在压铸生产中,如果说压射工艺和温控控制是决定铸件质量的基石,那么喷涂工艺就是连接模具与金属液之间的桥梁,是生产连续性和模具寿命的“护身符”。然而,喷涂并非“量越大越好”,对压铸喷涂工艺进行精细化控制,是现代压铸技术,特别是结构件、一体化铸件生产中不可或缺的一环。
喷涂工艺作为一项压铸生产中的关键技术,其重要性不言而喻。它通过在模具表面构建一层均匀致密的脱模剂薄膜,不仅能确保铸件顺利脱模,还能通过减少模具与铸件间的摩擦,有效防范产品变形、拉伤乃至顶杆断裂等一系列质量与生产隐患,是保障生产、提升产品品质的基石。
然而,对喷涂工艺的应用远非“一喷了之”那么简单,其核心在于对“量”的精准把控,喷涂量不足或过量均会引发一系列连锁反应。喷涂不足,会导致脱模困难;而喷涂过量,则易造成水汽残留、模温失衡,进而引发产品流痕、冷隔等缺陷,严重时甚至会使铸件的机械性能不达标。正是这种“过犹不及”的特性,使得对喷涂工艺的精细化控制与管理,成为行业生产实践,尤其是在结构复杂、质量要求严苛的结构件与一体化铸件制造中的关键策略。
01
莱顿弗罗斯特效应:喷涂中看不见的“拦路虎”
在探讨喷涂工艺时,必须先理解“莱顿弗罗斯特效应”这一核心物理现象。
一个普遍的误区是,模具温度越高,喷涂后水蒸气蒸发得越快,脱模剂效果就越好。然而,实验数据表明事实并非如此。
当水滴滴在远高于其沸点的模具表面时,与模具接触的液态水会瞬间气化,形成一层极薄的蒸汽隔离层。这层蒸汽层会将液态水与模具型腔表面隔离开来,阻止液态水继续吸收热量并汽化。其直观表现就是,水滴在高温模具上像“滚珠”一样滑走,而不是迅速蒸发,如下方视频所示,这种现象就叫作莱顿弗罗斯特效应。

莱顿弗罗斯特效应
回到压射喷涂场景中,在喷涂过程中,如果模具温度过高或喷涂角度不当,脱模剂(主要含水)就会发生类似现象,如图1所示,当模具表面温度适中时,被水膜包裹的脱模剂颗粒碰到型腔表面能够快速成膜,随着模具温度的增大,莱顿弗罗斯特效应越来越明显,液态脱模剂无法在模具型腔表面充分铺展,未能有效成膜就滑落到机台地坑中,不仅造成了脱模剂的巨大浪费,还产生了大量难以处理的工业废水,增加了生产与环保成本。

脱模剂成膜过程
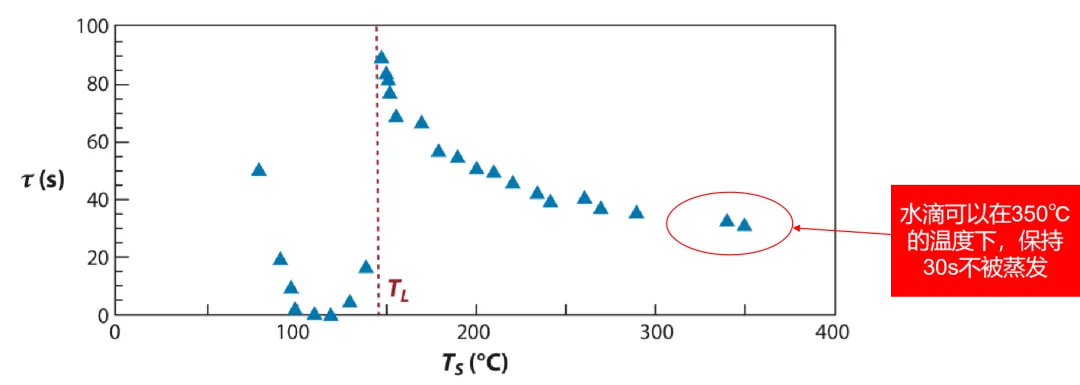
实验数据显示,水滴在约100℃时蒸发最快,而在约150℃时蒸发时间最长,完全蒸发时间达到了将近90s,即150℃时受莱顿弗罗斯特效应影响最大,而在350℃的高温表面,水滴也能保持约30秒才完全蒸发,这充分证明了温度与蒸发速度并非简单的线性关系。而在压铸模具表面,温度往往都大于150℃,这说明在压铸生产场景中,这种现象是难以避免的,是喷涂中看不见的“拦路虎”。

不同温度下水滴蒸发时间
02
喷涂“三重奏”:传统与革新
2.1 喷涂方式
目前,压铸行业常见的喷涂方式主要分为三大类,它们各有特点,适用于不同的生产场景和需求。
①传统铜管喷涂
这是最早期也最普遍的方式,通常使用铜管作为喷涂头。其特点是喷涂量大、脱模剂配比较稀,通常在1:100-200之间,作用机制主要是通过给模具降温而降低模具粘附力。然而这种“大水漫灌”式的喷淋喷涂量较大,容易导致模具温度产生剧烈波动,甚至有不少厂家把此种喷涂方式作为温控水管的替代来给模具降温,每次生产循环中模具表面都要经过剧烈的温度波动,造成模具热应力的周期性起伏,这种热疲劳和温度波动对模具寿命和铸件质量都是不友好的,因此这种喷涂方式多被用于铸件质量要求不高的模具上。

