• 标定并验证了三种本构模型,用于预测高密度聚乙烯(HDPE)材料随温度与应变率变化的力学行为
• 引入失效模型以模拟板材损伤并验证响应预测
• 证实三网络(TN)模型在预测HDPE变形响应方面具有更高精度
• 基于TN模型研究了不同标准尺寸比(SDR)HDPE管道的抗冲击性能
准确认知高密度聚乙烯(HDPE)的温度与应变率相关力学行为,对保障其工程应用(尤其是海底管道抗意外载荷设计)的长期完整性至关重要。鉴于HDPE对时间与温度的高度敏感性,需建立强健且复杂的本构与损伤模型。本研究对标定的三种HDPE本构模型(三网模型TN、三网粘塑性模型TNV及Johnson-Cook模型JC)进行了系统校准,校准基于多应变率与高温条件下的拉伸试验,并通过多速度落锤冲击试验验证。数值模拟结果表明:相较于JC与TNV模型,TN模型在预测HDPE力学响应与损伤行为方面更具优势,其冲击试验数据与数值预测在所有工况下均呈现显著一致性。该发现证实TN材料模型在HDPE构件低速冲击响应设计与评估中具有优异可靠性。研究还验证了校准模型在预测海底HDPE管道结构冲击载荷下损伤行为及穿孔极限方面的有效性。

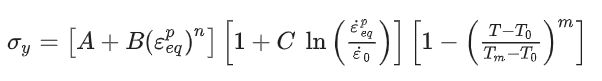
Johnson-Cook(JC)模型[47]因其参数少、形式简洁的特点,被广泛应用于金属[48,49]和聚合物[43,50]等多种材料的力学表征。该模型以乘积形式综合考虑了应变硬化、应变率硬化及温度软化效应,其流动应力方程如式(1)所示[51]:

σ为等效流动应力
ε_p为塑性应变
ε̇_p与ε̇_0分别为当前应变率与参考应变率
T、T_0、T_m分别表示瞬时温度、参考温度与熔点温度
A为初始屈服强度
B为应变硬化系数
n为硬化指数
C为应变率系数
m为温度软化指数
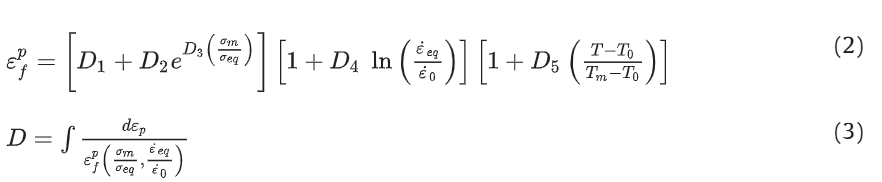
本研究中参考应变率ε̇_0与参考温度T_0分别取0.00333 s^-1和23°C。JC失效模型与线性损伤累积模型分别由式(2)-(3)表示[51]:

式中:
σ_vm、σ_m、ε_f^p分别为von Mises等效应力、平均应力与塑性失效应变
D_1~D_5分别代表初始断裂应变、指数因子、应力三轴度因子、应变率因子和温度因子,共同表征材料损伤状态
需特别注意式(2)中D_3为三轴度乘子而非应力三轴度本身
ω为损伤应力状态,D为累积损伤变量(当D=1时材料失效)[52]
考虑到材料强度随损伤累积而退化,应力与损伤的线性演化关系由式(4)描述[52]:

为模拟HDPE材料在落锤冲击试验中的动态响应,本研究对JC塑性模型与JC损伤模型进行了联合标定。通过图2所示的23°C、60°C和95°C真应力-应变曲线预测,获得弹性参数与模型参数(见表2)。基于数字图像相关(DIC)技术测得的轴向/横向应变场(图1),确定了PE100级HDPE在室温参考应变率下的弹性模量为1.2 GPa,泊松比为0.419,该结果与文献[53,54]报道的HDPE参数范围一致。图1(b)中轴向应变场在试样下端呈现峰值,这是由于该区域相较于上端承受更大的纵向拉伸;而横向应变场则表现为垂直于加载方向的横向收缩,由此形成图1(b)所示的应变云图特征。
Table 2. HDPE JC 本构标定参数
| E | |||
| A | |||
| B | |||
| n | |||
| C | |||
| m | |||
| D1 | |||
| D2 | |||
| D3 | |||
| D4 | |||
| D5 | |||



TN模型通过三个相互关联的分子网络(如图4示意结构所示)以并联形式描述HDPE的非线性粘塑性行为。其本构关系具有以下特征:
应力叠加原理
总柯西应力(σ_total)为各网络应力分量的叠加和:
σ_total = σ_A + σ_B + σ_C
变形协调条件
所有网络承受相同的总变形梯度(F_total),即:
F_total = F_A = F_B = F_C


TNV模型在TN模型基础上进行了扩展,通过引入损伤演化机制和压力依赖特性增强了模型描述能力(如图6所示)。该模型具有以下核心特征:
网络架构特性
保留三网并联结构,但各分子支链的流动单元数量与TN模型存在差异
采用超弹性本构方程描述网络力学行为
支持根据应用需求灵活配置弹簧/阻尼单元(可选择性包含或排除特定支链元件)
多物理场耦合
可集成应力/应变失效模型,实现热-力-损伤耦合分析
总变形梯度(F)采用乘法分解:
F = Fe·Fvp,其中Fe为弹性分量,Fvp为粘塑性分量


