首页/文章/ 详情

LLM故障诊断论文 | LLM-TSFD:基于大语言模型的工业时间序列人机环路故障诊断方法

3小时前浏览27

    本期给大家推荐一篇基于LLM的故障诊断论文:LLM-TSFD:基于大语言模型的工业时序人机协同故障诊断方法,提出了一种融合任务驱动与人机交互的智能诊断新范式。该研究以大语言模型为核心,赋予其在数据管理因果修正模型调度决策诊断中的四大关键角色,显著提升了故障诊断的自动化程度与结果可解释性。通过设计结构化提示词框架,有效引导模型理解工业时序数据,实现了在钢铁冶金场景中的高效应用。实验表明,该方法在精度、召回率等指标上优于传统方法,具备强泛化能力与低资源依赖,为工业智能诊断的升级与普及提供了可行路径。

    论文基本信息

    论文题目:LLM-TSFD: An industrial time series human-in-the-loop fault diagnosis method based on a large language model

    论文期刊:Expert Systems With Applications

    论文日期:2024

    论文链接

    https://doi.org/10.1016/j.eswa.2024.125861

    作者:Qi Zhang(a), Chao Xu(a), Jie Li(a), Yicheng Sun(a), Jinsong Bao(a)*,  Dan Zhang(a,b)

    机构:

    a: College of Mechanical Engineering, Donghua University, Shanghai 201602, China

    b: Department of Mechanical Engineering, The Hong Kong Polytechnic University, Hong Kong, China

    作者简介:

    鲍劲松,男,东华大学机械工程学院教授、博士生导师、智能制造研究所所长。2002年获上海交通大学机械制造及其自动化专业工学博士学位,2002-2015年任上海交通大学机械与动力学院讲师、副教授,2010年任美国南加州大学访问教授,2015年加入东华大学。主要从事智能制造系统理论、工业智能技术、数字孪生等领域研究。主持国家自然科学基金面上项目2项、科技部重点研发计划1项,参与工信部智能制造专项8项。(百度百科)

    目录

    摘要

    1. 引言

    2. 相关工作

        2.1. 大模型vs小模型

        2.2. LLM &时间序列数据故障诊断

        2.3. 时间序列数据prompt的开发

    3. 基于LLM的人在环任务驱动的钢铁冶金故障诊断2.0框架
        3.1. 基于LLM的任务驱动方法
        3.2. 提出的框架——基于大语言模型的工业时间序列故障诊断(LLM-TSFD)
    4. LLM在工业时间序列数据故障诊断中的作用
        4.1. 管道管理器
        4.2. 监督器
        4.3. 控制器
        4.4. 决策器
        4.5. 基于工业时间序列数据的故障诊断prompt的设计过程
    5. 案例研究
        5.1. 环境下框架的建立
        5.2. LLM-TSFD结果讨论
            5.2.1. LLM-TSFD与未使用LLM的钢铁冶金故障诊断方法的比较
            5.2.2. FD 1.0、FD 1.5、FD2.0的比较
            5.2.3. 消融实验
    6. 讨论
    7. 结论

    摘要

    工业时间序列数据提供有关设备运行状态的实时信息,有助于识别异常。数据驱动和知识引导的方法在这一领域已经占据主导地位。然而,这些方法依赖于工业领域知识和高质量的工业数据,这可能导致诸如诊断结果不明确和开发周期长等问题。本文介绍了一种新颖的人在环任务驱动方法,以减少对手动注释数据的依赖,并提高诊断结果的可解释性。该方法利用大型语言模型进行故障检测,促进过程自治,增强人机协作。此外,本文探讨了大型语言模型的四个关键角色:管理数据管道、纠正因果关系、控制模型管理以及对诊断结果做出决策。此外,提出了针对时间序列数据的故障诊断设计的prompt结构,使大型语言模型能够实现任务驱动。最后,本文通过钢铁冶金背景下的案例研究验证了所提出的框架。

    1.  引言

    随着工业5.0的发展,机械设备的稳定运行对于保证安全生产至关重要。对机器设备进行有效的监测、预测、检测和诊断,不仅是工业发展的保障,也是工业发展的动力。工业场景中时间序列异常检测的任务很复杂,需要在整个开发过程中从手动方法过渡到自动化方法。在工业应用中,基于时间序列的故障诊断任务是复杂的。操作人员需要观察和预测数据趋势的变化,发布故障预警,并分析趋势之间的因果关系。在这个过程中,故障任务需要从手工流程向自动化发展。特别是在钢铁冶金领域,复杂任务流程和海量传感器数据处理的自动化已经成为一个重大的工程问题。目前,故障诊断模型严重依赖领域专家来管理每个任务的数据集,并创建特定的模型进行训练。这种方法不仅费力,而且随着时间的推移也难以维持。此外,由于整个工业过程主要依赖于人为干预——包括数据处理和模型选择——这导致了漫长的设计周期和高昂的维护成本。因此,有效利用大量数据进行自动化处理,再加上开发合适的模型,已经成为一个迫切需要关注的关键问题。

    “大数据-人工智能-物联网”(BD-AI-IoT)时代的到来,使得人工公式调整已无法应对海量数据生成的挑战。由此催生了故障诊断1.0时代(FD 1.0),其特征是采用基于预测、基于重构及混合方法的数据驱动自动化流程。在这一自动化过程中,故障诊断依赖数据并能从中生成模型。多种方法已被证明有效,包括基于预测的方法(Chauhan & Vig,2015;Z. Chen等,2022;Munir等,2019)、基于重构的方法(Audibert等,2020;L. Li、Yan等,2023;B. Zhou等,2019)以及混合方法(Bashar & Nayak,2020;Han & Woo,2022;Zhao等,2020)。尽管这些方法取得了成功,但其在可解释性方面仍面临挑战,并且高度依赖数据质量。为解决这些问题,研究人员提出整合数据驱动的领域特定规则,以在整个过程中提高可解释性并降低对数据质量的依赖(Xin等,2022),这标志着故障诊断1.5时代(FD 1.5)的开端。常用策略包括专家系统与神经网络的融合,以及知识图谱与深度学习的融合(Chai,2020)。虽然这些方法提升了可解释性,但也存在局限性,例如故障知识规则不完整以及难以解决新问题。

    FD1.0时代是由数据驱动的方法定义的,这些方法在可解释性和模型可重用性方面面临挑战。为了解决这些问题,FD1.5将数据驱动技术与领域特定规则结合起来,提高了模型的可解释性,但仍然依赖于大量的人工参与。大语言模型(LLM)的出现开启了FD2.0时代,任务驱动的自主故障诊断成为可能。在任务驱动型故障诊断中,用户向LLM提供时间序列数据和任务,标志着故障诊断2.0时代(FD 2.0)的开始。LLM通过系统化分解用户任务,并整合专家知识来处理每个子任务,从而有效提升其对整个任务流程的管理能力(Ruan等,2023)。随着GPT3.5、GPT4和Chat GLM(Du等,2022)等语言模型的涌现,这些通过感知学习展现认知能力的模型已在多个领域取得显著成果。这些依托感知学习实现认知能力的生成模型,能为用户提供符合预期的智能回应。图1概述了从FD1.0到FD1.5,最后到FD2.0的进展,突出了这一过程的变革性质。这一演变展示了可解释性、自动化和任务处理能力的重大改进。由LLM提供支持的FD2.0提供了更高的灵活性,减少了人为干预,并且能够利用数据驱动的洞察力和特定领域的知识,标志着故障诊断方法的范式转变。

    图1 故障诊断时代分为FD1.0、FD1.5和合并的FD2.0三个阶段

    LLM的突破性进展为工业故障诊断带来了重大变革。这些模型不仅能精准定义和拆解工业任务,还能简化时间序列数据预处理、故障检测/预测模型构建、模型结果解读以及根本原因识别等关键环节(Tu等,2023)。在故障诊断全流程中,LLM高效承担着多重角色,其任务分解后的数据处理能力已与人类专家不相上下(Cheng等,2023)。以MetaGPT(Hong等,2023)、HuggingGPT(Shen等,2023)和AutoGPT(Yang等,2023)为代表的智能工具,正是人类研发的智能助手,既能自主完成指定任务,又能提供专业反馈与优化建议。用户可以根据其输出查询LLM,从而实现持续学习和改进。这种协作过程使LLM能够更有效地处理类似或新的问题。随着智能系统越来越融入社会,对有效人机交互的需求也在增加。因此,机器产生可靠和可读信息的重要性变得更加关键。结合人在环学习增强了灵活性、适应性和交互性,提高了机器的能力。

    Prompt对LLM高效理解输入信息至关重要。prompt的选择会影响模型的问题解决导向和策略,必须针对具体任务进行定制。北京大学与阿里巴巴的研究人员提出了一种利用LLM对时间序列数据进行分类和预测的技术。该方法采用软prompt,基于频率、形状、值等不同特征来匹配时间序列,可以增强LLM处理多元时间序列嵌入的能力,然而,这种预定义的分类方式在处理复杂时间序列数据时灵活性受限,因其可能无法捕捉所有关键信息或变量间的空间关系。LLM面临若干挑战:

    1.可控生成:LLM由于其固有的不稳定性,导致同一问题的答案不一致,实现可控生成具有挑战性。本研究引入了prompt工程来处理时间序列数据进行故障诊断,从而提高了模型遵循用户指令的能力。

    2.高效自适应:LLM适应垂直领域涉及快速学习和模型参数的微调(Delta调优)。目标是在特定领域内装备LLM解决问题的能力。在工业故障诊断中,确定LLM如何取代传统过程以促进高效的人机协作是至关重要的。建立一个适当的框架对于利用LLM的能力来提高效率和有效性至关重要。

