色表示范围(0,1)中的数据点密度,黄色表示较高的密度。 图:渥太华沙样品的重建(a)实验样品的X射线断层扫描数据的3D渲染。(b) 数值样本与有限元离散化。 图:数值样本和实验样本的比较。(a) 为了清晰起见,将数值样本的数据对相关函数g(r)垂直偏移0.7,(b)配位数的分布,(c–d)分支向量和接触法向量的角度分布,每个角的长度和颜色分别表示在角度内定向的分支向量和接触法向量的密度。 图:实验中颗粒尺寸分布的演变,涵盖了所有的负载。 图:(a)实验和(b)数值模拟的五种应变状态下局部偏应变的空间分布。 图:(a) 不同应变状态下法向接触力的玫瑰图。长度和颜色分别表示在角度内定向的法向接触矢量的密度和平均法向接触力。(b–c)从不同角度观察不同应变状态下力链的空间分布,分别近似平行于X轴和Y轴。链的厚度、颜色和不透明度与接触力的大小成比例。文四: 基于室内试验数据的有限元和有限离散单元法模拟隧道支护完整性摘要:在撰写本文时,West Vaughan下水道系统(WVSS)隧道计划在加拿大安大略省多伦多市建造。进行了一项岩土工程计划,以表征各向异性基岩格鲁吉亚湾页岩的力学特性,并确定其表现出较弱的岩石强度特性、中等至中等的各向异性和极低的耐磨性。在表征之后,使用混合有限元-离散元方法(FDEM)对页岩进行了数值校准,并用于定性模拟WVSS隧道。FDEM的主要优点是能够明确模拟岩土材料中的压裂,从而可以估计开挖损伤区(EDZ)。此外,还采用各向异性弹性和裂缝模型对页岩进行了适当的模拟。模拟的目的是明确比较有限元法(FEM)和FDEM在估计岩体和支护衬砌的变形和应力方面的差异。在原始应力条件没有导致岩石破裂的FDEM模拟中,FEM和FDEM结果非常相似。然而,在岩石破裂的模拟中,由于最大地应力相对于地层的方向,主要由层面滑动组成,几个关键差异是明显的。在FDEM中模拟的衬垫具有不对称的应力和应变分布,衬垫变形大约大60%,应力可以大到四倍,并且衬垫中的应力是纯压缩的。 图:项目区域相对于安大略省南部地区的位置 图:格鲁吉亚湾页岩测得的(a)单轴抗压强度、(b)杨氏模量和(c)泊松比分布 图:Irazu软件中(a) I 型和 II 型断裂模型;(b)混合型(I-II 型)断裂准则 图:(a)FPZ概念说明;(b) 在Irazu的FPZ的数值实现 图:k=3、4和5的隧道开挖的FDEM模拟,其中每一排对应于相同的原位应力状态。文五: FDEM和X射线计算机断层扫描在砂土中的三轴压缩摘要:采用有限离散元法(FDEM)结合X射线CT成像对渥太华干砂的三轴压缩实验进行了数值模拟。引入并验证了一种新的框架,其中在使用壳单元模拟三轴边值问题的有限元模拟中捕捉颗粒形状。所提出的方法非常适合于具有低/中等围压的载荷情况,其中颗粒破碎可以忽略不计。该数值模型允许颗粒变形以及真实颗粒形态的稳健颗粒接触织物演变。在本研究中,将乳胶约束膜建模为超弹性材料,以在圆柱形砂试样的侧表面提供柔性边界条件。体积变化测量是直接基于砂粒组件的凸包获得的,没有乳胶膜效应的贡献或相关误差。在本文中,我们试图从考虑宏观和微观响应的不同角度来探索FDEM建模方面。讨论了摩擦边界和无摩擦边界对位移场中强度-变形响应和局部化的影响。此外,还量化了网格细化、颗粒间摩擦系数和临界剪切应力对强度和体积变化响应的敏感性。 图:将渥太华沙子的CT图像转换为渥太华沙子颗粒组件的离散三维数值模型。 图:有限元模拟中两个相同球体在不同载荷条件下的排列:(a)法向压缩,(b)剪切载荷,(c)旋转载荷,(d)扭转载荷 图:在140kPa围压下剪切试样期间,摩擦边界渥太华砂组件中的位移;(a) 2%的轴向应变,(b)5%的轴向应变、(c)9%的轴向应变和(d)15%的轴向应变。(在试样底部形成一个位移可忽略不计的锥形楔)(位移单位为mm) 图:随着轴向应变的变化,经历旋转超过平均值加两倍标准偏差(µ+2σ)的晶粒的空间位置;(a) 2%的轴向应变,(b)5%的轴向应变、(c)9%的轴向应变和(d)15%的轴向应变(旋转为弧度)。来源:STEM与计算机方法

未登录
还没有评论
课程
培训
服务
行家
VIP会员 学习计划 福利任务
下载APP
联系我们
帮助与反馈