首页/文章/ 详情

尿素结晶:是进行风险评估还是直接预测?

1月前浏览63

作者:Scott Drennan,杨彭泽

防止SCR后处理系统中出现尿素结晶的形成是设计工程师的主要关注点。如果出现这种情况的话,那么厂家将会承受经济和声誉上的巨大损失。因此,后处理系统设计者必须提前充分评估并尽量减小尿素结晶的风险。


虽然我们口头上说的是“尿素结晶”,但实际的沉积物是尿素分解的副产品。在一个狭窄的温度范围内,酰胺和三聚氰酸(CYA)形成坚硬的结晶沉积在排气系统的壁面上。这些晶体结构一旦形成就非常难以去除,而且沉积物只有在非常高的温度下才会分解。计算流体力学(CFD)工具可以提供有价值的设计指导信息,以减少尿素结晶。如果工具足够精确和快速,则可以满足紧凑的设计周期要求。


尿素结晶的形成需要很长一段时间。有些结晶在长达五分钟的运转时间内依然不会出现。很多此类实验需要考虑让设备运转超过一个小时。采用CFD方法进行一个小时的物理时间的模拟目前是不现实的。不过,我们通过几分钟物理时间的模拟,也可以获得接近于完全发展的液膜状态和稳定的结晶速率。不幸的是,如果使用传统的CFD工具,即使进行几分钟的模拟,也需要巨大的资源,可能需要花费数周的时间。如果一个通宵能跑完是最好的,但如果花费数天时间可以获得一个有价值的结果也是值得的。我们如何提高计算速度,如何确保我们的结果是有价值的,CONVERGE为这些问题提供了两个关键答案。


基本原理:尿素分解机理

在SCR管路的上游注入一种尿素-水溶液(UWS),作为降低NOx所需的氨气的原料。在排气温度下,溶液中的水蒸发后,尿素热解为氨(NH3)和异氰酸(HNCO),如图1左侧所示。然后HNCO在SCR载体前或内部水解成氨气和水。模拟尿素分解最常见的方法是将水蒸发后的尿素处理为熔融固体,分解为气态氨和HNCO[1]。这种分解在液滴和液膜中都会发生。


   

图1:详细的尿素动力学反应图[2]


不幸的是,尿素液膜在130°C到165°C的温度下会形成结晶沉积,且需要非常高的温度才能去除。沉积物的去除是通过分解来完成的,如图1的右侧所示。首先形成双缩脲(biuret),然后需要360°C的高温才能分解转化成三聚氰酸(CYA)和三聚氰胺(ammelide)。


尿素结晶风险评估面临的挑战

如果采用传统方法,由于模拟时间较长,且缺乏我们前面提到的精确描述结晶物生成的化学反应动力学,因此无法直接模拟尿素结晶的形成。许多后处理系统仿真工程师根据液膜温度和其它当地液膜条件来评估尿素结晶风险。这种尿素结晶风险评估模型具有很强的经验性,需要耗费大量工作来标定一些关键液膜参数,如温度、剪切应力等。理想的情况下,在完成标定后,用户确实可以预测哪些壁面存在结晶的风险。但这种方法仍无法提供关于结晶物的生长速度、形状、组成成分及其它设计师需要了解的关键参数信息。在Convergent Science,我们将精确的尿素详细分解机理整合到CONVERGE中,然后引入各种加速技术,从而可以在合理的运行时间内实现尿素结晶的直接预测。


CONVERGE的详细尿素分解机理最初是由我们的合作伙伴法国石油与新能源研究院(IFPEN)开发。IFPEN之前的验证工作表明,尿素详细分解机理在多个基本验证案例中(如加热分解案例,以及单液滴及喷束氨转化案例[2])是准确的。


CONVERGE的详细尿素分解模型已成功应用于美洲五十铃的一款中型柴油发动机的商业验证案例,如图2[3]所示。五十铃在尿素结晶物方面拥有大量的实验数据,并且CONVERGE被用来确定哪一种工况形成了包含结晶成分缩二脲、三聚氰酸(CYA)与三聚氰胺(ammelide)的结晶物。五十铃能够确定结晶物的成分,其中三聚氰酸(CYA)与三聚氰胺(ammelide)的比率是一个重要的参数。通过CONVERGE的尿素详细分解模型预测的采样位置的三聚氰酸(CYA)与三聚氰胺(ammelide)的比率与实测值吻合良好。


