首页/文章/ 详情

PID运算电路

1小时前浏览8
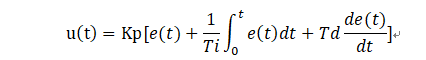
PID算法是一种十分经典的控制器算法,在绝大多数自动控制系统中都会用到,其数学表达式:

使用运算放大器可以搭建出很多有意思的电路,今天这里介绍我们在自动控制系统中的PID运算电路,在此之前,先介绍几个使用运放搭建的基础电路:

1、比例运算

如图1所示,该电路是反相比例运算放大电路,其公式为:
图1

2、积分运算

如图2所示,该电路是积分运算电路,其公式为:
图2

3、微分运算

微分运算与积分运算互为逆运算。如图3所示,该电路是微分运算电路,其公式为:
图3

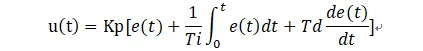
4、PID运算

重写PID数学表达式:

从该式可知,PID由比例、积分和微分三种运算之和。据此,可以将上面提到的三种电路整合在一块就可得到PID调节器,如图4所示,从中可推出公式:

图4

这个PID调节器电路在模拟电源的环路中经常用到,其实在实际项目中,更常用到的是PI调节器,这时只需要将C1移除即可。如果要想使用PD调节器,只需将R1移除。

声明:


 
声明:文章来源网络。本号对所有原创、转载文章的陈述与观点均保持中立,推送文章仅供读者学习和交流。文章、图片等版权归原作者享有,如有侵权,联系删除。  

来源:硬件笔记本
电源电路电子控制
著作权归作者所有,欢迎分享,未经许可,不得转载
首次发布时间:2025-11-11
最近编辑:1小时前
硬件笔记本
本科 一点一滴,厚积薄发。
获赞 156粉丝 45文章 526课程 0
点赞
收藏
作者推荐

为什么220V电路板必须有安规电容?

01前言只要是接有220V的电路板,一般都会看见安规电容的存在02什么是安规电容?逐字理解‘安规电容’(无非就是符合安全规定的电容)其中,安规电容可细分为X电容和Y电容电容有诸多种分类,X电容本质就是聚酯电容,Y电容本质就是瓷片电容聚酯电容内部介质是聚酯瓷片电容内部介质是瓷片03安规电容有什么作用?安规电容的作用是滤除高频干扰(这些干扰可能来自雷电产生的干扰或插拔产生的干扰)X电容是接在火线和零线之间Y电容分别是接在火线和地线之间,零线和地线之间可以看出,X电容在电路中起到差模干扰的作用,而Y电容起到共模干扰的作用先来看X电容,假如现在火线上出现了高频的干扰信号,此时的流向如图所示经过X电容之前,和之后的高频信号的幅度没变,但是相位相差180度所谓‘差模’就是相位相差180度再看Y电容,火线和零线上的高频信号的幅度和相位都是一样的(也就是同步)所谓‘共模’就是幅度相位频率都一样由于火线和零线的干扰是一样的,此时X电容就不起作用因为可以把地线看成零电位,又由于电势差的存在,所以可以在火线和地线之间连接电容,这样就可以把高频信号滤除掉,零线也是同样的04可以用其它电容代替安规电容吗?答案是不可以的,因为其它电容有正负之分,接反的话,可想而知,而安规电容没有正负之分另外X电容不能替代Y电容,因为Y电容的耐压值比X电容大05总结X电容用于滤除差模干扰Y电容用于滤除共模干扰X电容比Y电容容值大,但耐压值比Y电容小声明: 声明:本号对所有原创、转载文章的陈述与观点均保持中立,推送文章仅供读者学习和交流。文章、图片等版权归原作者享有,如有侵权,联系删除。 来源:硬件笔记本

未登录
还没有评论
课程
培训
服务
行家
VIP会员 学习计划 福利任务
下载APP
联系我们
帮助与反馈