首页/文章/ 详情

操作指南(三)| Maple Flow 迁移助手- 自动导入Mathcad® 15 工作表

2月前浏览75


  • 简介

  • 什么是迁移助手

  • 如何使用迁移助手

  • 迁移助手自动迁移的内容

  • Maple Flow 不支持的 Mathcad 内容

  • Mathcad 用户应该了解的 Maple Flow 功能

  • Maplesoft 工程服务项目

Migration Assistant


不支持的Mathcad内容

Migration Assistant

这些语言或文档概念要么部分迁移,要么被忽略。根据应用程序,可能存在替代方案。

Migration Assistant


范围变量

Range Variable

这些在 Maple Flow 中没有直接表示。它们被转换为向量,需要用户斟酌是否符合上下文内容。

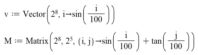
创建和填充向量/矩阵 - 如果第 n 个元素独立于任何先前的元素。

Mathcad 中范围变量的某些使用涉及创建和填充矩阵和向量。您可以使用 Maple Flow 的 Vector() 和 Matrix() 构造函数来实现相同的目的。

Mathcad 示例

Maple Flow 手动翻译

       
       

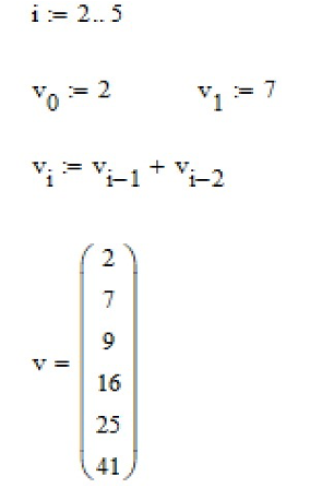
创建和填充向量/矩阵 - 如果第 n 个元素依赖于先前元素的值。

您需要使用 Maple 中的 proc 语法,在 Math > Code 窗口中定义。

Mathcad 示例

Maple Flow 手动翻译

       
       

在工作表中调用函数

       

用于绘图的离散化函数

Mathcad 中用于绘图的范围变量,可能会涉及离散化的定义。这不需要在 Maple Flow 中定义,因为 plot 命令智能地离散化函数以产生平滑的绘图或识别奇点。

绘图前定义了离散化的范围变量 Mathcad

Maple Flow 中不需要

       
       
       
       
       
       


Migration Assistant


绘图

Plots

迁移助手将 Mathcad 绘图转换为静态图像。您可以使用 Maple Flow 绘图命令重新创建您的实时绘图。

Maple Flow 具有灵活的绘图语言,可以广泛定制 - 请参阅文档以获取更多帮助。这些是一些 Mathcad 绘图及其 Maple Flow 等效项。

Mathcad 15

Maple Flow

       
       

Migration Assistant


编程块

Programming Blocks

迁移助手和 Maple Flow(用于工作表转换)仅支持包含多行 if/otherwise 语句的 Mathcad 编程块,不包含其他编程语句。

复杂的 Mathcad 程序(只要它们实现为具有参数的函数)可以转换为 Maple 语言的程序,在 Maple Flow 的 Math > Code 窗口中,然后可以在工作表中调用这些函数。

Mathcad 15

手动编写在代码窗口中

       
       


Migration Assistant


全局定义

Global Definitions

全局定义被转换为局部定义。您需要将局部定义移动到适当的位置或修改工作表以使其按预期执行。

Migration Assistant


嵌入式Excel表格

Embedded Excel Spreadsheets

Maple Flow 不支持嵌入式 Excel 电子表格。Maple Flow 具有以下替代方案。

导入 Excel 数据

如果您想从 Excel 电子表格中导入数值数据,请使用:

  • ExcelTools:-Import

  • 或 “数学”->“导入数据”

以表格形式展示结果

如果您想以表格格式展示结果,请考虑使用:

  • 矩阵

  • 或以表格格式排列和求解变量,然后隐藏命令(如下面所述)

以表格格式排列和计算变量。

       

右键单击每个变量并选择“隐藏命令”(或拖动选择一组变量并选择“隐藏命令”)。

       

变量名被隐藏,但结果保持不变。计算仍然连接到上游分析,如果参数发生变化,将更新计算结果。

       


Migration Assistant


其他

Miscellaneous

  • 页面大小、方向、边距和页眉/页脚未被迁移;这些必须手动指定;

  • 不支持文本中的实时数学内容,迁移时将被忽略;

  • 不支持文本混合对齐,迁移时将被忽略;

