最近一直在研究宽波束的问题,虽然直观感觉上,宽波束天线对应的单元形式或阵元数目相对窄波束天线更加简单或更少,分析和优化应该更加简单,然而事实却相反。以偶极子天线(dipole)和偶极子天线阵(dipole_array)为例,差异主要表现为:1)宽波束天线的主要能量辐照区域更广,分布更为均匀,对环境的变化更为敏感,非均匀的边界条件所引起的方向图畸变要更为明显,同样位置处的金属平板(plate)的偶极子天线的整个方向图发生了剧烈的变化,然而对于偶极子阵,由于非主波束照射区域,对于主波束以及副瓣分布影响极小;2)优化方面,窄波束天线能量主要集中某一较小区域,优化仅针对这一局部区域的边界进行即可,对于尾瓣甚至于副瓣等照射区域不用太过关心,通俗一点,就是“头疼医头,脚疼医脚”,而对于宽波束天线,由于能量分布均衡,每一局部区域边界的改变,往往会导致方向图全局分布的变化,通俗一点,即“牵一发而动全身”,优化难度显著提高。


宽波束天线由于其他微波器件的引入,方向图会发生显著恶化,优化的原则通常是“尽可能减小微波器件对方向图的影响”,传统做法往往参考窄波束天线+微波器件的优化方法,即直接围绕“远场方向图”展开,然而微波器件与近场能量的强烈耦合方才是导致远场恶化的主要原因,但这却被忽视了。近场分布包含的信息更加丰富,其是远场表现的“因”,通过对近场区域场分布的分析和调控,可以实现对远场方向图分布的直接优化。


依据往期文章《萌新笔记-天线(原理篇)》可知,天线的近场组成和分布形式与远场存在较大差异。依据格林公式,任意天线的场分布可以看作是电流元或等效电流元场分布的积分。因此可以简化为从电流元的场分布特征一窥究竟。电流元指的是无限小的线性电流单元,即其长度l远小于工作波长。

球坐标系
将电流元沿球坐标的Z轴放置,中心位于原点,如图所示,因为电流元上电流分布为理想的线电流,则有
,通过电失位“A”的引入,可以计算出“H”的分布为:

即磁场“H”只有“![]()
”方向分量,再依据maxwell方程

,即可求出空间电场“E”的分布:

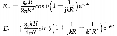
即电场“E”只有“R”和“![]()
”方向的分量。
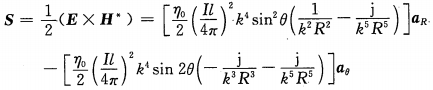
随着时间的推移,电流元产生的电磁场从场源向外空间传播,形成电磁波。电磁波向外传播的过程中伴随着的能量的传递,坡印廷矢量表征的就是电磁波传播的过程中的功率流密度,其定义为:

可知,坡印廷矢量沿“R”方向为实数,而沿“![]()
”方向则为虚数,表明电磁波传播的过程中,沿径向确实存在着能量的流动,而沿环向,能量则是以“电场储能”和“磁场储能”的形式不断的转化。实功率密度表示为:

2.近区场
近区场指的是![]()
,即

(但
![]()
),在此区域,电场和磁场的表达式可近似表示为:

可知,磁场为纯实数,电场为纯虚数,因此坡印廷廷矢量为纯虚数,表示近场区的能量传递形式主要以“电场储能”与“磁场储能”相互转换的形式存在。
3.远区场
远场区指的是![]()
,即

的区域,在此区域,电场与磁场的形式主要由
![]()
项决定,高次项可以忽略不计,则电场与磁场的表达式可以近似为:

可知,电场只有“
”方向分量,磁场只有“
”方向分量,其表达式仅相差“
”倍,且电场与磁场均为纯虚数,则坡印廷矢量为纯实数,即远区场的能量传递形式主要以电磁辐射为主。对于天线电性能的研究,我们主要考察还是远区场的辐射特性,其电场方向图为下图所示的“纺锤形”,磁场的远区场强分布形式与电场一致,区别在于方向与电场方向相垂直。

振子方向图
4.近场-远场之间
真正意义上的近场(感应场区)很近,而通常所说的远场区(又称夫朗荷费区)界限比较模糊,在该区域中,辐射场的角分布与距离无关。严格地讲,只有离天线无穷远处才能到达天线的远场区。公认为, 辐射近场区与远场区的分界距离R为: ,这个往往是我们研究近场最关注的区域。