    本文分析了工业环境中基于时间序列数据的故障诊断任务。目前,工业异常诊断过程高度复杂和错综复杂,使故障检测和故障排除变得困难。处理范围广泛的参数和变量,以及数据中的不确定性,增加了这些任务的复杂性。传统的故障诊断方法往往无法有效管理未知故障,严重依赖专家经验,导致诊断过程既耗时又难以自动化。本文旨在将工业时间序列故障诊断作为LLM的任务目标来解决。所提出的方法将复杂的任务目标分解为优先级优先的子任务列表,从而明确了目标并增强了对LLM的理解。研究了一种基于LLM的工业时间序列人在环故障诊断方法。我们的研究包括以下贡献:

    1.本研究提出了一种基于LLM的方法来开发任务驱动的自主故障诊断流程。该框架通过结构化的人在环模型增强了人机交互。

    2.为克服时间序列数据处理中预定义时间特征的局限性,本研究提出一种组合推理方法。该方法明确了LLM的作用,融合了少样本学习,并整合了领域知识。

    3.LLM在故障诊断任务中的角色:

    i.数据处理:LLM作为管道管理,管理整个数据管道,并根据用户输入协调各个阶段的数据流和依赖关系。

    ii.因果关系修正:LLM作为监督者,访问和纠正由使用领域知识的算法推断的因果关系。

    iii.故障预测和检测任务:LLM作为控制器,使用算法库中的模型和用户需求提出建议。它调用本地算法接口来执行结果。

    iv.故障诊断:LLM作为决策者,使用来自规则库的故障知识来推断检测到异常的原因。如果没有发现原因,LLM进行网络查询,收集信息并提供解决方案。

    2. 相关工作

    2.1. 大模型vs小模型

    随着LLM的快速发展,出现了GPT3.5/4、ChatGLM、Vicuna等具有自主认知能力的生成模型。这些具有数十亿个参数的模型被分类为大模型,而具有数百万个参数的模型被分类为小模型((S. Li et al., 2022)。与小型模型相比,大型模型在推理能力、计算能力和泛化方面表现出了显著的性能((L. Li, Zhang, et al., 2023; Shridhar et al., 2023)。尽管大型模型的出现改变了分散的模型开发模式,即单个AI应用场景中的多个任务需要多个模型的支持,每个模型都需要算法开发、数据处理、模型训练和调优(Y.-F. Li, Wang, et al., 2023)。尽管如此,小型模型仍然具有显著的优势,例如训练成本低、尺寸较小、易于维护。因此,可以采用“小模型车间”和“大模型工业化”相结合的方法,在考虑到这些模型各自优势的情况下,充分挖掘这些模型的潜力。

    LLM的生成能力是其最显著的特征。在数据缺失不可避免的行业中,LLM在生成缺失的事件序列值或填充时间序列数据方面证明了它们的价值,使领域模型能够有效地解决缺失数据的挑战。此外,LLM还可以作为集成不同领域模型的综合模型库。这种集成方法是通过使用评分机制聚合多模型来识别最优模型来实现的。

    领域模型更适合于特定的领域,其中LLM更一般化以处理更复杂的工业任务。Yao(2023)认为,大模型和小模型可以从数据交互、模型交互、应用交互三个方面进行组合,如表1所示。

    表1 小模型车间vs大模型工业化((Ma et al., 2023; Q. Yao, 2023)

    这种小模型和大模型的结合增强了学习和处理复杂问题的能力,同时为时间序列数据的深度特征提取和处理奠定了基础。这些模型可以发现底层的发现模式、趋势和相关性,提取这些信息作为领域模型的输入特征。因此,领域模型可以直接从细粒度特征中学习,减少它们对原始数据的处理,提高领域模型理解和分析时间序列数据的能力。

    2.2. LLM &时间序列数据故障诊断

    ChatGPT的成功引起了学术界的广泛关注,使得LLM应用于时间序列数据故障诊断的研究兴趣增加(Wu et al., 2023)。Li等人(2023)已将设备健康管理和预测确定为LLM应用的未来研究方向。他们认为当前的深度学习模型需要从单模态、单任务的方法转向利用大量数据的多模态、多任务的方法。他们认为,现有的深度学习方法在认知和泛化能力方面存在局限性。同样,Zhou等人(2023)提出了一种创新的解决方案,称为D-Bot,专为数据库管理员设计。D-Bot通过LLM持续从文本资源中获取数据库维护经验,并为目标数据库提供持续的诊断与优化建议。此外,Chen等人(2023)提出了一种称为racopilot的方法,该方法使用LLM分析自动识别云事故的根本原因。racopilot依靠LLM来总结故障信息,并预测多事件故障,以确定其根本原因。Ahmed等人(2023)将LLM推理和总结技术应用于历史故障文本,如故障描述、根本原因报告和建议的解决方案。通过这种方法,他们为新出现的问题推荐根本原因和解决方案。本研究提出一种任务驱动的LLM框架,用于时间序列数据的故障诊断。该框架将LLM与Pandas、Scikit-learn、SQL和本地数据库结合起来,用于对时间序列数据进行数据处理和模型推荐调用。此外,这些研究证明了LLM在时间序列故障诊断中的应用前景,克服了现有方法的局限性。

    2.3. 时间序列数据prompt的开发

    Prompt是用户与LLM交互的关键界面。没有它,LLM就无法理解用户的问题。Prompt包含两个组成部分:一是指示LLM执行操作的指令,二是明确用户期望LLM完成任务的具体问题。Teven et al.(2021)曾指出,prompt包含了相当多的信息,一个prompt可以相当于100个真实的数据样本。此外,prompt在数据稀疏的垂直领域中提供了重要的支持,即使在零样本场景中也表现出色,这使得prompt技术成为使用LLM的重要组成部分。

    目前,prompt设计方法分为少镜头(Madotto等人,2021)、思维链prompt过程(CoT) (Wei等人,2022)、零镜头思维链(Kojima等人,2022)、自一致性(Wang等人,2023)、知识prompt生成(X. Chen等人,2022)、过程辅助语言(PAL) (Gao等人,2023)、和ReAct (S. Yao等,2023)。然而,时间序列数据的prompt设计方法仍处于探索阶段。Li et al.(2022)提出了一种预测时间序列特征的prompt技术,但使用语言驱动Bert模型预测时间序列的过程需要考虑时间序列数据对齐的问题。此外,对未来信息的预测需要考虑领域知识,以获得更好的结果。

    为了解决这些问题,Xue等人(2023)开发了PromptCast方法,该方法使用文本到文本的输入进行时间序列预测。然而,这种方法在时间序列数据中遗漏了大量的信息。因此,Sun等人(2024)提出了TEST方法,该方法将时间序列数据转换为用频率、形状和值来描述的文本表示。这使得LLM能够处理和分析时间序列数据。本研究设计了一个时间序列故障诊断的prompt结构,能够处理时间序列数据、模型检索、因果关系校正等应用,结果证明了其有效性。

    3. 基于LLM的人在环任务驱动的钢铁冶金故障诊断2.0框架

    3.1. 基于LLM的任务驱动方法

    工业时间序列数据的传统故障诊断过程严重依赖人工干预。这包括对数据进行手动标注和预处理,手动整合领域知识以纠正因果关系,手动选择算法模型进行数据预测和异常检测,以及手动整合领域知识以确定故障的原因和解决方案。在整个故障诊断过程中,大量的人力和物理资源是必不可少的。然而,大量的人工干预消耗大量人力物力,且非专业人员难以有效处理故障问题。就及时性而言,存在显著延迟,难以实现快速诊断。即便是专业运维人员,其知识储备有限,可能难以应对新出现的问题。因此,需要一种能够自动化任务处理、存储广泛领域知识、有效处理复杂任务的方法。LLM通过用户提问和回答促进快速解决问题,充当用户和知识库之间的纽带。通过不断调整其角色以响应用户需求,LLM捕获最相关的知识并为自动化工作流程做出贡献。数据和知识流的这种范式转变彻底改变了当前基于任务的流程。我们重新定义了基于LLM的任务驱动方法,并将其与另外两种驱动方法(数据驱动和数据知识驱动)进行了比较。数据驱动的方法完全依赖数据来驱动整个过程,而数据和知识驱动的方法则结合了领域知识来增强数据驱动的方法。相反,基于LLM的任务驱动方法封装数据和知识来定义和分解用户提出的任务。由此产生的数据和知识流遵循任务流。这种方法采用了分层任务分解策略。首先,它将复杂的任务解构成更直接、更易于管理的任务。然后将这些简单的任务分解成一系列连续的步骤。每一步都有明确的目标和预期输出,以特定的顺序和逻辑关系联系起来,形成一个完整的过程。这种方式实现了任务驱动的自主性,提升了整个任务执行的精准度和效率。

    3.2. 提出的框架——基于大语言模型的工业时间序列故障诊断(LLM-TSFD)

    使用LLM进行人在环任务驱动的时间序列故障诊断的框架如图2所示。该模型在整个过程中依赖于两个主要输入:用户prompt和来自中间层的工业时间序列数据。用户prompt由一系列指令和问题组成。一旦经过人在环的LLM处理,就可以输出期望的结果。在数据处理任务中,将输入数据可视化,预处理后的数据以CSV格式本地存储。在故障检测任务中,输出的是修正后的因果关系。在故障诊断任务中,模型推荐预测/检测模型,并提供故障检测和预测的结果。在这个过程中,LLM在知识库中搜索最相关的内容作为输出。当遇到新问题时,LLM可以在网络中搜索找到合适的解决方案。

    图2 使用LLM进行故障诊断的结构框架概述了利用LLM从输入到输出的整个过程。输入由用户需求和待处理的数据组成,结合prompt形成一个完整的问题,成为用户需求目标。用户需求被转移到LLM,分解成单独的子任务并排序。任务根据它们的排序顺序依次执行。结果以两种形式提供给用户:定量反馈和二进制反馈。如果对结果不满意,用户可以将其修改为标准答案,并在收到满意的输出之前将其传递回LLM用于学习。最后,将结果与第三方工具集成,用于数据处理、因果发现和故障诊断等方面的应用。

