上期文章说到,电容焊盘对整个无缘通道的影响,仿真观察了焊盘大小,焊盘参考层掏空尺寸,以及具体参考哪一层。
单从焊盘这一点来看,可以看到阻抗一般会比较小,但是对信号未必造成比较大的影响,可问题就在于,整个链路的阻抗不连续点不止这一处;
比如,信号BGA处的焊盘,扇出孔,连接器等都是阻抗不连续处,那么这些地方和电容的焊盘就会互相影响,我们来看S参数:

可以看到,红色为仅有电容焊盘时的反射,在与扇出孔级联后会变得更差(蓝色),他们之间的距离越大,S11越差(粉色);
下面看一下TDR:

只有电容焊盘时的TDR

扇出孔和电容焊盘之间走线为60mil

扇出孔和电容焊盘之间走线为600mil
这说明,两个阻抗不连续点之间来回反射会使信号低频段恶化,而两个阻抗不连续点之间的距离越大,这种表现越明显,信号开始受影响的频率也越低;
那么,此时对于信号的影响是什么样的呢,来看一下对于5Gbps速率的信号:
驱动端信号波形如下:

信号频谱如下:

信号中的频谱成分比较多;
当电容焊盘距离扇出孔间距为60mil,对应S11曲线中的蓝色曲线,此时,在信号基频,2.5GHz及其谐波受到第一个反射峰值的影响,反射在-10dB左右,不是很大,因此波形受到了一些影响,波形图如下:


扇出孔和电容焊盘距离为60mil
当电容焊盘距离扇出孔间距为600mil时,对应上面的S11曲线中的粉色曲线,此时,在信号基频,2.5GHz及其谐波受到前三个反射峰值的影响,反射在-10dB到-5dB左右,比较大了,因此波形受到了一些影响,波形图如下:

扇出孔和电容焊盘距离为600mil
可以看到,此时,对5Gbps信号已经略有影响了,而且,当电容位置距离扇出孔更远时,信号更差;
此时,似乎信号仍然是比较好的,完全可以接受的,但是要注意,此时只考虑了,电容焊盘和扇出孔的影响,还有损耗、其他反射、串扰、抖动、连接器等诸多因素没有考虑,我们需要做的是优化好每一步;
继续看10Gbps信号:
继续看10Gbps信号:

仿真使用信号的频谱如下:

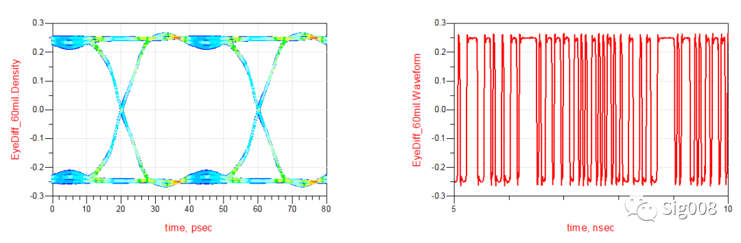
当电容焊盘距离扇出孔间距为60mil时,对应S11曲线中的蓝色曲线,此时,在信号基频,5GHz及其谐波受到第一个和第二个反射峰值的影响,基频反射在-10dB左右,不是很大,而10GHz到20GHz这一段频率分量反射则有-2dB左右,因此波形有一些高频噪声,波形图如下:


扇出孔和电容焊盘距离为60mil
当电容焊盘距离扇出孔间距为600mil时,对应上面的S11曲线中的粉色曲线,此时,在信号基频,5GHz及其谐波受到很多个反射峰值的影响,基频反射在-5dB左右,比较大了,而10GHz到20GHz这一段频率分量反射则有-2dB左右,因此波形不仅有高频噪声,还有一些变形,波形图如下:

扇出孔和电容焊盘距离为600mil
可见,基频受到影响后,波形会非常差;
下面看25Gbps信号:
仿真使用的信号波形如下:

仿真用的信号频谱如下:

当电容焊盘距离扇出孔间距为60mil时,对应S11曲线中的蓝色曲线,此时,在信号基频,12.5GHz及其谐波受到第一个和第二个反射峰值的影响,基频反射在-5dB左右,比较大了,而25GHz到40GHz这一段频率分量反射则有-1dB左右,非常大,因此波形有比较大的高频噪声,而且波形变形比较厉害,波形图如下:


扇出孔和电容焊盘距离为600mil
当电容焊盘距离扇出孔间距为600mil时,对应S11曲线中的粉色曲线,此时,在信号基频,12.5GHz及其谐波受到多个反射峰值的影响,基频反射在-2dB左右,非常大了,而25GHz到40GHz这一段频率分量反射则有-1dB左右,非常大,因此波形有比较大的高频噪声,而且波形变形比较厉害,波形图如下:

扇出孔和电容焊盘距离为600mil
至此,我们分别对比了通道频域特性,不同速率信号波形,分析了电容位置怎样影响S参数,进而怎样影响信号的反射和噪声,从中我们可以看到,电容位置的影响至关重要,不可忽视;
同时,如果您S参数和信号反射有了新的认识,那么咱们没白忙活。
接下来,我们再来观察,当电容距离扇出线600mil时,把电容焊盘阻抗优化好,那么结果如下(蓝色):

蓝色为焊盘优化后

扇出孔和电容焊盘之间走线为600mil TDR(过孔和扇出孔阻抗都优化好了)
下面是波形:
10Gbps

25Gbps

可见,在电容焊盘阻抗优化好之后,适当的放置远一点也是可以的。
最后,对于信号通过电容后的影响做一个小结。
小结:
1、信号AC耦合电容的作用有隔直流,电流防护等;
2、信号通过AC耦合电容,相当于过了一个带通滤波器,对于相当宽频的一个频段来说,不受影响;
3、电容焊盘处,阻抗偏低,电容焊盘越大,阻抗越低;
4、可以通过将电容焊盘下方参考层掏空来抬高阻抗;
5、掏空尺寸越大,阻抗越大;
6、电容焊盘距离参考层越远,阻抗越大;
7、电容位置对整个链路的频域特性有影响,距离越远,频域特性越差;
8、最后,不要觉得某一项因素不构成致命影响就不管了,多个这种因素加到一起可能就影响大了。
大家平时都是怎么处理电容这里的,可以不吝赐教,在后台私信我,我会整理大家的内容,发布出来,以供大家借鉴。
大家如果对电容焊盘的模型建模感兴趣,也可以私信我。