微波场分析中,感应场区中的能量形式主要以储能为主,而辐射远场区的能量形式则基本为辐射能量,介于两者之间的辐射近场区则是储能和辐射能量的混合。辐射近场的主要研究对象为一下几个参量:
电场强度 和磁场强度 是电磁场中最主要的两个研究对象,电场强度是单位电荷在电场中受到的力(矢量,单位V/m);磁场强度是描述磁场强弱和方向的矢量(单位A/m)。近场中 和 的比值不再是常数(远场中 ,即自由空间波阻抗),二者可能平行、垂直或成任意角度,且幅度随距离变化的规律复杂(与 或 )相关)。其直接反映了近场的场强大小、方向和分布形态,是分析能量耦合、场聚焦效果的基础。文献《Near-Field Wireless Power Transfer to Deep-TissueImplants for Biomedical Applications》中以组织中的磁场强度H分布为优化对象,设计了一种为类似心脏起搏器等设备进行自适应无线输能的系统,显著提高了充电效率。


天线偏以后对待充电设备的磁场分布对比
通过 和 的矢量特性,可判断近场的“感性主导”或“容性主导”,如下图所示,为螺旋天线和偶极子天线的近场辐射区域磁场分布特征对比,可以看出,虽然都是基于线电流的辐射,但是螺旋状的电流分布和直线状电流分布所产生的磁场分布显著不同,其中螺旋天线的近场磁场分布呈现出螺旋状的交替起伏,有点“风吹麦浪”的感觉,但是偶极子天线的近场磁场分布则以中轴为圆心呈现规则的同心圆。


螺旋天线和偶极子天线所代表的两类天线形式,其近场区域储能形式也有所不同,进一步对比近场电场强度和磁场强度分布,可知螺旋天线近场磁场储能占优,偶极子天线近场电场储能占优。

螺旋天线与偶极子天线近场区磁场分布对比

螺旋天线与偶极子天线近场区电场分布对比
2. 坡印廷矢量
坡印廷矢量描述电磁能流密度的方向: (单位W/m²),其与电磁波的传播方向一致,通常据此来优化器件,将其引导至目标区域或方向,其时间平均值 反映净能流方向。近场中 包含“有功分量”(净能量传输)和“无功分量”(能量在源与近场区域间来回振荡),因此 可区分能量的“传输”与“存储”。
以偶极子天线为例,其近场-远场之间的分界大致为 ,如下图所示:1)在球面边界以内,能量流动的方向相对较为“混乱”,有部分能量在球面边界内打转,即所谓的“无功分量”,表示“储能”;2)在球面边界以外,能量流动的方向则较为规则,沿径向向外传播,即所谓的“有功分量”,表示“传输”。

为此,基于FEKO,对偶极子天线近场-远场坡印廷矢量的分布情况进行了更加详细,生动的展示。取与偶极子天线共面的平面为观察平面。可以观察到球面边界中的能流密度的方向各异,逐渐远离球面边界的区域,能流密度的方向则主要以偶极子中心为原点,沿径向传播

偶极子天线近场区电场指向分布

偶极子天线远场区电场指向分布
比吸收率(SAR)是衡量生物组织在电磁场中吸收电磁能量强度的物理量,定义为:单位质量的生物组织在单位时间内吸收的电磁功率,其直接反映近场区域的能量集中程度,是评估“能量作用强度”的核心指标。
在电子辐射对生物组织影响评估以及微波热疗研究中,功率密度决定生物组织的加热速率(遵循热传导方程: 其中 与功率密度直接相关),如手机辐射对大脑组织的影响评估中。优化方向主要是尽可能降低电磁辐射对大脑组织的热影响,即降低大脑组织中SAR ,而在微波热疗中,则通过优化天线,使得病灶区域的电磁功率密度尽可能大,通过微波加热让病理细胞失活。

近场输能天线辐射仿真

电场或磁场矢量的相位(单位rad),描述场随时间的振荡同步性。近场中相位随距离的变化规律复杂(非远场的线性相位关系),相位分布直接影响场的干涉效果。借助电磁仿真软件对近场相位进行数值计算,并通过近场相位的调节可实现场聚焦和发散的重要方式。如下图所示,通过计算喇叭口面辐射端口处的电场相位分布,合理调节使其等相位面为平面,可以显著提高喇叭的波束聚焦能力。

