当具有相同极化的多个贴片天线紧密排列时,会发生强互耦合,这会降低天线的性能并限制其对多输入多输出 (MIMO) 系统的适用性。为此引入了各种去耦结构来提高贴片天线之间的隔离性能。这些结构主要包括去耦网络、谐振腔、缺陷接地结构(DGS)、电磁带隙(EBG)、金属隔离壁、中和线、超表面以及它们的组合结构。虽然这些方法已经实现了不错的隔离效果,但通常需要占用额外的空间,且可能会对天线的辐射特性产生不利影响。
As shown below👇
自耦技术
基于天线本身固有特性的众所周知的自耦技术已成为通过紧凑的天线布局实现可接受隔离的有前途的解决方案。例如,基于共地平面上的弱场区域的自去耦方法。通过适当调整插入馈电结构,可以有效地解耦贴片天线阵列,而无需任何额外的寄生结构。
然而,这些方法通常需要相邻元件之间的特定馈电方案和布置。
除此之外,模式抵消方法还显示出实现高度隔离的 MIMO 贴片天线阵列的前景。
通过激发单个贴片的两个模式并将其谐振频率重新分配为相等,两个模式的场分布的抵消将有助于在相邻元件的馈电点处形成特定的零场区域。
然而,这些方法高度依赖于辐射器本身的模式性质,因此对天线的结构和尺寸有严格的限制,使其难以在性能方面进一步扩展,从而限制了它的实际应用价值。
Shorting-pin
众所周知,短路引脚(Shorting-pin)技术已被提出并用于提高贴片天线在阻抗带宽、辐射增益 、阻抗匹配以及轴向比波束宽度方面的性能。
最近短路引脚技术,常用于在边缘场整形的基础上减少极紧密间隔的贴片天线之间的相互耦合。
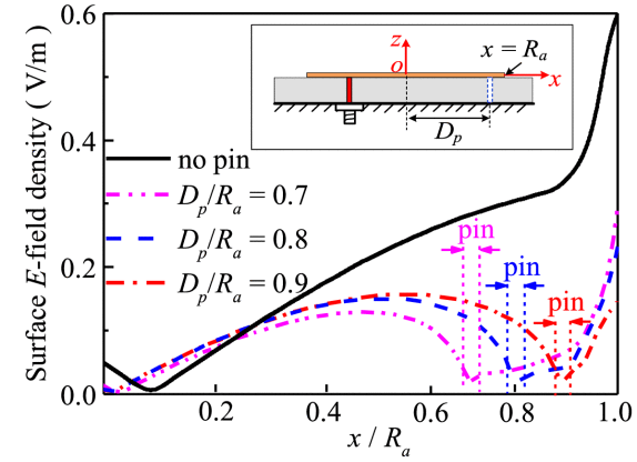
下图为具有强耦合的圆形贴片结构,
在不同引脚位置下沿圆形贴片 x 轴的电场密度分布如图
在常规的圆形贴片的情况下,电场密度的分布以边缘处的最大值 (x/R= 1) 并逐渐向中心减小。
沿贴片的 x 轴加载短路引脚后,在引脚位置出现明显的场零区域,并且在贴片边缘观察到电场幅度显着降低。此外,引脚越靠近边缘,边际电场密度越弱。
场强分布如下图所示,在没有短路引脚的情况下,由于贴片在耦合边缘附近产生非常强的电场,因此大量的电场能量耦合到相邻的贴片元件,导致端口隔离不良。
相比之下,当短路引脚加载到贴片中时,初始的强边际电场密度被重新分布为局部最小值,从而导致从激发片到相邻片几乎没有能量耦合。
[1] K. -D. Hong, X. Zhang, H. -Y. Weng, T. Yuan and Y. Zheng, "A Pin-Loaded Self-Decoupling Method for MIMO Patch Antenna Array Based on Fringing-Field Reshaping," in IEEE Antennas and Wireless Propagation Letters, vol. 23, no. 12, pp. 4034-4038, Dec. 2024, doi: 10.1109/LAWP.2024.3405951.
[2] Q. X. Lai, Y. M. Pan, S. Y. Zheng and W. J. Yang, "Mutual Coupling Reduction in MIMO Microstrip Patch Array Using TM10 and TM02 Modes," in IEEE Transactions on Antennas and Propagation, vol. 69, no. 11, pp. 7562-7571, Nov. 2021, doi: 10.1109/TAP.2021.3090520.
[3] H. Lin, Q. Chen, Y. Ji, X. Yang, J. Wang and L. Ge, "Weak-Field-Based Self-Decoupling Patch Antennas," in IEEE Transactions on Antennas and Propagation, vol. 68, no. 6, pp. 4208-4217, June 2020, doi: 10.1109/TAP.2020.2970109.
