首页/文章/ 详情

强度丨北航:某航空发动机风扇盘载荷谱编制方法研究

13分钟前浏览14

风扇盘是航空发动机的重要断裂关键结构,为保障其服役安全性和可靠性,需要编制反映实际使用情况的载荷谱,用于疲劳寿命评定。本文基于某发动机两种任务类型的实际使用数据,进行了风扇盘单参数载荷统计分析,采用任务段分析法编制了中值转速谱;采用SWT公式和线性累积损伤理论计算载荷谱损伤,采用DTW方法进行载荷谱相似性分析,结合TC17钛合金模拟试件成组试验,建立了基于载荷谱相似性的损伤分析方法;进行了机群风扇盘转速谱损伤计算,获得载荷谱损伤样本,拟合优度检验表明风扇盘转速谱损伤服从对数正态分布,中值转速谱损伤接近机群转速谱中值损伤,验证了编谱方法的合理性。为准确评估风扇盘安全寿命提供了重要支撑。

关键词:发动机风扇盘;转速谱;载荷谱编制;相对损伤;概率分布

航空发动机作为飞机的动力装置,在使用过程中长期承受疲劳载荷作用,疲劳失效诱发的故障占结构故障的70%~80%。为保障结构的安全性和经济性,需要进行结构疲劳评定,作为航空发动机疲劳试验和寿命评估的输入,载荷谱直接影响结构强度设计成本和服役可靠性。风扇盘是发动机的重要断裂关键件,高速旋转造成的交变载荷会诱发其发生疲劳断裂,编制反映实际使用情况且具有代表性的转速谱对保障其安全性和发动机的可靠服役具有重要意义。


发动机载荷谱包括整机谱和部件谱,在发动机总谱编制方面,宋迎东等按损伤等效原则编制航空发动机机动飞行综合任务谱,提出了一种多参数载荷谱编制方法。孙志刚等提出了一种标准试验载荷谱编制方法,基于PCA提出了与使用相关的多参数载荷谱模拟方法,开展了基于任务段的航空发动机载荷谱聚类方法研究,并验证了综合任务谱的有效性。牛序铭等建立了不同类型的典型任务段模型,提出了一种基于任务段的航空发动机机动载荷综合任务谱编制方法。上述采用飞机/发动机的总体使用参数编制的整机谱,为部件载荷谱编制提供了基础。针对发动机部件和飞机/发动机的使用参数及结构实际使用状态相关的特点,德国LBF、IABG等提出了战斗机冷端盘的标准TURBINSTAN载荷谱;张勇和蔚夺魁对不同载荷参数的匹配进行研究,针对轮盘等发动机关键构件给出了多参数载荷谱处理办法;彭靖波等基于飞参数据,根据转速谱压缩原理,将实测的众多转速循环类型归为三类基本循环,编制了发动机的单参数载荷谱。但是由于不同飞机/发动机使用的分散性,如何考虑机群飞机/发动机的使用特点编制反映实际使用情况、具有代表性的风扇盘载荷谱仍存在挑战。


与使用相关的载荷-时间历程存在明显分散性,主要包括单机执行相同任务因飞行环境、飞行员操作习惯不同等因素导致的单机载荷谱分散性和机群内不同飞机的载荷谱分散性。载荷谱分散性可用飞行剖面持续时间、载荷大小和频次等参数的统计特性来表征。袁辉等根据某发动机实测飞行剖面,考虑飞行员技术差异的影响,统计单架次单位时间和全寿命期的载荷分布,表明全寿命期载荷服从正态分布。杨俊杰等对某型涡扇发动机开展载荷分散性研究,统计固定时间内的起动次数、最大状态工作时间,研究固定任务混频及变任务混频,建立相应的分布模型。林鑫研究了航空发动机各任务段的持续时间、出现频次和载荷参数的分布规律,通过任务段混频计算方法得到各任务段的分布频率。载荷分散性造成了结构疲劳寿命的分散性。程礼等基于某发动机实测飞行数据,进行损伤分析,表明相同任务类型低循环疲劳损伤呈正态分布。松柏以航空发动机涡轮轴为对象开展针对高低周复合疲劳失效问题的分散性研究,计算不同载荷分散性下的涡轮轴损伤演化曲线,表明载荷分散性的增加导致损伤演化加剧,疲劳寿命降低。Huang等针对发动机涡轮盘关键部位,估算了不同载荷谱下的疲劳寿命,表明需考虑不同实测谱的分散性。马艳红等针对航空发动机涡轮叶片的损伤分析表明,损伤积累程度在相同的工作时间下也具有显著的分散性。如何考虑载荷谱分散性对结构寿命的影响,编制具有典型代表性的载荷谱,仍是目前寿命评估和疲劳试验设计的核心问题。