导体或介质中单位面积的电流(矢量,单位A/m²),对于导体 ( 为电导率),对于天线,表面电流直接决定近场辐射。 天线或微波器件的表面电流分布是近场 和 的“源”,因此 的分布可反向推导近场特性。
通过分析电流密度(如微带天线的边缘电流、螺旋天线的轴向电流),调整天线形状(如切角、开槽),抑制不必要的近场辐射(如减少对周围电路的干扰),可以实现截然不同的辐射特性。如下图所示,分别展示贴片切角和不切角两种状态下,金属贴片上电流分布,对比可知:切角后,金属贴片的四条棱边均产生了较强的电流分布,且可以很明显的发现,为切角时,贴片上电流的极化状态为上下周期往复,而切角时,贴片上的电流的指向居然转动了起来。转动的电流激发了转动场分布,从而实现了圆极化电磁波辐射。


往期文章《基于相位补偿方法的天线增益提高》,围绕天线增益提高这个话题详细展开研究过,增益的提高核心在于将尽可能多的能量朝着一个方向辐射,即让等相位面尽可能为平面,如下图所示,5个偶极子天线组成的阵列,在辐射前方,等相位面相较于单个偶极子天线,更加平坦,因而具有更高的增益。


喇叭天线的增益已经挺高的了,但是可以发现其口面辐射出来的电磁波近场等相位面也并不完全是平面,近似为一个弧面。

通过对喇叭辐射口面处的近场场强相位分布的提取和量化,并基于相位调控超表面材料对近场相位分布进行精确调控,从而实现了原天线波束的聚焦功能,提高了天线增益。





可以说,没有对近场相位的量化分析和精确调控,就不能实现原喇叭天线远场增益的显著提高。通过近场相位调控实现器件性能优化方面的研究工作很多(见参考文献和附件材料),如文献《Design of a Reflective Metasurface for Near-Field Focusing》设计反射型的相位调控超表面,如下图所示分别为反射型超表面形状以及反射相位于单元尺寸之间的关系,由图可知单元通道改变尺寸“d”,可以实现370°~540°的相位调节。通过对近场相位进行调控,实现了近场聚焦效果,其基本机理与透射型相位调控超表面并无显著区别。


文献《A Near-Field Focusing Circularly Polarized Radial Line Slot Array Antenna》介绍了一种基于径向线缝隙阵列(RLSA)的近场聚焦(NFF)天线的实现方法。所提出的NFF - RLSA天线源自传统的具有圆极化的单层螺旋图案RLSA,通过调整辐射缝隙对的排列,进而调整RLSA孔径的幅度和相位分布,实现了近场聚焦辐射特性。