    图2右侧展示了人机协同的大型语言模型(LLM)工作流程。该模型采用“循环”机制运作:用户先设定目标,通过LLM理解并分解任务,再按分解后的步骤依次执行。任务完成后,LLM会通过两种方式与用户互动:首先是二元反馈机制,LLM给出答案后,用户可选择“满意”或“不满意”。若用户不满意,LLM会修正答案,或用户可修改问题引导LLM提供更精准的回应,这种迭代过程能不断优化答案质量。其次是量化反馈机制,LLM在执行任务时会查询数据库或向量数据库,通过计算查询内容与知识库的相似度来确定置信度——低置信度表示匹配度较低,高置信度则匹配度较高。当置信度较低时,LLM会提示用户答案可能不够精确,并建议修改问题以获取更详细描述。在整个任务驱动过程中,人机持续互动,各阶段都鼓励反馈。这种循环中的反馈机制有效提升了LLM的性能表现和可解释性。

    LLM的工作机制体现在任务分解和执行上。这个过程主要分为三个模块:数据处理、因果发现、故障诊断,如图3所示。红色虚线框起的部分突出了LLM的工作部分。对于数据处理,用户输入的问题经过令牌嵌入和位置嵌入来产生一个向量    ,     ,    表示第    个单词。LLM对    向量进行处理,生成答案。输入向量    乘以模型得到的    、    和    矩阵,生成    、    和    矩阵。这些矩阵被自关注机制用来计算相似度,如式(1)所示。式(1)中的    、    和    分别对应第    个元素的查询向量、键向量和值向量。

     

    对查询向量(    )、键向量(    )和值向量(    )矩阵进行点积运算。接下来,将注意力分数相乘并求和,以获得上下文语义向量的注意力权重。完整的过程可以用下面的等式来表示:

     
     
     

    对于公式(2)中的每个元素    和    ,我们计算一个关注分数(    ,     ),它表示    对    的关注程度,其中    是关键向量的维度,    是缩放因子;式(3)中的注意力分数通过softmax函数得到    的注意力权重;式(4)中的    为值向量,对其进行加权求和,得到最终的上下文矩阵    。上下文矩阵不仅包含当前单词的信息,还包含上下文信息,帮助模型理解不同段落中每个单词的含义。

    图3 使用LLM进行任务处理的示意图:LLM是一种Transformer结构,在注意力模块中以Q、K、V作为关键参数。LLM中任务处理的主要目标是对输入内容进行矢量化,并在知识库中进行匹配,以获得最相似的输出生成。有最高的相似度。这些片段被输入到LLM中,使用自注意机制生成上下文向量,类似于数据处理中生成答案的过程,最终产生修改后的因果关系。

    LLM通过全连接层将上下文向量映射到高维空间,随后将结果转换为词汇表大小的向量,并通过softmax函数生成每个词的概率分布。输出代码完全符合用户需求。在因果发现过程中,用户输入的因果关系被嵌入系统,随后与存储专家知识的向量数据库内容进行相似性匹配,从而确定相似度最高的相关语段。这些片段被输入到LLM中,通过自注意力机制生成上下文向量,其过程类似于数据处理中的答案生成机制,最终产生修正后的因果关系。

    在故障诊断过程中,用户查询会被嵌入向量并与包含SQL数据库表结构的向量数据库内容进行比对。通过识别最相似的向量片段,LLM利用自注意力机制建立上下文语义相似性。最终根据用户需求生成SQL语句,该SQL查询将作用于MySQL数据库以确定模型位置并向用户推荐合适模型。故障分析阶段中,蓝色箭头标示文本嵌入后的处理流程:完成编码后,向量数据库会检索故障原因并找到最相似片段,随后运用自注意力机制计算上下文向量,最终生成故障原因诊断结果。

    4. LLM在工业时间序列数据故障诊断中的作用

    LLM是一个通用的模型,因此找到其工业生产能力并推动行业向前发展至关重要。在与LLM的互动中,不同的个人和背景可以以不同的方式解释内容。因此,为LLM建立定义角色、场景和其他相关因素的规则对于增强模型的领域知识和改善结果是必要的。AutoGPT是ChatGPT的扩展,允许用户定义角色并将其分配给GPT。相反,MetaGPT分配特定的角色并提供详细的信息,提高LLM对各自领域的理解。因此,为LLM分配适当的角色对于有效学习工业时间序列数据至关重要。图4描述了FD2.0期间LLM的预期角色。这些角色如下:

    (1)数据管道管理器:LLM执行自动化数据预处理、清洗、标记和可视化。这减少了运维人员在数据标注和处理上花费的时间和精力。

    (2)监督器:LLM修正传统算法建立的因果关系。该任务通过将领域知识与逻辑推理相结合,以实现对因果关系的精确判定。

    (3)控制器:LLM调用算法中的模型,通过用户建议进行故障预测与识别。针对实际生产问题,LLM可推荐合适的机器学习模型并启动其本地执行。

    (4)决策器:LLM通过理解检测过程并以运维人员可以理解的方式呈现模型的行为来检测异常结果。此外,LLM概述了诊断结果,供工作人员参考和理解。

    图4 LLM在故障诊断2.0中的作用价值:对于数据处理,LLM的作用类似于管道管理器。对于因果发现,LLM扮演的是监督者的角色。最后,对于故障诊断,LLM同时承担控制器和决策者的角色,以有效地诊断故障。

    下面将详细描述LLM所扮演的每一个角色。

    4.1. 管道管理器

    当前的行业领域模型依赖于数据质量。数据来源于多个传感器、设备和系统。尽管如此,这些数据通常包含噪声、缺失值和异常值,这可能会影响模型的准确性和可信度。此外,工业数据具有独特的结构、格式和标准。为了有效地分析这种多样化的数据范围,对这些异构数据源的分析进行集成和统一是至关重要的。传统上,需要专业人员来处理、标记数据,并将结果与相关专业知识相结合,以实现高效的解释。此外,特定的平台界面可能会限制用户偏好的灵活性。本研究提出使用LLM来处理时间序列数据。首先,通过对话采用直接的数据分析减少了对人工设计数据分析技术的需求,最大限度地减少了主观性,提高了工作效率。其次,使用对话以用户想要的格式输出数据图表,有效地满足了特定的需求。

    LLM充当管道管理器,监督数据流和处理。整体流程如图5所示。用户提供一个工业时间序列数据文件和一个任务问题作为管道管理器的输入。随后,管道管理器调用LLM代码生成代理,后者根据用户的输入生成所需的代码。然后执行生成的代码并返回一个输出结果。在需要进行数据预处理的情况下,LLM生成处理后的CSV文件,并将其保存在本地。同样,如果需要数据可视化,则生成可视化图表以满足用户的需求。在代码生成阶段,导入pandas和sklearn库,允许使用各自的函数进行数据处理。此外,如果LLM检测到输入数据的维度发生了变化,它将保存历史信息。因此,依赖这些维度的模型被标记为“需要维护和更新”。

    图5 LLM作为数据处理的管道管理器:LLM结合一些Python库进行数据处理,生成完整的代码内容。在本地环境中执行代码,然后生成所需的答案、CSV文件、图像等。

    考虑到用户的任务需求,LLM会自动生成适当的代码进行数据分析。为了简化处理操作,引入了相关的第三方库,从而自主生成用户期望的结果。

    4.2. 监督器

    在完成数据处理后,需根据具体工程问题和数据特征,选择合适的因果推断方法或模型进行因果发现。一旦通过模型提取了因果关系,就需要对结果进行评估和验证,以确保其可靠性和适用性。传统方法通常需要进行交叉验证、敏感性分析等一系列操作进行验证。此外,与领域经验协作的讨论和验证是不可或缺的。LLM具有一定的推理能力。当提供模型推理结果、专家知识和需求时,LLM可以充当监督器,将其推理与模型输出相结合,对因果关系进行判断和验证。通过将其推理结果与模型输出相结合,LLM可以对因果关系进行纠正和细化,从而得出更准确的结论。

    由于传统模型缺乏领域知识,因果关系的发现表现出一定的偏差。要学习真正的关系,需要相关的领域知识来指导模型。本研究建议LLM可以充当监督器,如图6所示。利用LLM的推理能力修改原来的因果发现增强了因果关系的发现能力。用户输入从传统算法模型推导出的因果关系,在进入LLM后结合领域知识对其进行修改,推导出更合理的因果关系。最后,将因果关系的输出表示为因果图。

    图6 LLM作为因果纠错的监督器:用户输入初始的因果关系,结合专家知识库对因果关系进行纠错,最后输出纠错的结果。

    在这个过程中,用户的初始关系被嵌入到向量中,并与存储在向量数据库中的向量进行相似性比较。更相似的片段被输入到自关注机制中,生成符合用户期望的响应。

    4.3. 控制器

    在企业中,模型通常部署在本地环境中,以确保隐私和安全。当需要进行预测性维护、异常检测或设备剩余寿命预测时,必须选择合适的模型。如果数据状态保持不变(即没有出现新的传感器或额外的维度),则可以使用预训练的模型进行预测。然而,在现实场景中,传入的数据是不断更新的,因此必须不断维护和更新模型,以确保其有效性和对不断变化的数据的适应性。

    本研究提出使用LLM作为模型控制器,帮助用户选择模型,并提供模型是否需要更新的反馈,如图7所示。用户将问题和时间序列数据输入到LLM中,LLM随后分成两条处理路径。首先,它比较输入的时间序列数据文件,以检查是否有新的传感器或维度。如果LLM检测到任何新的维度,则标记相关模型并向开发人员提及模型需要更新。其次,如果没有新的维度,LLM会根据用户的需求从算法库中推荐一个模型,并对输入文件进行处理,生成所需的输出。

