作为第一个例子,考虑图7所示的汽车摇摆杆连杆。摇摆杆在单一轴向方向上传递载荷。该模型使用奥格登超弹性定律,该定律涉及应力和应变之间的非线性关系。由于橡胶的不可压缩性以及有限位移和旋转,大变形解决方案还涉及非线性运动学。为了比较线性和非线性插值方法,我们将使用以下两种方法进行分析:1)线性缩放方法(其中映射由单个载荷情况组成,其中我们在X方向上将总载荷的一个牛顿施加到连杆上,并求解零件中的应变分布);以及2)非线性方法(其中映射由范围从-10000 N 到+10000 N 的11个预先计算的步骤组成)。

图6. 单轴载荷下的摇摆杆连接(左)。应变历史插值的轴向载荷历史输入(右图)。
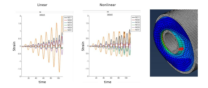
图8-10. 显示了线性叠加程序(左)和非线性EIE程序(右)的六个工程应变张量分量历史结果。显示了摆杆衬套上三个不同位置的结果(以红色突出显示)。最大的应变分量是31剪切(橙色线)。注意,对于线性过程,整体力的振幅的线性增加导致应变分量的线性增加。非线性过程产生完全不同的结果。事实上,线性解预测了拉伸和压缩载荷的对称性,而非线性解正确地捕捉了不对称性。
图7. 右图所示位置的应变张量分量的线性(左)和非线性(中)插值结果的比较。
图8. 右图所示位置的应变张量分量的线性(左)和非线性(中)插值结果的比较。
图9. 右图所示位置的应变张量分量的线性(左)和非线性(中)插值结果的比较。
作为最后的比较,图11显示了使用 Endurica CLTM 计算的疲劳寿命。与线性插值情况相比,非线性插值情况预测的疲劳寿命更长。值得注意的是,在线性情况下,疲劳损伤更集中,而在非线性情况下,疲劳损伤的空间分布更广。
图10. 基于线性(左)和非线性(右)内插应变历程的疲劳寿命计算的比较
作为对图11所示的齿轮箱安装的六通道(力+力矩)多轴载荷分析的非线性插值程序的进一步测试,确定了图12所示的图谱。该图包含51个预先计算的非线性有限元解。要插值的完整载荷历程如图13所示。这段历史是完全直接解决的,并使用Endurica EIETM 从地图中插入。
图11. 齿轮箱安装分析。所有的力和力矩(X、Y和Z)都施加在顶部刚性安装板的中心。
图12. 包含51个预先计算的有限元解的六通道图。
图13. 用于齿轮箱安装验证分析的完整六通道道路载荷历史记录。
11、22和12应变分量的应变张量历史在图14中最关键元素位置的直接求解和插值解之间进行了比较。与整个历史的直接有限元分析相比,在更短的运行时间内获得了相当精确的插值。
图14. EIE插值应变分量(蓝色)与最关键元素位置的直接有限元解(红色)的比较。
使用EIE插值应变历史和直接求解的应变历史,使用Endurica CLTM 计算变速箱安装的疲劳寿命。两种情况下的疲劳等值线如图15所示。插值历史的疲劳寿命为7.52E8,直接求解历史的疲劳寿命为7.87E8。这些结果表明EIE和直接解决的案例之间非常一致。其他验证案例最近在其他地方发表(Mars等人,2024年)。
图15. 根据EIE插值应变分量(右)和直接有限元解(左)计算的疲劳寿命的比较。
由于材料行为、有限应变运动学和接触,橡胶部件的分析通常涉及强非线性。在金属疲劳分析中广泛使用的传统的单位载荷工况的线性叠加,在这种情况下并不有效。幸运的是,在这些情况下,Endurica EIETM 求解器可以高效准确地生成应变历史。 EIE工具允许分析预先计算一组有限元解,以实现载荷空间的有效离散化和载荷空间内信号的精确插值。通过对载荷空间进行充分的离散化,表明在有一个到六个载荷输入通道的情况下,可以产生相当精确的结果。