目前,行业内多采用基于实测载荷-时间历程数据的统计分析,编制中值载荷谱。在采用这种载荷谱进行疲劳分析和试验验证时,为评估结构的安全寿命,应考虑载荷分散,阐明中值载荷谱的损伤特征。为此,本文以某型战斗类飞机发动机风扇盘为对象,以转速为参数,建立反映机群平均使用情况的中值谱编制方法,并进行试验验证中值谱的损伤。

1

风扇盘转速谱特点

某发动机风扇盘典型任务转速历程如图3所示,包括启动、地面操作、起飞爬升、空中飞行以及下降着陆等过程,可划分为起始段(从启动到起飞爬升)、中间飞行段以及结束段3个任务段。起始段包含地面操作的若干慢车-巡航-慢车循环和起飞爬升的最大转速状态;中间段含若干巡航-最大-巡航循环;降落段对应着最大载荷到停车过程。起始段与中间飞行段以首次达到最大转速后持续突降停止作为分界点,中间飞行段与结束段以转速持续下降后再次增加且不再回到最大转速作为分界点。


对于起始段,发动机启动后地面操作载荷均为巡航-慢车-巡航或慢车状态循环,循环数较为固定,将该部分载荷称为起始段第一部分载荷;之后出现起飞前最大载荷,该载荷会超过巡航状态但低于最大状态,主要集中在80%相对转速附近,随后回到慢车状态;达到最大载荷状态时为起飞爬升最大载荷,在每次起落中仅有一次且出现位置固定。


对于中间段,载荷循环次数较多,各次起落均存在较大的差异性。


对于结束段,地面操作载荷很少且多为慢车状态的循环,载荷的幅值较小,该部分载荷可忽略,降落过程中空中部分载荷循环次数较少且多为小变程。

2

风扇盘转速谱编制

2.1 编制流程

本文采用任务分析法,基于任务段参数统计分析,编制中值飞-续-飞谱,编制流程见图2。首先根据使用特点确定任务剖面和任务段,根据持续时间分布,确定任务剖面及各任务段中值持续时间;然后针对风扇盘,对转速历程数据进行滤波、循环计数和特征参量统计分析,建立概率分布模型。根据载荷大小分布,采用蒙特卡洛抽样得到相应次数的峰值大小并与慢车状态对应的载荷配对形成起始段与结束段随机载荷谱,确定机群载荷中值超越数曲线并将幅值和均值进行配对形成中间段随机载荷谱;各任务段按照顺序形成任务剖面,最后按照任务频率,进行任务混频形成随机飞—续—飞谱。