    图7 LLM作为模型调度过程的控制器:用户向系统提供需要处理的需求和数据。然后LLM算法将此输入与SQL数据库进行匹配,以推荐匹配度最高的模型。随后,被推荐的模型输出故障检测/预测结果。

    在这个过程中,LLM作为一个控制器,管理从算法库中选择模型,同时评估输入数据的维数。这种方法可以快速选择模型进行处理和支持模型更新以确保准确的预测结果。

    4.4. 决策器

    工业中机械设备故障诊断的可解释性往往较差。数据驱动的模型使得用户很难理解故障的具体原因和解决方案。同样,知识驱动模型表现出不完整的知识表示(例如,知识图和专家系统),使得难以处理新问题。本文提出使用LLM作为用户需求和处理解决方案之间的沟通桥梁。LLM可以通过理解用户需求、采用网络化搜索、调用模型以及连接数据库来方便用户理解来找到最优解决方案。

    本研究提出,LLM作为具有本地知识库和网络搜索的决策者,为诊断故障的原因提供可读的解释,如图8所示。首先,将用户的问题嵌入并与存储在向量数据库中的领域故障知识进行匹配。如果存在相似度相对较高的片段,则生成诊断结果。在相似度较低的情况下,进行网络查询,获取问题的相关信息。然后将答案存储在向量数据库中,补充现有知识,并能够为用户生成所需的结果。

    图8 LLM作为决策者进行决策:用户输入一个经过编码并与向量数据库中的内容匹配的需求。然后输出最相似的内容。如果没有匹配,系统搜索网络,并将任何找到的内容作为新知识添加到向量数据库中。

    4.5. 基于工业时间序列数据的故障诊断prompt的设计过程

    LLM中的推理过程包括三个主要组成部分:输入、推理和输出。Prompt还作为一种引导机制,在LLM中指导整个推理过程。在不设计prompt的情况下,当用户输入问题    时,模型预测文本的概率    可以表示为:

     

    Prompt的添加可以看作是提供了额外的约束。如果prompt设置为y,则模型预测文本的概率为    。这表明,在指令条件下,通过限制用户输入问题,模型可以为用户生成期望的结果。从本质上讲,prompt是用来将原始概率空间缩小到与其相关联的子空间。因此,预测概率    可以表示为:

     

    在LLM中,prompt的添加通过提供条件约束来修改概率空间,这些条件约束引导模型生成条件相关的输出。这个过程增强了语言模型的响应与用户期望之间的一致性,从而提高了其性能和泛化能力。此外,准确的prompt对于使LLM有效地发挥作用并产生令人满意的结果起着至关重要的作用。然而,重要的是要注意,LLM是一个广义模型,缺乏特定领域的理解。他们需要在一个知识领域内的指导,才能知道如何解决问题。为了解决行业内时间序列数据中的故障诊断问题,本文提出了一个prompt结构来指导任务驱动的开发。Prompt设计结构如式(7)所示。

     

    在式(7)中,在式(1)的基础上添加约束,约束内容,记为    ,即本研究提出的prompt结构。prompt由七个核心组件组成:时间(    )、角色(    )、输入形式(    )、任务分解(    )、输出形式(    )、推理形式(    )和领域知识(    )。角色(R)是由本研究提出的四个角色组成的四元数结构:    。具体来说,    代表时间序列数据分析专家,    作为时间序列因果关系发现的修饰语,    作为时间序列故障诊断模型推荐专家,    承担时间序列故障诊断决策专家的角色。

    在式(7)中,    表示便于记录的当前日期。    和    为LLM提供具体的角色和相关的行业领域知识。这使得LLM能够了解自己处于什么样的场景,扮演什么样的角色,接下来需要完成什么样的任务。一组定义良好的工业场景和领域角色为LLM提供了对其工作的更清晰的理解,类似于人类工作工程。这使得模型能够理解其在公司中的位置,并预测下一步。

    接下来,需要将LLM配置为接受    形式的输入和    形式的输出。为了根据用户的任务生成代码,可能需要将用户上传的文件处理成代码可以理解的格式。为了增强LLM的数据处理能力,可以集成Pandas等工具,将输入转换为DataFrame格式进行程序化处理,从而提高数据处理的效率。

    考虑到用户的任务需求有时不明确,自动化任务分解就变得很有必要。这个过程使LLM能够逐步分解和理解用户的目的,从而达到预期的结果。此外,在推理过程中,    设置的方法如下:LLM逐渐一步一步地思考,最终导致更好的结果生成。

    LLM基于上述框架进行操作,然后输出结果。展示了LLM对数据进行分析和处理的过程,如图9所示。第一步包括引入必要的工具包,然后确定分析过程的输入。最后,分解并执行用户的任务需求。在本地执行LLM生成的代码时,同时返回对运行结果的解释,以方便用户理解。表2展示了时间序列故障诊断prompt设计的示例体系结构。

    图9 以数据处理为例,生成prompt LLM代码的过程:在prompt的指导下,对用户的需求进行分析并分解为子需求。LLM对这些子需求进行相应的优先级排序和处理。如果问题与数据处理有关,LLM的最终输出将是处理此类数据的相应代码。

    表2 时间序列数据故障诊断prompt设计框架

    5. 案例研究

    钢铁冶金是一个重要的工业领域,严重依赖于高效的设备来保持生产力和产品质量。目前,位于中国宝山的一家钢铁冶炼企业在处理时间序列数据故障诊断方面面临挑战,特别是在资源有效利用和工作效率方面。因此,迫切需要一种智能和自主的方法来增强开发周期、维护后流程和用户可读性。

    5.1. 环境下框架的建立

    针对FD1.0和FD1.5带来的问题,本文提出了LLM任务驱动方法在钢铁冶金领域的故障诊断应用。图10给出了一个连铸设备故障诊断场景。

    图10 基于LLM的工业时间序列数据故障诊断平台:实施LLM不仅减少了人力和物力资源,而且缩短了平台的开发周期。此外,它有效地利用经验知识来评估因果关系的准确性和所选模型的适当性,以促进决策过程。

    平台根据LLM建立的角色进行划分。最终的故障诊断模块包括两个关键组件:故障模型的选择诊断信息的问答,涵盖了分配给LLM的两个角色。LLM系统的第一个模块作为数据管道管理器。用户上传一个CSV文件,其中包含机械设备上某个传感器在特定时间段的数据,并指定要处理的任务,以获得相应的输出。传统方法需要人工经验来设计数据处理方法,需要领域工作人员了解标记数据的相关上下限限值,与此相反,LLM可以取代这些任务。用户将任务输入到LLM中,然后LLM将其分解为子任务,提供调优代码的反馈,在本地执行,根据此经验添加相关的领域经验进行标记,并允许用户确定他们想要的输出格式。用户可以通过告知LLM他们喜欢的显示类型,将任何格式的输入数据可视化。此外,使用历史信息作为参考点,LLM确定当前输入文件中是否存在新的维度数据;如果存在,后续模型将相应地进行标记,并发出有关维护或更新的通知。图11显示了使用LLM可视化显示功能在钢铁冶金领域执行处理设备相关CSV文件相关操作时的用户对话过程。如果用户对LLM的初始输出产生的结果不满意,他们可以提供反馈,这将促使LLM进一步响应,直到获得满意的结果。

    图11 使用LLM进行数据处理操作的用户对话流程:一旦用户输入问题并上传文件,LLM将生成相应的响应以及处理后的CSV文件或图表。

    系统的第二个模块是因果发现,其中LLM作为传感器数据中变量之间因果关系的校正器。最初,用户使用常见的因果分析算法建立变量之间的基本关系。然后将这些算法的输出馈送到LLM中,LLM结合从规则库中学习到的领域知识来确定是否有任何关系需要纠正。虽然传统方法要求用户拥有或搜索相关知识才能做出因果判断,但在采用LLM后,允许用自动化流程取代领域专家。图12说明了如何使用LLM通过二进制和定量用户反馈机制执行因果关系校正操作。在二元反馈模式下,用户可以通过点击“同意”或“不同意”来表示他们对LLM答案的满意程度。在定量反馈模式下,LLM根据与向量数据库中的匹配项的相似度得分来评估置信度;如果置信度分数太低,则提供主动反馈,以prompt用户进行更详细的问题描述。

    图12 使用LLM的因果关系校正操作过程:LLM通过使用二进制和定量反馈机制对其输入的因果关系进行校正。前者提供答案是否正确的信息,而后者则通知LLM它提供了不充分的响应,需要用户的额外输入。

    第三个模块是故障诊断,包括LLM控制器和决策器。在传统方法中,专业操作员设计一个模型,并提供一个描述供用户选择,包括每次使用需要修改的输入和参数。然而,使用LLM,用户只需要描述任务,LLM将他们的描述与本地算法库中最合适的模型相匹配。然后,用户选择输入数据通过模型接口运行,然后获得所需的结果作为输出。图13说明了这个过程。故障诊断模块包括故障检测模型推荐、故障预测模型推荐和故障诊断建议三个子模块。在提出检测或预测故障的模型时,LLM检索数据库,根据用户需求推荐合适的模型。如果用户对推荐的结果不满意,他们可以提供二进制反馈(满意/不满意)。在故障诊断过程中,LLM在数据库中搜索可能提供答案的相似片段。如果没有找到,则表明用户问题与知识库内容之间的相似性较低,要求提供更详细的问题描述。此外,每个答案有四个对话选项:复 制、引用、查询和评估。“复 制”允许用户将答案复 制到剪贴板上。通过选择“引用”,用户可以跨长度进行诊断。通过从上下文中选择一个特定的回应,引用它,然后提出一个问题,引用和查询可以传输到LLM中进行进一步的分析和响应。图13在引用LLM之前的回复或提供二进制反馈(“评估”)时显示了这些选项以及网络搜索功能(“查询”)。