  • Mathcad UI组件(如按钮、滑块和组合框)将被转换为图像(后续版本将会支持)。

使用更高级别的Maple功能简化工作

从 Mathcad 到 Maple Flow 的一对一转换可能并非最佳方法;您可以将一些 Mathcad 运算替换为更高级别的 Maple Flow 函数调用,从而简化工作。迁移助手无法查看整个应用程序的上下文,因此需要手动修改。

示例:

 
 
  


来源:Maplesoft公司
电子ADSMaple
著作权归作者所有,欢迎分享,未经许可,不得转载
首次发布时间:2025-09-07
最近编辑:2月前
Maplesoft
提供基于数学的软件和服务
获赞 27粉丝 7文章 91课程 0
点赞
收藏
作者推荐

操作指南(一)| Maple Flow 迁移助手- 自动导入Mathcad® 15 工作表

Migration Assistant目录Migration Assistant本文包含 Maple Flow 迁移助手操作指南的前三个部分。完整版请访:Maple Flow 迁移助手操作指南简介什么是迁移助手如何使用迁移助手迁移助手自动迁移的内容Maple Flow 不支持的 Mathcad 内容Mathcad 用户应该了解的 Maple Flow 功能Maplesoft 工程服务项目Migration Assistant简介Migration Assistant本操作指南面向已经决定将计算迁移到Maple Flow的Mathcad® 13、14 和 15 用户。它不是为了说服您切换工具,但会在您做出决定后帮助您迁移。涵盖以下主题:迁移助手将 Mathcad 13、14 和 15 工作表转换为 Maple Flow 工作表一些针对在 Maple Flow 中无法迁移的内容的建议如何使用高级 Maple Flow 技术使您的计算更流畅Mathcad 15 和 Maple Flow 之间的差异迁移助手和 Maplesoft 的服务目标是使从 Mathcad 到 Maple Flow 的过渡尽可能顺利,但切换软件会带来挑战。Mathcad 和 Maple Flow 虽然共享一些设计功能,但具有不同的键盘、方程编辑器、语法、命令库、计算模型和界面功能。在开始翻译您的 Mathcad 工作表之前,我们建议您先学习如何使用 Maple Flow,方便您来定位迁移后的计算问题。请阅读 Maple Flow 用户手册,了解更多关于以下主题的信息:定义变量、进行数学运算和使用单位输入和编辑文本创建和自定义绘图求解方程和使用其他函数布局工作表不同的数据结构(如表达式、列表、向量和矩阵),以及如何创建它们Migration Assistant什么是迁移助手Migration Assistant迁移助手根据 Mathcad 15 工作表的内容创建 Maple Flow 工作表(它也适用于 Mathcad 13 和 14 工作表)。数学和文档在 Mathcad 工作表中被移动到 Maple Flow 工作表中,在迁移过程中,一些语法和命令将被翻译。对于简单的 Mathcad 工作表,您可以获得一个 Maple Flow 工作表,该工作表给出相同的结果。可能需要对布局进行一些修改。对于使用 Maple Flow 和/或迁移助手不支持的功能或命令的 Mathcad 工作表,您需要修改转换后的 Maple Flow 工作表,以使其按照原本的预期运行计算。请阅读下面的详细信息,以确保您了解迁移助手的功能和限制。Migration Assistant如何使用迁移助手Migration Assistant安装后,迁移助手在 Maple Flow 的 Math 选项卡中可以找到: 单击该按钮将显示此窗口: 单击浏览以打开文件浏览器以选择:一个带有 xmcd 扩展名的 Mathcad 13、14 或 15 工作表或一个带有 xmcd 扩展名的 Mathcad 13、14 或 15 工作表的文件夹然后单击转换将 Mathcad 工作表迁移到 Maple Flow 文件。每个 Mathcad 工作表,将在同一文件夹中生成一个 Maple Flow 工作表,文件名相同但带有 .flow 扩展名。Migration Assistant下期预告Migration Assistant迁移助手把 Mathcad 工作表一键搬进 Maple Flow:文档层面的格式、排版、图片与分页原样保留,常用数学从变量、单位到矩阵、符号运算尽数转换。附赠超全「函数转换表」,把 Mathcad 的 Ai、cholesky、fft 等 150+ 函数自动映射成对应 Maple Flow 命令,迁移完成即可直接运行。来源:Maplesoft公司

未登录
还没有评论
课程
培训
服务
行家
VIP会员 学习计划 福利任务
下载APP
联系我们
帮助与反馈