传统铜管喷涂
②微量喷涂
这种喷涂方式采用了微喷嘴(口径在0.5-0.8mm)或微喷嘴与少量大口径喷嘴(口径在2-4mm)组合的形式。其优势在于相较于传统铜管,喷涂量大大减少,脱模剂配比较高,通常可以做到1:10以下,雾化效果较好,作用机制主要侧重于在模具表面形成有效的脱模剂。同时,大口径喷嘴可针对分流锥、浇口套等关键高温部位提供辅助降温。该方式对模具温度的扰动较小,但需要精确控制喷涂量和雾化效果,多被用于汽车结构件等产品模具上。

微量+大口径喷涂
③静电喷涂
作为近年来发展起来的革新性技术,静电喷涂利用了静电吸附原理。它在喷涂时给脱模剂带上负电荷,同时给模具加载正电荷,使脱模剂能被精准、均匀地吸附到模具表面,这种脱膜剂喷涂方式基本上可以完全规避莱顿弗罗斯特效应的影响,其优点十分突出:
节约环保:可使用纯脱模剂原液,用量仅为传统喷涂的3%以下,极大地降低了原料成本和废水处理压力。
成膜均匀:由于静电场的“自动补缺”效应,脱模剂会优先附着在未成膜的部位,这一特性对于深腔结构件、一体化铸件特别适用,这类铸件加强筋较多且深一般喷涂难以喷涂到位,而应用静电喷涂则能够获得覆盖更均匀的成膜、保护效果更佳。
规避缺陷:由于不使用水作为溶剂,从根本上避免了莱顿弗罗斯特现象的干扰,特别适用于对表面质量要求极高的铸件。

静电喷涂
2.2 喷涂影响
不同的喷涂方式除了对脱膜剂成膜效果的影响不同外,还会对模具温度造成不同的影响。喷涂液中水的占比越大,喷涂量越多,对模具造成的降温效果也就越强。因此,以上三种喷涂方式在相同喷涂时间,相同喷嘴的情况下,降温换热强度依次为:1、传统铜管喷涂,2、微量喷涂,3、静电喷涂。
我们可以借助仿真模拟软件对比三种不同喷涂方式对模具温度的影响,将三种不同喷涂方式的近似传热系数(3500W/m2/K、2000W/m2/K、500W/m2/K)导入到SupreCAST智铸超云中进行仿真计算。

智铸超云平台前处理工艺参数配置界面
下表所示为喷涂结束合模时的动模侧模具温度,通过模拟仿真结果可知,喷涂方式不同,模具传热系数大小不同,进而将影响模具温度。降温效果最大的铜管喷涂与降温效果最小的静电喷涂,最大温度差达到了约74.5℃,这提醒我们在做工艺仿真分析时设置的参数一定要和现场实际情况一致,模拟的结果才能辅助我们做工艺判断,不然仿真结果就仅仅只是电脑计算数值而已,参考价值有限。

表 不同喷涂方式的模具测点温度值

不同传热系数模具温度云图
03
应对之道:如何克服工艺挑战?
面对莱顿弗罗斯特效应,业界主要从两个方面寻求突破:
3.1 优化传统喷涂参数
通过适当加大喷涂气压,可以增强脱模剂的冲击力,尝试打破前沿的蒸汽层,使其能接触到模具表面。但需注意,压力并非越大越好(通常建议在6公斤左右),压力过大的水流反而会冲散已经形成的脱膜剂薄膜,导致脱模效果变差,效果适得其反。
3.2 采用静电喷涂技术
如前所述,静电喷涂是规避莱顿弗罗斯特效应的最有效手段。由于使用的是纯脱模剂原液,无需经历水的汽化过程,液滴能瞬间附着并成膜,即使在250℃的高模温下也能保证良好的喷涂效果。而且对于传统喷涂难以触及的深腔、加强筋底部等部位也能发挥作用,是解决该区域粘模难题的有效措施之一。

传统喷涂(左)与静电喷涂(右)效果对比
04
总结
压铸喷涂是一项集科学与经验于一体的精细化工艺。它远不止于“喷上一层油”那么简单,而是直接关系到铸件质量、生产成本与模具寿命的系统性工程。
从传统的铜淋管到精密的微量喷涂,再到革新的静电喷涂,技术的演进始终围绕着如何更均匀、更高效、更经济地实现脱模与控温两大核心目标。理解了莱顿弗罗斯特效应,合理选择并控制喷涂方式,才能真正解锁压铸生产的巨大潜力,在日益激烈的市场竞争中铸造出更优质的产品。
作者简介
HSQ,适创科技资深压铸工艺工程师,从事压铸行业十余年,专注于压铸工艺理论计算及模具设计,对工艺理论与生产实践相结合有深刻的研究。