    图13 使用LLM的故障诊断过程:用户向LLM输入需求,随后,LLM从其本地存储库中推荐最合适的模型。此外,通过LLM的知识库或通过互联网搜索也可以查询故障原因。

    5.2. LLM-TSFD结果讨论

    5.2.1. LLM-TSFD与未使用LLM的钢铁冶金故障诊断方法的比较

    本文将提出的方法与不使用LLM的方法进行了比较。具体而言,开发了一个用于钢铁冶金企业故障诊断的平台。该平台基于深度学习方法,不包含LLM,如图14所示。

    该平台利用预训练的深度学习模型进行故障分析。用户选择合适的模型,模型检测异常。此外,用户可以选择预测模型,该模型预测未来时间窗内的值,并根据预定义的规则检测异常(如图14所示)。一般来说,工业中用于故障诊断和预测的深度学习模型通常是监督式或半监督式学习模型。这些模型需要手动标记数据,以实现精确的检测和预测。然而,在企业内部不易访问标记数据的情况下,无监督学习可能是模型训练的唯一可行替代方案。此外,新的数据模式经常出现在工业时间序列数据中,而这些数据不能单独从历史数据中学习。因此,需要提高无监督模型的能力。对数据标记挑战的一个潜在解决方案是利用LLM,它可以在时间和效率方面提供优势。通过依赖LLM而不是手工标记过程,组织可以简化他们的工作流程,并以更少的努力获得更准确的结果。

    深度学习模型需要标记数据进行训练。考虑到工业时间序列数据的复杂性,增强基于高度相关数据的多维异常检测至关重要。操作员可以使用因果算法来识别每个维度之间的因果关系。然而,仅仅依靠这些算法可能会导致错误的关系。为了获得更准确的因果关系,将LLM与专家知识库合并可以帮助做出更正确的判断。

    图14(a)示出了平台的模型配置模块。后端为十个预训练模型提供接口,用于异常检测和预测。为了有效地检测异常,用户必须选择合适的深度学习模型。然而,由于他们不知道哪种模型会产生更好的结果,他们只能通过不断的试错来获得最优的结果。图15(a)描述了LLM如何根据用户输入要求推荐算法。相比之下,图14(b)的故障线图并没有为用户提供可读的信息。图15(b)展示了LLM如何通过将流行场景与领域专家知识相结合来解释警告结果,从而增强可读性。

    图14 基于深度学习的钢铁冶金行业预警平台(FD1.0/1.5)

    图15 基于深度学习的钢铁冶金行业预警平台(FD2.0)

    本文从可读性自主性泛化三个方面对未使用LLM的FD1.0或FD1.5中的故障诊断方法与FD2.0中使用LLM的方法进行比较,结果如表3所示。根据表3,“不使用LLM”是指仅使用深度学习方法进行故障诊断,而“LLM- TSFD”是指本文提出的使用LLM进行故障诊断的方法。管道管理器、监督器和控制器等角色对可读性要求不高,因此本文不考虑其对用户的可读性。但是,决策器需要告知用户检测到的故障、原因、解决方案和措施。当操作员依赖基于深度学习的故障诊断方法而没有LLM时,用户缺乏可读性。相反,当与知识库相结合时,LLM可以提供可理解的故障信息。LLM还增强了方法的自主性,消除了需要大量人力或物力来重写程序代码的需要,因为它可以基于LLM进行任务驱动。这种概括允许其应用于各种场景,如本文中讨论的管道管理器、控制器和决策器。

    表3 使用LLM与不使用LLM异常诊断结果的比较

    5.2.2. FD 1.0、FD 1.5、FD2.0的比较

    本文对FD 1.0、FD 1.5和FD 2.0方法进行了对比分析。数据集来源于中国上海某钢铁冶金企业。培训和测试数据来源于工业连铸设备。研究主要集中在导辊电流和结晶器截面的数据上。导辊电流主要包括S1至S16的上辊电流和S8至S16的下辊电流。结晶器截面的数据包括宽面的内弧出口流量、宽面的外弧出口流量、窄面的右侧出口流量、窄面的左侧出口流量以及结晶器的液位。该数据集包含85000个条目,其中80%用于训练集,剩下的20%用于测试集。训练和测试在8个A100 GPU上进行,实验结果如表4和表5所示。

    表4 基于连铸设备导辊电流的FD1.0-FD1.5-FD2.0异常检测结果比较

    表5 基于连铸设备结晶器截面的FD1.0-FD1.5-FD2.0异常检测结果比较

    本文使用精确率, 召回率和F1分数作为评价指标来综合评价和比较所采用方法的性能。此外,本文还将所提出的方法与11种公开可用的时间序列异常检测方法进行了比较:Agglomerative Clustering (Müllner, 2011), Long Short-Term Memory (LSTM) (Karim et al., 2018), Temporal Convolutional Networks (TCN) (Y. He & Zhao, 2019), Mamba (H. He et al., 2024), Transfomer (Wen et al., 2023), iTransformer (Liu et al., 2024), Kmeans& rules (Budiarto et al., 2019), Autoencoder& expert system (Valtierra-Rodriguez et al., 2023), Knowledge-Distillation (Pol et al., 2023), Time-GPT (Garza et al., 2024), and Prompter-GPT (Alnegheimish et al., 2024)。这些指标从不同的角度评估了方法的性能,提供了更全面、更精确的比较结果。

    精确率:精确率衡量正确预测的异常在所有被预测为异常的样本中所占的比例。它是一个统计度量,重点关注被分类器分类为正的数据。

     

    召回率:召回率衡量的是模型正确识别的实际异常的比例。

     

    F1分数:考虑到预测的准确性和完整性,F1分数是精确率和召回率的调和平均值。其最大值为1,最小值为0,值越高表示模型性能越好。

     

    其中,TP表示正确分类的阳性样本数量,FP表示错误分类的阴性样本数量,FN表示错误分类的阳性样本数量,TN表示正确分类的阴性样本数量。

    表4将本文方法与故障诊断的FD1.0、FD1.5和FD2.0时期的几种典型模型的异常检测结果进行了比较。在每个阶段,异常检测结果最好的模型以粗体突出显示。在FD1.0阶段,最优模型为TCN;在FD1.5阶段,最佳性能模型为K-means & rules;在FD2.0阶段,该方法实现最优。此外,本文还将本文提出的方法与上述两种方法在精确率、召回率和F1分数方面进行了比较。结果表明,我们的方法在利用连铸设备中各种导辊的电流值进行异常检测方面优于其他两种方法。

    表5主要分析了来自连铸设备结晶器部分的数据,并对FD1.0、FD1.5和FD2.0阶段的几个模型进行了评估。本文使用精度、召回率和F1分数作为比较指标。Transformer模型、知识蒸馏模型和提出的方法以粗体突出显示,表明性能更好。与其他两种方法相比,本文提出的方法在检测阳性样本的精度较高的同时,保持了较高的召回率。F1分数也是最高的,证明了所提方法具有优越的检测性能。

    5.2.3. 消融实验

    本文比较了两个数据集上11个公开可用模型的平均F1分数,如图16所示。散点图显示每个模型的平均F1分数,颜色越深表示值越高。Prompter-GPT模型平均得分最高,可作为消融实验的基线模型。此外,当使用大型语言模型作为故障检测的决策器时,我们提供了对结果的解释性文本分析,这与管道管理器,监督器和控制器模块的评估方法不同。因此,本节的消融实验主要关注管道管理器、监督器和控制器模块在精确率、召回率和F1分数方面的性能,以评估它们在基于从连铸设备收集的数据的故障检测中的有效性。

    图16 本文评估了11个模型在不同数据集上的Precision、Recall和F1分数。图中渐变的圆圈表示在两个数据集上计算的每个模型的平均F1分数。颜色越深表示数值越高。Prompter-GPT模型平均F1分数最高,可作为消融实验的基线模型。

    本文将管道管理器、监督器和控制器模块引入基线模型,并评估其有效性,如表6和表7所示。表6给出了使用来自连铸设备的导辊电流数据进行消融实验的结果。从表6中可以明显看出,将管道管理器和监督器模块添加到基线模型中可以提高精确率、召回率和F1分数,从而证实了这些模块的有效性。控制器模块利用了大型语言模型推荐的模型,取代了目前的基线模型。当引入控制器模块时,与仅包含管道管理器和主管模块的基线模型相比,有显著的改进。与基线模型相比,所提出的方法在精确率、召回率和F1分数方面都有提高,证明了所提出模块的有效性。

    表7显示了使用连铸设备结晶器部分数据进行消融实验的结果。当基线模型包含管道管理器和监督器模块时,精确率,召回率和F1分数得到改善。此外,控制器和管道管理器模块的组合优于仅使用管道管理器模块的基线模型。然而,控制器和主管模块的组合与只有主管模块的基线模型相比,性能略差。然而,同时使用这三个模块的性能要优于基线模型、带有管道管理器模块的基线模型和带有主管模块的基线模型。这证明了所提的管道管理器、监督器和控制器模块的有效性。