现在,我们可以实现完全耦合的方式来模拟结晶详细化学反应、液滴撞壁行为,以及金属壁面和液膜温度。下一问题是如何加快计算速度,以解决结晶模拟所需的超长运行时间问题。


   

图2:美洲五十六中型柴油机尿素沉积位置和化学分析与CONVERGE尿素详细分解预测的三聚氰酸与三聚氰胺的比例吻合[3]


加速策略:流场冻结

我们利用对常见尿素/SCR系统工作原理的理解来优化我们的解决方案,从而显著提高计算速度。在一个脉冲周期内,尿素水溶液喷射持续时间所占据的比率相对较短,且喷雾动量相对于气体动量要小得多。因此,喷雾脉冲之间的气体流动是相对稳定的。针对这种现象,CONVERGE已经实现了我们所说的流场冻结(fixed flow)的求解方法,以模拟这种准稳态行为。该技术利用了时间尺度上的差异,仅在喷雾脉冲期间求解完整的喷雾方程和Navier-Stokes方程。而在喷雾的间隔期间,流动状态保持冻结。通过这种策略,可将尿素/SCR对象的模拟速度提高很多倍。在典型的商业后处理系统上可以实现每天计算30秒的速度(网格数200万左右,并行核数96)。


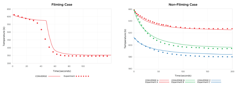
当然,这种加速技术必须经过适当的验证,以确定对准确性的影响。在尿素喷雾、飞溅、液膜传热和蒸发,以及金属温度预测中,最常见的验证案例是Birkhold液膜平板实验[4]。在该案例中,脉冲式的尿素水溶液喷射到一个薄的扁平金属板上,热空气在平板的上方和下方流动。热电偶布置在液膜区的前部。要想成功验证这种情况,需要预测干燥冷却过程中温度下降的初始斜率,捕捉液膜开始形成并快速降温时的温度,以及液膜完全发展时的最终温度。Birkhold平板实验案例的CONVERGE流场冻结结果如图3的左侧所示。我们可以看到三个关键参数都很一致[5]。注意,要达到这个精度,需要对Kuhnke飞溅模型常数进行适当标定。不过一旦完成标定之后,同样的模型常数也可以准确预测无液膜形成条件下的平板温度。


   

图3:Birkhold平板喷雾案例的流场冻结结果。左侧为有液膜模型,右侧为无液膜模型[5]


强强联手:计算速度和高精度结晶机理

基于尿素详细分解机理的CFD方法,使我们可以从传统的结晶风险预测经验模型转换成对实际沉积物形成的直接预测。CONVERGE的尿素详细分解模型已经在经典基础案例[2、6]和商业案例[3]中得到了有效验证。


最近,我们又利用德国卡尔斯鲁厄大学的Deutschmann教授的一些实验数据[7],对CONVERGE的尿素结晶预测能力进行了验证。在本实验中,将三种不同的排气温度和尿素水溶液喷雾条件运行数分钟(见图4)。本研究中可用的实验数据包括排气管外壁温度、结晶形状和结晶物化学成分。不幸的是,没有关于结晶的质量的资料。


   

图4尿素结晶实验布置图、操作条件及结晶构成[7]与CONVERGE仿真结果对比[8]


CONVERGE结晶模拟应用了流场冻结加速策略、精确的喷雾撞壁模型、超循环共轭传热,以及用于预测壁面液膜温度和结晶构成的尿素详细分解机理。CONVERGE很好地预测了外壁温度,包括液膜的位置和形状(见图5)。对结晶构成的预测也与实验非常吻合。在引入了流场冻结加速策略之后,CONVERGE实现了近200万网格模型每天运行30秒物理时间的计算速度。


   

图5:结晶位置外壁温度对比(左侧为实验结果,右侧为CONVERGE结果)。


尿素结晶预测的下一步是基于充分发展的尿素液膜中准确的结晶组分生长速率来实现结晶生长过程的预测。必须在结晶的确切位置计算出诸如三聚氰酸、三聚氰胺和缩二脲等组分的生长速度,从而预测结晶的形状、大小和质量。这种结晶增长预测模型必须能在持续的数分钟乃至一小时内预测出结晶的质量、位置和形态。许多商业用户现在正在使用CONVERGE进行尿素结晶预测,并与他们的实验数据进行比较。


