首页/文章/ 详情

<储层地质力学>多孔弹性井壁稳定理论

3月前浏览107

井眼的破坏类似上图所示,在标准岩心中间钻取一个井筒,并进行单轴加载实验,井筒在不同方向的破坏类型如上图所示;在最大主应力方向产生拉应力,导致拉伸破坏;在最小主应力方向,产生压缩应力,导致剪切剥落破坏。

井眼崩落宽度是指在钻井过程中,井眼周围的岩石或地层在特定条件下发生崩塌或坍塌的宽度。这个宽度通常是一个重要的考虑因素,以确保井眼的稳定性和钻井操作的安全性。

井眼崩落宽度的具体计算和要求会取决于许多因素,包括:

1. 井眼直径:井眼直径的大小会直接影响崩落宽度。较大直径的井眼可能需要更大的崩落宽度,以确保稳定性。

2. 井眼中的岩层类型:不同类型的岩石和地层有不同的稳定性特性。一些地层可能更容易发生崩塌,而另一些可能更稳定。

3. 钻进液体性质:使用的钻进液体类型和性质也会影响井眼的稳定性。钻进液体可以提供支撑和稳定井眼的作用。

4. 钻进方法和钻头设计:钻进方法和钻头的设计对井眼稳定性有直接影响。不同的方法和工具可以降低或增加井眼崩落的风险。

5. 地质调查和工程评估:在钻井项目开始之前,通常进行地质调查和工程评估,以了解井眼周围的地质条件,并确定相应的崩落宽度要求。

一般来说,工程师会使用地质工程和土力学原理,以及经验数据来进行井眼崩落宽度的计算和评估。这有助于确保在钻井操作中避免不稳定的井眼崩塌,从而保障井口操作和井下工作人员的安全。如果您需要具体的计算或更详细的信息,建议咨询专业的钻井工程师或地质工程师,他们可以根据具体项目的要求提供适当的指导。

Poroelasticity(多孔弹性学),也称为多孔介质力学,是力学的一个分支,研究多孔材料(如岩石、土壤和生物组织)的力学行为。它考虑了多孔介质的固体相(如岩石或土壤颗粒)与填充孔隙空间的流体相(如水、油或气体)之间的相互作用。

多孔弹性学考虑了固体基体的变形和多孔材料内部流体的移动。它在地球物理学和土木工程中 特别重要,用于理解地下材料对应力、压力变化和流体流动的响应。多孔弹性学的一些关键概念和原则包括:

1. Biot固结理论:由Maurice Biot提出的这个理论描述了多孔材料在应力作用下由于流体流动而发生变形和固结。它考虑了多孔介质的机械和水力特性之间的相互作用。

2. 应力与孔隙压力的耦合:多孔弹性学考虑了固体相中的机械应力和孔隙空间内的流体压力之间的耦合关系。其中一个的变化可以影响另一个。

3. 渗透性:多孔弹性模型通常涉及渗透性的概念,它描述了流体通过多孔介质流动的能力。应力的变化可以改变渗透性,从而影响流体的流动。

4. 时间依赖性行为:多孔弹性学用于建模时间依赖性行为,如由于孔隙压力的消散而导致土壤随时间的固结。

5. 岩土力学建模:多孔弹性学在岩土力学建模中起着关键作用,该领域应用于储层工程、地下水水文学和岩土工程,用于了解地下材料对各种载荷和流体流动的响应。

多孔弹性学在石油工业中用于储层建模,在土木工程中用于基础设计,在水文地质学中用于理解地下水流动,在医学成像中用于表征组织的力学特性。它提供了一个框架,用于分析和预测多孔材料对各种机械和水力的响应行为。

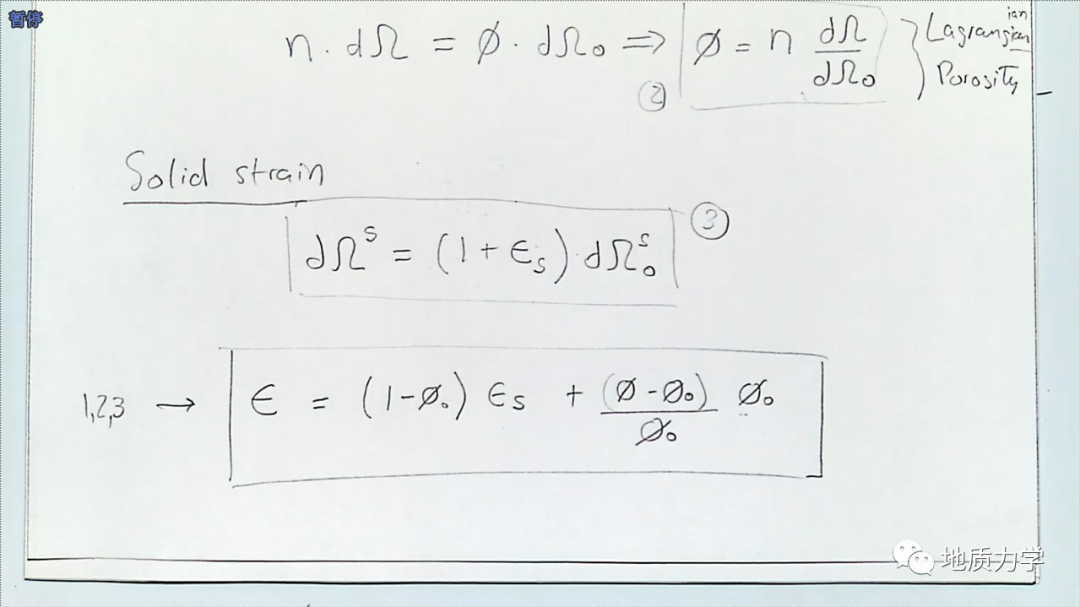
固体应变和孔隙度应变是多孔弹性学中的两个关键概念,用于研究多孔材料的力学行为。这些材料,如岩石和土壤,包含固体相(颗粒或颗粒)和孔隙空间内的流体相(如水、油或气体)。固体应变和孔隙度应变有助于描述这些材料在外部力作用下的变形和响应。