    表6 基于连铸设备导辊电流数据的消融实验对比

    表7 基于连铸设备结晶器段数据的消融实验对比

    5.2.4. 在不使用prompt的情况下LLM- TSFD和LLM方法的比较

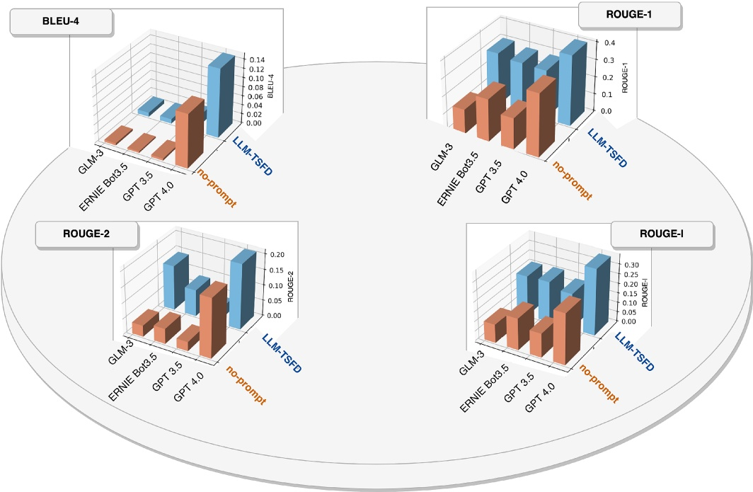
    本文采用决策制定者来为用户查询提供可解释的响应,并在钢铁冶金领域提出了一个验证数据集,该数据集包含500个由用户生成的问题和答案构建的问答对。数据集仅包含文本描述,不包含任何伴随的CSV文件或图像。它涵盖了数据处理、因果关系修改、模型推荐结果、故障原因诊断结果及相关意见等多个方面。为了评估我们提出的使用提示(LLM- TSFD)的方法的有效性,我们将其与四种公开可用的LLM(GLM-3、ernie Bot3.5、GPT3.5和GPT4.0)的无提示方法进行了比较。使用四个指标(即bleu-4, rouge-1, rouge-2, and rouge-l)来衡量性能,并将结果展示在表8中。

    表8 使用所提的prompt(LLM-TSFD)与不使用所提的prompt(无prompt)在四个不同指标下的结果比较

    首先简要介绍本研究采用的四个指标:bleu-4分数用于评估四元数案例中预测答 案与标准答案的相似程度,数值越高表明预测结果与参考文本越吻合;rouge-1指标则专门衡量预测结果与参考答案之间的词汇重叠程度。评估预测与参考文本的单个单词或短语的匹配程度。度量值越高,表明结果与参考文本之间的相似性越强。rouge-2度量量化了预测结果与参考文本中两个连续的单词或短语之间的一致程度。分数越高,表示与手动注释的相似度越高。被称为rouge-l的度量量化了预测结果与参考文本中发现的最长公共子序列之间的重叠程度。该指标得分越高,表明性能越好。

    表8说明了在所有四个公开可用的LLM中,所提的prompt方法优于无prompt方法的性能。为了更直观地观察表8的内容,我们用三维直方图(图17)对无prompt法和LLM-TSFD法进行了对比。其中,蓝色条表示提出的LLM-TSFD方法,橙色条表示无prompt方法。图17清楚地显示,在rleu-4、rouge-1、rouge-2和rouge-1指标区域,LLM-TSFD条的高度始终超过无prompt方法的高度,表明我们提出的模型生成的答案质量更好。

    图17 在三维柱状图中,提出的方法与无prompt方法在四个指标下的比较

    6. 讨论

    FD1.0的特点是采用数据驱动的方法,依靠手动和自动化的方法来处理来自传感器的时间序列数据,以供人类决策。FD1.5的后续发展以更自动化的方式整合了数据和知识,使处理各种类型的数据成为可能,并增强了人类对模型输出的理解。随着LLM的出现,FD2.0时期现在以用户的任务分解流程为主导。模型具备自主赋能自反馈调整能力,在处理大规模复杂问题和多模态数据处理任务的同时,节省了大量资源。此外,LLM增强了人类对结果的可读性,从而在一定程度上提高了理解能力。

    尽管与传统的LLM模型相比,LLM在自主性方面有了显著的进步,但仍然面临着诸如高资源环境要求对幻觉的敏感性等挑战,这些都需要在未来的研究中进一步研究。目前,所提出的方法主要集中在单一数据源上,特别是CSV文件。在现实场景中,有必要考虑不同类型的数据源。因此,未来的研究将探索如何处理多模态工业时间序列数据。此外,本研究采用的方法主要采用公开可用的通用模型。这些模型缺乏与工业领域相关的特定能力。因此,未来的研究将构建钢铁冶金领域数据集,并开发具有鲜明工业领域特征的大型语言模型。考虑到工程师的专业水平不同,用户对底层算法的理解程度也不同。本文主要侧重于利用LLM结合算法库的内容来帮助不同技能水平的用户选择合适的模型。此外,考虑到LLM固有的推理能力,我们的目标是在未来的工作中充分利用这些能力进行全面的模型推荐。这包括推荐更新模型超参数,以更好地适应新的输入变量,以及其他增强功能。在论文发表后,我们将通过GitHub存储库提供相关的研究代码。

    7. 结论

    LLM的出现为解决钢铁冶金中的故障诊断挑战提供了重要机遇,促进了该领域的进步和发展。依靠LLM的数据处理和分析能力,可以获得对冶金过程中潜在故障的准确预测和识别。通过分析大规模数据,LLM可以帮助工程师及时识别潜在故障点,使他们能够在生产中断或质量问题出现之前采取纠正措施。这种组合为故障诊断提供了新的工具,从而提高了可靠性和效率。提出了一种基于LLM的的人在环任务驱动时间序列数据故障诊断方法。利用LLM的生成能力将任务分解为预期结果,同时通过人机反馈协同回路将生成的结果反馈给用户进行修改。我们设计了一个组合推理prompt框架,应用于工业时间序列故障诊断处理,能够调整和指导LLM的行为和输出结果。在钢铁冶金故障诊断中,我们考虑了LLM的四个主要角色:数据处理过程中的管道管理器;因果纠正期间的监督者;模型推荐期间的控制器;和故障诊断阶段的决策者。

    未来的研究将集中在如何在保护工业隐私的同时最好地应用LLM来维护数据安全。此外,利用LLM的生成能力,根据用户的期望生成仿真数据,也是未来的重点任务之一。此外,我们计划利用LLM的推理能力,为不同专业水平的用户推荐和优化模型,包括超参数调整,以适应不断变化的输入需求。=

    编辑:陈莹洁
    校核:李正平、陈凯歌、赵栓栓、曹希铭、赵学功、白亮、任超、海洋、陈宇航、Tina、王金、赵诚、肖鑫鑫、优
    该文资料搜集自网络,仅用作学术分享,不做商业用途,若侵权,后台联系小编进行删除


    来源:故障诊断与python学习
    ACTMechanicalSystem旋转机械通用冶金UGpython海洋理论电机机器人数字孪生控制人工智能数控管道
    著作权归作者所有,欢迎分享,未经许可,不得转载
    首次发布时间:2025-11-28
    最近编辑:3小时前
    故障诊断与python学习
    硕士 签名征集中
    获赞 87粉丝 137文章 261课程 0
    点赞
    收藏
    作者推荐