   

图6:基于CONVERGE的组分生长速率预测的尿素结晶生长


CONVERGE尿素结晶预测模型的最主要的优势是,将尿素分解模型与喷雾、液膜、气体流动和金属固体传热模型完全耦合,从而获得准确的液膜产生条件,进而可以正确地预测结晶化学动力学。要说这种完全耦合的方法的唯一缺点就是计算液膜的累积需要的计算成本相对较高。


总结

CONVERGE的尿素详细分解模型(detailed decomposition model)现在拥有了与精度相对较低的熔融固态法(molten-solid)和结晶风险经验评估方法相同的模拟速度。详细分解模型是对我们关注的结晶物组分(即三聚氰酸、三聚氰胺和缩二脲)的直接和完全耦合的计算。因此,这是一种更接近物理真实的方法,只需稍微标定或根本不需要标定就可以实现尿素结晶的准确预测。尿素结晶风险评估模型曾经是一种先进的模型,且给设计工程师带来了很大的价值,但我们现在有了更好的,同样快速的详细分解模型。当我们可以知道什么时候,什么位置,会生成何种类型的结晶物时,我们为什么只进行风险评估呢?


►►►

参考文献

[1] Quan, S., Wang, M., Drennan, S., Strodtbeck, J., and Dahale, A., “A Molten Solid Approach for Simulating Urea-Water Solution Droplet Depletion,” ILASS Americas 27th Annual Conference on Liquid Atomization and Spray Systems, Raleigh, NC, United States, May 17–20, 2015.

[2] Habchi, C., Quan, S., Drennan, S.A., and Bohbot, J., “Towards Quantitative Prediction of Urea Thermo-Hydrolysis and Deposits Formation in Exhaust Selective Catalytic Reduction (SCR) Systems,” SAE Paper 2019-01-0992, 2019. DOI: 10.4271/2019-01-0992

[3] Sun, Y., Sharma, S., Vernham, B., Shibata, K., and Drennan, S., “Urea Deposit Predictions on a Practical Mid/Heavy Duty Vehicle After Treatment System,” SAE Paper 2018-01-0960, 2018. DOI: 10.4271/2018-01-0960

[4] Birkhold, F., Meingast, U., Wassermann, P., and Deutschmann, O., “Modeling and Simulation of the Injection of Urea-Water-Solution for Automotive SCR DeNOx-Systems,” Applied Catalysis B: Environmental, 70, 119-127, 2007. DOI: 10.1016/j.apcatb.2005.12.035

[5] Maciejewski, D., Sukheswalla, P., Wang, C., Drennan, S.A., and Chai, X., “Accelerating Accurate Urea/SCR Film Temperature Simulations to Time-Scales Needed for Urea Deposit Predictions,” SAE Paper 2019-01-0982, 2019. DOI: 10.4271/2019-01-0982

[6] Ebrahimian, V., Nicolle, A., and Habchi, C., “Detailed Modeling of the Evaporation and Thermal Decomposition of Urea-Water Solution in SCR Systems,” AIChE Journal, 58(7), 1998-2009, 2011. DOI: 10.1002/aic.12736

[7] Brack, W., Heine, B., Birkhold, F., Kruse, M., and Deutschmann, O., “Formation of Urea-Based Deposits in an Exhaust System: Numerical Predictions and Experimental Observations on a Hot Gas Test Bench,” Emission Control Science and Technology, 2, 115-123, 2016. DOI: 10.1007/s40825-016-0042-2

[8] Yang, P. and Drennan, S., “Predictions of Urea Deposit Formation With CFD Using Autonomous Meshing and Detailed Urea Decomposition,” SAE Paper 2021-01-0590, 2021. DOI: 10.4271/2021-01-0590


来源:艾迪捷
MeshingACTSystem化学系统仿真CONVERGE新能源UM
著作权归作者所有,欢迎分享,未经许可,不得转载
首次发布时间:2025-09-08
最近编辑:1月前
艾迪捷
MBD CAE解决方案专家
获赞 18粉丝 6文章 561课程 4
点赞
收藏
作者推荐