往期文章《萌新笔记-天线(原理篇)》介绍了波导缝隙天线的辐射机理,其为基于近场进行天线设计的典型案例。波导缝隙天线的辐射源为缝隙中的电场。

基本缝隙模型
上文中,基本缝隙的远区辐射场计算公式为:
其中“Et”为缝隙间的电场分布,则开缝长度为“L”波导缝隙天线的辐射特性可以由基本缝隙的辐射场积分求得:
想要波导上的缝隙产生辐射,开缝的“位置”和“方向”十分讲究,如图所示分别为等尺寸波导内的磁场分布以及波导表面电流分布,可知:磁场在每个周期内呈“涡旋状”,由于表面电流与切向磁场的关系“
”,因此表面电流在每个周期内呈“辐射状”。
波导腔内的磁场分布
波导金属壁上的电流分布
想要获得有效辐射,缝隙走向需要与“磁场”相平行,从而才能与“电流”相垂直,使得其有效的切割“电流”,被切割的“电流”在缝隙的宽边两侧形成“电压差”,从而在缝隙中激发位移电流“
”,由上面的理论分析可知,缝隙间电场“
”正是产生缝隙辐射的根本原因。
仔细观察会发现波导上的缝隙并没有完全开在磁场最大的地方,这主要是因为,作为缝隙阵列天线的每一个单元,考虑到阵列综合形成满足要求的方向图,每个缝隙的辐射功率和相位需要满足一定的关系,而功率和相位则主要通过调整缝隙的位置实现。
波导缝隙的辐射机理
由于对耦的关系,半波磁振子与半波电振子的辐射方向图一致,只是“电场”和“磁场”的方向对调了一下,波导缝隙阵的方向图为每个缝隙沿纵向进行相干叠加,因此在波导的周向形成一个窄波束。
波导缝隙的方向图
时常有粉丝询问五彩斑斓的近场图片和动图是如何制作的,本文就三大通用电磁仿真软件(FEKO、HFSS以及CST)的近场设置与查看方法进行简单介绍。
1)设置:congfiguration->configuration speciffic->Requests->nearfieds,添加近场求解项。
在近场设置的弹窗中,通过下拉按钮通过坐标系类型的选择,实现不同形状近场的设置,平面外形近场就选Cartesian,圆柱面外形近场选择cylindrical,球面外形近场选择spherrical,另外也可以设置长方体、圆柱体或球体形状的近场求解区域。
2)查看:求解完成后,在solve/Run->POSTFEKO中查看近场的分布,双击对应的近场标签,即可显示近场分布,在右侧框选一栏中可以对近场近场参数进行设置,按需选择近场的位置、工作频率、矢量分量以及瞬态分布等,在下拉按钮中可以对近场类型进行选择,可选的有电场强度、磁场强度、坡印廷矢量等,在不同的应用场合,关注的近场类型也不尽相同。
3)后处理:在POSTFEKO->results模块下,可以对近场的显示方式进行处理,可以对透明度进行设置,方便同时展示近场和模型,可以显示等高线图像,量化分布,也可以显示近场的矢量分布,观察对应电磁参量的方向(PS:矢量分布仅针对瞬态模式,需勾选instantaneous magnitude)。
4)导出:在POSTFEKO->Reporting模块中,可以将近场图片导出或复 制至技术报告之中。
1)设置/查看:与FEKO不同,HFSS求解近场时,需要新建或者选中一个平面(或体)作为”载体“,来呈现近场特性。在左侧项目树中,field overlays->plot field,选择需要显示的近场类型。
2)后处理/导出:field overlays->calculator,打开近场后处理界面,通过input->quantity导入待处理的近场类型,通过general、scalar以及vector模块对进行后处理,并通过output模块将处理后近场导出。设置导出区域的口径大小及采样间隔,即可获得近场数据。
3)动图:右击已经生成的近场,点选Animate,可以选择已有的动图设置(包含相位扫描范围和扫描间隔),也可以新建相位设置或在已有设置的基础之上进行修改。
往期文章《萌新笔记-CST》中关于阵列天线的近场查看和提取进行了简单说明,本文将对操作步骤稍作展开说明。
1设置:CST是通过添加场监视器的方式来远、近场分布的,项目树->field monitors->new field monitor,进行近场监视器的设置,近场类型包括电场场强E、磁场场强H、功率流、电流密度等,与HFSS、FEKO也大致相同,通过坐标范围设置,来确定近场范围,可以观察面区域内的近场特征,也可以对体区域内的近场特征进行考察。
2)查看/后处理/动图:计算完成后,在项目树->2D/3D results中对应近场类型文件夹下,查看相应的近场分布,通过矢量/幅值、近场特征参数设置、截面设置等按钮,得到期望的近场分布,在animate fields中可以观察近场的动图。
3)导出:近场仿真结果导出:Post-Processing—>Export—>Plot Data,按照采样点间隔的要求,导出口径上电场/磁场的仿真结果。
导出的近场数据如图所示,基本格式为:采样点坐标+采样点三分量实部/虚部数据。其与FEKO所需要的近场数据形式基本一致。所不同的就是FEKO近场数据包含了数据说明的头文件以及具体数据的格式略有差异,稍加改动即可。
宽波束天线(一般而言单元相对较少),从结构形式上来说,一般较窄波束天线(一般而言单元较多)更为简单。但是,宽波束天线辐射/散射相较于窄波束天线更加复杂,场分布呈现弥散状,对于环境的变化也更为敏感。相较于远场,近场包含了更多的信息,分布也要更为复杂,作为远场的“源”,电磁辐射/散射研究、微波器件设计中,深入研究近场分布,可以更好的帮助设计师了解远场分布特征背后的原因,如果在此基础上,结合经验和数字工具进行深入甚至于量化的分析,应能极大拓展设计能力。
参考资料