单层石墨烯的制备引起了人们广泛的兴趣,科研工作者也开始关注与其有类似性质的二维材料。二维材料硫族化合物是具有多种优异性能的单分子层结构的过渡金属硫化物,在基础研究和商业应用中受到越来越多的关注。二维材料由于独特的光电特性,并且能够将载流子限制在二维平面内具有高载流子浓度,使其在光电探测、场效应晶体管、p-n二极管和光伏电子学等光电器件领域具有广泛的应用,并被广泛的研究。对于二维材料的计算也是最近科研工作者的关注重点。利用第一性原理计算可以深入分析材料的版单体的物理性质,下面以典型的二维材料MoS2为例介绍材料的计算以及分析过程。

图1 单层MoS2的晶体结构示意图
投影能带的计算:
通过计算可以详细分析能带结构,可以区分出不同自旋方向的能带结构,以便于更加深入的分析电子的运动。MoS2的计算结果说明,在没有外力条件的影响下,MoS2自旋向上和自旋向下的能带基本重合的,且MoS2是直接带隙半导体,导带底和价带顶都是在K点。

图2 单层MoS2的能带结构
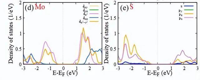
为了更深入的分析,分别计算了单层MoS2中Mo原子和S原子的投影态密度(PDOS),如图3所示,从图中可以看出MoS2的CBM和VBM主要来源于Mo原子的和轨道,S原子的贡献很小。

图3 单层MoS2分波投影态密度
为了更加详细的分析的各个轨道的电子在能带中的分布,可以通过计算MoS2各个原子的各个轨道对能带的贡献情况(球的大小表示贡献权重)如图4所示。Mo原子在界面处的杂化态最为显著。从图中可以看出MoS2的VBM和CBM主要来源于Mo原子的k点的和轨道,其次Mo原子的轨道G点也有着部分的电子贡献,与态密度的计算结果一致。

图4 单层MoS2投影能带结构