    大模型综述分享(4) | 健康管理大模型概述:概念、范式与挑战

    PHM领域正面临泛化弱、解释差、验证难等瓶颈,传统方法已跟不上装备智能化的步伐?别急!这篇综述详细介绍了“健康管理大模型”的概念,融合大模型的强推理与生成能力,创新三类进阶范式:从大语言模型垂直应用,到并行协同,再到全流程PHM大模型应用。详解技术路线、提升路径及挑战,为你提供从定制化到通用化的跨代蓝图,助力你的研究突破! 由于文章篇幅较长,将分四次帮助读者快速了解大模型PHM方向,大模型综述分享,大模型综述分享(1) | 健康管理大模型概述:概念、范式与挑战;大模型综述分享(2) | 健康管理大模型概述:概念、范式与挑战;大模型综述分享(3) | 健康管理大模型概述:概念、范式与挑战点击此处即可跳转。 点击文章左下角阅读原文获取原文、翻译。 论文基本信息论文题目:An Outline of Prognostics and Health Management Large Model: Concepts, Paradigms, and Challenges论文期刊:Mechanical Systems and Signal Processing论文日期:2025年作者:Laifa Tao, Shangyu Li, Haifei Liu, Qixuan Huang, Liang Ma, Guoao Ning , Yiling Chen, Yunlong Wu, Bin Li, Weiwei Zhang, Zhengduo Zhao, Wenchao Zhan, Wenyan Cao,Chao Wang, Hongmei Liu, Jian Ma, Mingliang Suo, Yujie Cheng, Yu Ding, Dengwei Song, Chen Lu目录摘要1 引言2 系统分析:当前PHM领域面临的挑战和瓶颈2.1 分析和描述:生命周期中PHM的问题 2.1.1 第一阶段:概念设计阶段 2.1.2 第二阶段:初步设计阶段 2.1.3 第三阶段:详细的设计阶段 2.1.4 第四阶段:研制阶段 2.1.5 第五阶段:在役使用阶段2.2 PHM面临的挑战和瓶颈 2.2.1 PHM算法&模型层 2.2.2 PHM系统层2.3 小结3 大模型研究现状及优势特点分析3.1 大模型综述 3.1.1 大模型原理 3.1.2 大模型优势分析 3.1.3 大模型成熟案例3.2 大语言模型综述 3.2.1 大语言模型原理介绍 3.2.2 大语言模型关键技术 3.2.3 大语言模型优势分析 3.2.4 大语言模型的案例3.3 小结4 健康管理大模型概念与进阶研究范式4.1 健康管理大模型概念4.2 范式一:基于大语言模型的健康管理范式 4.2.1 路线1:基于大语言模型与知识图谱的健康管理知识工程 4.2.2 路线2:基于大语言模型的诊断专家 4.2.3 路线3:PHM算法模型辅助开发 4.2.4 路线4:PHM文字方案生成 4.2.5 路线5:基于大语言模型的维修决策支持4.3 范式二:大语言模型与健康管理模型并行范式 4.3.1 路线1:知识与数据融合的PHM技术 4.3.2 路线2:PHM算法智能推荐 4.3.3 路线3:PHM算法模型逻辑性支撑 4.3.4 路线4:PHM算法模型智能优化更新4.4 范式三:健康管理大模型构建与应用范式 4.4.1 健康管理大模型构建 4.4.2 路线1:智能装备全流程PHM设计 4.4.3 路线2:智能PHM数据生成 4.4.4 路线3:智能PHM能力生成 4.4.5 路线4:复杂系统PHM解决方案生成 4.4.6 路线5:智能PHM验证评价4.5 基于PHM-LM范式的实践案例 4.5.1 案例一:基于LLM的轴承故障诊断框架 4.5.2 案例二:基于LLM模型的轴承剩余使用寿命预测 4.5.3 案例三:基于LLM模型的领域自适应维护方案生成4.6 小结5 PHM-LM面临的挑战5.1 跨领域、多模态的PHM-LM基础数据集构建5.2 多模态健康信息的统一表达架构5.3 多能力、可扩展的健康管理大模型结构设计5.4 特定对象的健康管理专属能力向通用全科健康管理能力的转化5.5 大模型健康管理输出结果的可解释、可溯源性5.6 基于大模型的通用化PHM方法与现有专用式方法的协同5.7 兼顾数据隐私与共享的健康管理大模型分布式隐私训练5.8 关键挑战的优先级分析6 结论(以上标记章节为本文内容)4 健康管理大模型概念与进阶研究范式4.5 基于PHM-LM范式的实践案例4.5.1 案例一:基于LLM的轴承故障诊断框架精准诊断轴承故障对维持旋转机械高效运行至关重要。然而,由于应用环境的多样化,传统诊断方法面临着跨工况适应性不足、小样本学习困难以及跨数据集泛化能力有限等挑战。这些难题制约了现有方法的有效性,限制了其应用范围。大语言模型为提升诊断模型泛化能力提供了新的可能,但如何将大语言模型与传统诊断技术深度融合以实现最优泛化效果,仍是当前待探索的研究方向。基于范式一,以大语言模型为核心的故障诊断专家研究思路,我们针对轴承泛化性问题开发了典型应用案例,并成功展示了卓越的泛化效果。为解决前述挑战,我们提出了一个基于大语言模型的轴承故障诊断框架。首先,我们创新性地提出了信号特征量化方法,通过融合时域与频域特征提取技术,并建立在统计分析框架之上,有效解决了振动数据语义信息提取的难题。本研究构建了故障诊断特征体系,并提出基于LoRA与QLoRA的振动数据模型精调框架,如图4.18所示。该故障诊断特征体系系统化识别并整合关键故障指标与参数,构建了能有效捕捉设备运行状态与潜在故障信号的综合特征系统。模型精调框架引入了基于时序数据的大语言模型精调新策略,通过优化超参数平衡时间效率与预测精度,从而增强了模型在实际应用中的性能与适应性。最终通过单数据集、跨工况及跨数据集诊断实验,对比了完整数据迁移与有限数据迁移的效果。结果表明,基于大语言模型的故障诊断方法能够有效增强故障诊断的泛化能力,满足跨工况、小样本与跨数据集的实际工程需求。图4.18 案例一:基于LLM的故障诊断框架该方法有效提升了故障诊断的准确率,并增强了模型的泛化能力。案例研究表明,所设计的框架在三种泛化任务中均展现出良好的适应性。因此,在跨数据集学习后,诊断准确率实现了约10%的提升。4.5.2 案例二:基于LLM模型的轴承剩余使用寿命预测为验证所提出范式一的有效性,我们开展了基于大语言模型的旋转机械剩余使用寿命预测案例研究,如图4.19所示。本研究旨在利用旋转机械寿命退化数据集,结合经典可靠的精调方法,使开源大语言模型能够适配该预测任务。通过该方法,大语言模型在保持其学习与推理能力的同时,可实现对旋转机械振动数据的分析并输出准确的剩余使用寿命预测值。图4.19 案例二:用于轴承剩余使用寿命预测的LLM模型在方法论层面,我们实现了三项关键创新。首先,通过对振动信号特性整合信号分析与处理技术、位置编码及标记化方法,我们对大语言模型的输入层进行了针对性适配优化。其次,我们采用选择性精调策略——通过观察发现不同神经网络层呈现功能分化特性,为最大限度保留模型固有能力同时确保灵活迁移至RUL预测任务,仅对特定网络层进行精调。第三,我们完成了输出层的结构性改造,将其调整为生成序列化长期数值输出,而非自然语言形式的概率分布建模。实验结果表明,我们提出的LM4RUL方法在长期RUL预测精度方面显著超越常见深度学习模型及针对性迁移学习模型,展现出更优异的泛化能力。具体实验成果详见我们同期发表的研究论文。4.5.3 案例三:基于LLM模型的领域自适应维护方案生成随着智能设备的普及应用,设备的维护维修工作日益重要。传统交互式电子技术手册存在信息检索效率低、逻辑结构复杂等问题,难以满足智能化系统需求。为此,本文提出一种基于大语言模型的维护方案生成方法(LLM-R)。为验证该方法的实际效果,我们聚焦于维护方案生成任务。通过混合数据的监督微调,增强大语言模型在垂直维护领域的适应性,并创新性引入任务级智能体与指令级检索增强生成技术,以优化维护方案生成流程并减少幻觉现象。其架构如图4.20所示:用户输入维护需求后,LLM-R首先进行相关信息过滤;随后由智能体1执行任务解析与选择;智能体2负责工具调用与信息检索;最终由智能体3完成维护方案的优化生成。在技术实现层面,我们选择R=8的参数进行模型精调,构建了专业维护方案数据集,并以航空与海事维护典型场景作为测试案例,验证LLM-R在复杂任务环境下生成智能维护方案的能力。图4.20 案例三:基于LLM模型的领域自适应维护方案生成实验结果表明,针对复杂维护任务,LLM-R生成的维护方案准确率达到91.59%。具体而言,在航空领域当某型飞机发动机无法启动时,维护人员通过自然语言描述故障现象即可快速获取故障排查步骤与解决方案,显著提升了维护效率与准确性。在船舶维护任务中,该方法在样本数据有限的条件下仍能生成高效可靠的维护方案,展现出强大的泛化能力。通过上述案例研究,我们验证了LLM-R方法在实际维护任务中的应用价值,为智能维护技术的发展提供了新路径。4.6 小结本节提出了PHM-LM的三大范式,并结合典型PHM场景给出了可行的技术路线。这些路线一方面通过发挥大模型的优势与能力改进和优化现有技术能力,另一方面为突破PHM领域当前无法解决的技术瓶颈提供了途径。文末提供了三个案例验证。在下一节中,我们将分析PHM-LM落地实施过程中的关键挑战,并补充PHM-LM范式实践中需要考量的风险因素。5 PHM-LM面临的挑战健康管理大模型是健康管理垂直领域的行业大模型,因此在发展健康管理大模型若干技术路径和应用部署时,不可避免地会遇到AI大模型面临的技术挑战。研究报告指出,大模型厂商需要在技术、生态、AI治理等方面应对AI大模型发展的多重挑战,包括算力需求大、训练成本高昂、数据质量不佳、算法可解释性差和AI伦理安全问题等等,这些也是企业的关键成功因素。构建健康管理大模型时会遇到大模型发展遇到的共性问题,主要体现在效率、部署、训练规则等方面,同时也会面临不同于通用大模型和其它行业领域大模型的特异性问题。图5.1展示了健康管理大模型在未来发展过程中可能会遇到技术难点,下面将展开阐述。图5.1 PHM-LM的技术挑战梳理5.1 跨领域、多模态的PHM-LM基础数据集构建庞大的数据集支撑是任何大模型构建时的重要要素。健康管理大模型所使用的数据集具有跨领域、多模态、大规模等显著特点。一方面,使用传统方法开展PHM相关工作时,除PHM技术知识外,会同时交叉涉及对象物理机理、性能指标分配、信号数学处理、系统控制设计等多领域技术手段,因此仅狭义健康管理领域数据,并不能满足构建这一垂直领域大模型的资源需要。