1. **固体应变**:

- 固体应变是指固体组分(多孔材料的框架)在受到应力或负载作用时的变形。

- 当外部力作用于多孔材料时,构成材料的固体颗粒会发生变形,例如拉伸、压缩或剪切。

- 固体应变描述了多孔介质内固体结构的形状和尺寸的相对变化。

2. **孔隙度应变**:

- 孔隙度应变,也称体积应变或膨胀,是指多孔材料在受到应力或流体流动变化的作用下,孔隙度或空隙体积的变化。

- 它量化了多孔材料内部的孔隙空间在机械应力或流体压力变化下的体积变化。

- 孔隙度应变考虑了固体和流体相互作用导致的孔隙空间的扩展或缩小。

在多孔弹性学领域,这两个应变组分用于理解和模拟多孔介质在流体流动和应力作用下的力学行为。固体应变反映了固体框架的变形,而孔隙度应变则表征了材料内孔隙体积和流体压力的变化。这些概念在研究地质和工程应用中的压实、固结、沉降和流体迁移等现象中起着基础作用。

多孔固体的自由能,通常称为赫姆霍兹自由能,代表了固体材料的热力学势能,考虑了其内部能量和熵的影响。在处理多孔固体时,无论是在材料科学、地质学还是凝聚态物理等领域,考虑其自由能是理解其在不同条件下的行为至关重要。
多孔固体的自由能可以表示为:
\[F = U - TS\]
其中:
- \(F\) 为赫姆霍兹自由能。
- \(U\) 为多孔固体的内部能量。
- \(T\) 为温度。
- \(S\) 为多孔固体的熵。

内部能量 (\(U\)) 代表了多孔固体内部原子和分子之间的相互作用能量。熵 (\(S\)) 考虑了固体微观结构的无序或随机性。温度 (\(T\)) 是决定自由能的一个重要因素,因为它与系统的热能有关。

多孔固体的自由能是各种科学领域的重要概念,包括材料科学、地球物理学和化学。它有助于解释多孔材料在不同条件下的行为,如温度、压力变化或孔隙内存在流体的情况。理解多孔固体的自由能对于预测相变、吸附过程和这些材料的热力学稳定性至关重要。

孔弹性材料(poroelastic material)的固体能量方程是一个描述这类材料力学行为的方程。这些材料是由固体骨架和孔隙(或孔洞)组成,通常用于描述多孔材料(如岩石、土壤)或生物组织等的力学行为。孔弹性材料的能量方程通常考虑了固体骨架的应变以及孔隙内流体的渗流。这里是一个典型的孔弹性材料的固体能量方程:

这个能量方程考虑了固体骨架的弹性能量以及孔隙内流体的渗流能量。方程中的各项表示了不同能量贡献的总和。孔弹性材料的行为是固体骨架的机械行为和孔隙内流体的渗流行为之间相互耦合的结果。

需要指出,孔弹性材料的建模和分析通常是相当复杂的,需要考虑多重物理因素,包括固体和流体的性质、边界条件以及非线性效应。孔弹性材料的数学模型和方程可以根据具体问题和研究目标而有所不同。研究孔弹性材料的问题通常需要深入的数值模拟和分析。

来源:岩层书旅
断裂复合材料非线性化学多孔介质油气MATLAB岩土UM裂纹理论材料控制Origin
著作权归作者所有,欢迎分享,未经许可,不得转载
首次发布时间:2025-08-16
最近编辑:3月前
现代石油人
博士 签名征集中
获赞 39粉丝 153文章 1413课程 1
点赞
收藏
作者推荐
未登录
还没有评论
课程
培训
服务
行家
VIP会员 学习计划 福利任务
下载APP
联系我们
帮助与反馈