Ansys Mechanical软件多物理场耦合之热

本文您将了解到如何使用 AnsysMechanical 进行热-电耦合的仿真分析。热-电耦合分析常见应用于像电子连接器、IGBT、保险丝等产品。多场耦合概述多场耦合(multi-physics)是分析多个物理场之间的交互作用。现实工程中,物理场有许多:如温度场,应力场,声场、电磁场等均属于物理场;而我们要解决的许多工程问题往往是多个物理场叠加的问题,这些物理场之间是相互影响的。例如热应力问题,压电问题,振动噪声问题,流固耦合问题等。下面就是一个典型的瞬态热-固耦合分析的例子(搅拌摩擦焊接Friction Stir Welding)●用于预测由于工具和工件之间摩擦产生的热量而导致的温升。●模拟发生在三个载荷步上:插入、停留和横移阶段。●随着冷却的进行,两块板之间会形成牢固的接头。●在接触界面指定粘合温度以模拟焊接。当触点处的温度超过粘合温度时,触点状态由“断开”变为“粘合”。 图1、搅拌摩擦焊接瞬态热-固耦合分析 ▲多场耦合的类型物理场耦合通常可分为两种类型:即顺序或弱耦合、直接或强耦合(详见图2所示)。顺序或弱耦合(Sequential)●通过将一个物理场的分析结果作为边界条件或载荷应用到另一个分析中,从而将两个或多个分析结合起来。●按顺序地求解每个物理场。直接或强耦合(Direct)●单个分析中包含求解耦合场问题所需的所有自由度。●所有物理场同时求解。●使用耦合场单元,该单元的每一个节点上直接包含了所需要的多个物理场的自由度。 图2、物理场耦合常见的两种类型:即顺序或弱耦合、直接或强耦合 ▲ Ansys Mechanical软件的多物理场耦合功能Ansys Mechanical Enterprise软件模块中,不仅可以求解单一的物理场:如结构分析、热分析、声场分析、电、磁场分析等,其单个软件还可以进行多物理场耦合分析:如热-结构耦合、热-电耦合、压电分析、结构-声场耦合等。当然,如果客户还有ANSYS的其它仿真软件,比如Maxwell、Fluent等软件;那么Mechanical软件还可以与这些软件在Workbench协同仿真平台中实现流-固耦合、电磁-结构-噪声耦合等,如图3所示。 图3、Ansys强大的多物理场耦合仿真分析 ▲ 在Ansys Mechanical软件模块中实现热-电耦合分析热学和电学属性如下图4所示: 图4、热学和电学相关属性 ▲下面解释了如何基于珀尔帖(Peltier)和塞贝克(Seebeck)效应实现热-电耦合: 图5、基于珀尔帖(Peltier)和塞贝克(Seebeck)效应实现热-电耦合▲基于Ansys Mechanical的保险丝热-电耦合分析案例:本案例是过载电流状况下的一个稳态分析。这里在原本额定电流为10A的保险丝上将施加30A的过载电流,过载电流将产生适度的温度升高,下图显示保险丝在Workbench平台中Mechanical的热-电耦合(直接耦合)以及随后的热应力分析(顺序耦合)。如果施加短路电流(1000A),保险丝中的温升相当大,很容易超过铜保险丝材料的熔点(1034°C)产生断路。 图6、在Workbench平台中搭建分析流程▲ 图7、在Mechanical界面中显示保险丝模型及相关设置▲ 图8、施加对流边界条件▲ 图9、施加辐射边界条件▲ 图10、施加电流和电压边界条件▲ 图11、热-电耦合仿真结果:温度云图、电流密度云图、焦耳热云图▲小结●耦合场将考虑工程问题中的个两或更多个物理场之间的相互作用。●Mechanical软件中仅提供静态热-电耦合分析;对于瞬态,需要Command命令。●Mechanical软件中温度(T)和电势(V)之间的强耦合可考虑塞贝克(Seebeck)效应。来源:艾迪捷

未登录
还没有评论
课程
培训
服务
行家
VIP会员 学习计划 福利任务
下载APP
联系我们
帮助与反馈