另一方面,健康管理领域数据涉及多类模态。具体而言,数据方面,包含缓变数据特点的温度、压力等数据,具有高频动态变化特点的振动数据,语音数据等,即传感器数据;知识方面,包括维护维修方面的文本知识、条款、规则,FMECA、FTA等故障知识,以及其他存储形式的知识如已知的物理规律等;案例方面:类似于医学病例,PHM领域包含各对象诊断、预测在特定场景下的经典案例,这些案例存在的形式和样式也各有不同。因此,收集的数据应当覆盖各种领域装备对象、各种任务应用场景和各种模态资料信号等,并不断补充和丰富以支持大模型微调和对齐。然而,根据模型大小、数据大小和总计算量的参考比例,大模型的数据库体量至少应该在7B级及以上。在多模态、跨领域数据的限制及需求下,获取如此大规模的健康管理领域数据会遇到隐私性、特异性等问题,如限于行业壁垒而难以获取,特定对象的特定能力数据存在很大差异,进而由于隐私、特定对象、特定功能、特点条件等的综合影响导致分散性的出现。在健康管理领域尚缺少成熟的公开数据集及API的情景下,如何获取基础数据集是一大难题。5.2 囊括多模态健康信息的统一表达架构PHM领域健康信息表达形式的显著特点是多模态。上面提到,健康管理领域的多模态内涵包括数据、知识、案例三个方面,并且现有大语言模型通常将输入信息转化为向量格式存储与使用,这也符合计算机运算的底层逻辑。大语言模型就是将语料或文本根据token划分转化,如GPT-4用向量格式支撑NLP预测和奖励模型的标签,这样的架构不仅能够统一数据的表达格式,便于简化模型和提高运算效率,更能够帮助囊括更多模态,提高模型生成能力和迁移、泛化能力。面向健康管理大模型健康信息多模态的特点,统一表达架构是必要且有益的。在实际操作时,可以沿用现有大模型较为成熟的向量转化策略,这就将涉及到将健康管理领域特色多模态信息统一转化表达的相关技术手段。现有研究在多模态处理上仍处于探索阶段。针对除文本型以外的第二模态的处理上,大语言模型一般采用将第二模态适配到(Adaptor)文本型模态、或针对第二模态重新标记并输入扩展降维向量化层等改造方案。健康管理大模型的多模态信息借鉴技术手段还是创新多模态统一表达架构,是大模型构建中必须面临的问题。5.3 多能力、可扩展的健康管理大模型结构设计在构建健康管理行业垂直领域大模型时,本文根据多种预期能力设计了多条技术路线,而这些能力的实现在预期情况下都应基于健康管理大模型的基础架构。因此,构建健康管理大模型时应充分考虑和提前规划诊断、预测、评估等多能力实现要求和在线监测、维修保养等多业务需求。理想的健康管理大模型结构应该在支持设计能力的基础上具备扩展能力,以适应规划之外的更多用户需求,结合技术发展不断更新调整。为达到上述目标,需要在结构设计和搭建阶段从多模态数据表达、模型使用、训练推理、指令微调、人工提示等多方面融入多能力生成需求,力图使结构底层基座通用化、模态理解能力广泛化、推理应用算法模块化、输入输出接口规范化等。从健康管理大模型实现角度出发,也需要考虑选择合适的基础架构,以减少对算力的依赖。5.4 特定对象的健康管理专属能力向通用全科健康管理能力的转化由于健康管理的特殊性,在健康管理大模型构建和能力生成过程中,必将经历从对轴承、机电系统等特定产品对象的特定能力(诊断、预测等能力)向多层次对象的全任务能力跨越发展。例如,借助大模型的涌现与泛化能力优势,可建立轴承故障诊断大模型,具备针对轴承故障诊断需求和强泛化能力。在此基础上,可以向对所有多层次对象的全科健康管理能力转化,其中的多层次对象包括如轴承、齿轮、作动、惯组等同层次的设备对象以及像飞机、卫星、船舶等甚至是星网、体系网络等集群层次对象。而这一过程的实现,需要在大模型构建的各个步骤解决相关问题,而其泛化能力的体现主要依赖预训练和微调阶段。仍以轴承为例,在预训练阶段,通过大规模健康管理领域资料,大模型能够学习到轴承故障诊断的内在感知、隔离和判定的逻辑,进而泛化到轴承的评估和预测等能力,以及其他更多对象的健康管理能力。但预训练后的模型不具备推理能力,需要进一步让AI更充分地理解轴承和同层次其它对象甚至是集群层次对象的差异与联系,更合理地通过诊断学习到全科健康管理能力,这便是需要突破的技术问题。5.5 大模型健康管理输出结果的可解释、可溯源性目前研究界尚且缺乏对大模型优越能力的关键因素进行深入、详细的研究调查,因而健康管理大模型在构建后也难以了解模型能力的来源途径。AI伦理问题有待研究界探索,但使用黑盒原理的生成结果,在应用于重要装备时的有效性始终存疑。目前的解决方案是增加人类监督和专家评估,而未来全自动化PHM生成任务的输出结果的可溯源性将引起关注。另一方面,健康管理大模型作为AI助手,其能力产出不能保证与人类偏好和价值观一致,即使具有出色的能力,在比较严重的情况下,也仍可能产生有害、虚构或有负面影响的内容。比如,幻觉现象是指(Hallucination)生成的信息与现有来源相冲突(内在幻觉)或无法通过现有来源验证(外在幻觉),导致大模型生成看似合理实际完全不符合装备特性的输出,这样的结果是灾难性的。大语言模型领域,InstructGPT设计了有效的微调方法,其中包括基于人类反馈的强化学习技术,通过提供人类指令提高LLM在未见任务上的泛化能力。在健康管理大模型上,强化学习技术也是可用的,但是如何增强AI助手的产出可解释性是大模型研究界长期面临的挑战。5.6 基于大模型的通用化PHM方法与现有专用式方法的协同本文所讨论的三种范式涉及了文字生成、方案生成、能力生成、知识管理、算法推荐、辅助开发、验证评价等功能,可形成基于大模型的通用化PHM系列方法,而现有专用式方法以专家经验、业内规范、人工代码开发、人工试验验证等非AI手段为主。健康管理大模型固然在智能化、通用化、生成能力上优势明显,但研究表明,大模型在某些领域获得出色时,可能在其它领域受阻。新旧知识发生冲突时,NLP的灾难性遗忘问题就凸显出来;“幻觉”现象对于GPT来说也是一大难题,在健康管理领域应用便存在输出有害结论和恶劣后果的隐患。在特定的装备、工况及业务需求下,生成能力的专业性会受到限制;在重要任务上,能力产出可能与专家知识相去甚远,严重危害装备剩余寿命和人员使用安全。因此,在通用化PHM方法出现之后,现有专用式方法也应当保留,并使二者协同并行。在训练层面,可不断用专用知识来对齐微调大模型,聘用专家人员通过指令遵循使大模型学习特定设备和场景下推理方式,使专用式方法融入通用化模型训练,不断接近预期结果;在应用层面,也不应完全依赖通用化PHM方法的输出结果,而应该在通过验证评估后投入方案实施。5.7 兼顾数据隐私与共享的健康管理大模型分布式隐私训练前文提到,鉴于健康管理数据的隐私性、分散性等特点,需要整合健康管理领域业内广泛的资源和数据,这一过程涉及到分布式训练,进而涉及到数据隐私的问题。将健康管理大规模数据集中由同一机器训练时,会遇到数据隐私安全上的约束。联邦学习(FL)是一种机器学习框架,是指将分散的训练数据分配给许多客户机,这些服务器在中央服务器的协调下一起协作训练同一模型的训练方式,体现了集中收集和数据最小化的原则,以此减轻系统性隐私风险和成本。健康管理大模型应用联邦训练方式即可在保障数据合法合规的基础上,实现数据共享和共同建模,这样也为大模型投入应用后的实施效果提供保障。然而,健康管理大模型使用联邦学习训练,在实际应用中面临一些技术挑战,如客户机在存储、计算和通信能力上存在异构性,各个客户机的本地数据可能不是独立同分布,各个客户机根据其应用场景不同存在模型异构性问题,可能遭到黑客攻击导致隐私泄露等等。由于联邦学习技术仍处在起步阶段,需要进一步探讨将其作为健康管理大模型的训练框架的合理性及涉及问题的解决方案。5.8 关键挑战的优先级分析(1)数据可用性和质量是主要挑战数据是PHM-LM发展的基础。若缺乏充足优质的多模态数据,模型训练与优化将无从谈起。PHM领域的数据收集受到隐私限制、行业壁垒与数据碎片化的制约。解决这一挑战是后续发展的先决条件——无论其他技术方案如何完善,若没有足够的数据支撑,模型的可靠性与适用性都将无法保证。因此,数据问题必须作为首要解决任务。(2)可解释性与可追溯性直接决定应用安全在关键应用场景中,PHM-LM的输出必须具备高度的可解释性与可追溯性。这不仅是技术完善的要求,更是实现安全应用的底线。若模型的输出结果无法被理解或验证,其在真实工业环境中的应用将受到严重限制。因此,模型透明度相关的挑战在优先级上紧随数据问题之后,因其直接关系到模型的安全性与可信度。(3)通用方法与专用方法的融合决定适用性PHM-LM必须在通用能力与专用能力之间实现平衡。若无法实现有效融合,模型的通用能力在特定任务中可能反而不及传统方法,从而限制其实际应用价值。只有通过模块化训练与精调确保专用能力与通用能力相互补充,才能使模型在多样化场景中发挥最优性能。因此,这一挑战的优先级高于架构设计,因其直接决定了模型在真实应用中的适用性与有效性。(4)可扩展架构设计保障长期竞争力虽然架构设计对于支撑多模态数据处理与未来能力拓展至关重要,但其优先级略低于前述挑战。这是因为架构优化的影响更具长期性,对模型开发与应用的即时效果不如其他因素显著。只有在解决数据、可解释性及专业化能力融合等问题后,架构设计才能得到有效引导与实施。因此,可扩展架构虽优先级相对次要,但对保障PHM-LM的长期竞争力仍不可或缺。6 结论为了应对现有PHM面临的挑战,并响应未来装备型号的需求,本论文在分析PHM技术发展瓶颈与调研大模型技术发展与优势后,提出了生成式多模态健康管理大模型的相关概念,并结合大模型技术优势、健康管理系统全寿命周期研制的系统工程过程、健康管理面临的问题,提出了健康管理大模型研究与应用进阶的三类典型创新范式,研究了传统大语言模型向PHM大模型整个转变过程的技术流程,提出了健康管理大模型的垂直领域应用设计,打破了传统健康管理的设计模式、研发模式、验证模式、应用模式,构建了健康管理大模型新技术体系框架蓝图和新生态圈,为实现健康管理技术从传统的定制化向通用化、从判别式向生成式、从理想化条件向实战化的跨代发展与根本变革提供重要参考和指导。编辑:曹希铭校核:李正平、陈凯歌、赵栓栓、赵学功、白亮、任超、Tina、陈宇航、海洋、陈莹洁、王金、赵诚、肖鑫鑫、张优该文资料搜集自网络,仅用作学术分享,不做商业用途,若侵权,后台联系小编进行删除来源:故障诊断与python学习

    未登录
    还没有评论
    课程
    培训
    服务
    行家
    VIP会员 学习计划 福利任务
    下载APP
    联系我们
    帮助与反馈