图片  
图片  

图1 发动机风扇盘载荷-时间历程

图片  

图2 考虑随机性的单参数中值谱编制流程

2.2 实测载荷数据预处理

基于转速-时间历程,按式(1)滤掉相邻峰值和谷值间的中间参数,提取峰谷值。

图片  
图片  

图3 小变程删除

采用雨流计数法对转速-时间历程进行计数,获得离散的转速循环特征参数,即循环幅值与均值。

2.3 任务剖面和任务段时间确定

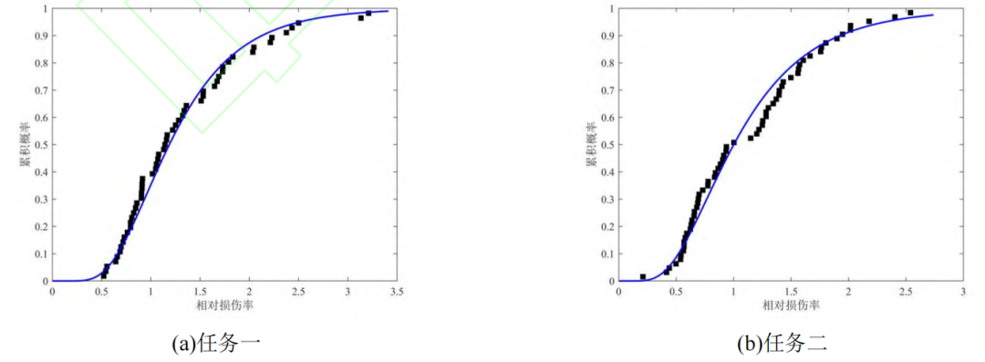
根据飞参和使用信息,某飞机的任务剖面共7个,本文选取2个典型机动任务剖面开展研究,基于2个任务剖面共117个样本进行统计分析,确定任务剖面和任务段的时间和频次。


任务剖面和各任务段的持续时间分布直方图见图4,可以看出任务剖面、中间段、结束段呈偏态分布,假定服从对数正态分布;起始段呈双峰分布,假定服从双峰对数正态分布,进行拟合优度检验。


l)对数正态分布概率密度函数

图片  

式中:μ为对数正态期望;σ为对数标准差。


2)双峰对数正态分布概率密度函数

图片  

式中:p为第一个对数正态分布所占的权重,满足0≤p≤1,1-p为第二个对数正态分布所占的权重;μᵢ、σᵢ分别为第 i 个分布的对数期望对数和标准差。

图片  

图4 任务剖面持续时间分布

图片  

图5 任务剖面和任务段持续时间累积概率密度函数

对于单峰分布,采用极大似然法计算分布参数,采用K-S检验进行拟合优度检验。对于双峰分布,使用ECM算法计算分布参数采用基于bootstrap重采样方法进行拟合优度检验,并选CvM检验统计量。


取显著性水平为0.05,对于单峰分布,当p>0.05时;对于双峰分布,bootstrap重采样次数为1000次,若W0<Wc=W1000⋅(1−α)=W950,表示通过拟合优度检验.根据检验结果,任务剖面、中间段和结束段持续时间均服从对数正态分布,起始段持续时间则服从双峰对数正态分布。


任务剖面和任务段持续时间的分布参数和拟合检验优度结果见表1,概率密度函数与累积分布函数见图4与图5。


反映平均使用情况下的单次飞行持续时间取为中值T50,满足下式:

图片  
图片  

表1 持续时间分布参数估计和拟合优度检验结果

由此获得2个任务剖面和各任务段时间,计算各个任务段占任务剖面的时间比例见表2。

图片  

表2 两类任务单次飞行各任务段持续时间

2.4 任务段载荷数据统计分析

根据风扇盘典型任务剖面载荷特征,统计确定起始段和结束段循环次数。起始段两种任务类型的第一部分载荷循环次数分别为383和419次,包括一次启动后高载和后续3到6次巡航-慢车-巡航,之后包含一次起飞前高载和起飞爬升最大载荷;降落段仅考虑一次降落段最大载荷。


根据中间段持续时间确定中间段段循环次数。两类任务中间段包含单次飞行任务中主要的机动载荷较为复杂,参考欧洲航空发动机冷端盘标准谱中所采用的循环次数确定方法:

图片  

式中:n单次飞行为单次飞行中间段的循环次数,n为实测任务剖面中间段统计的总循环次数,T为实测任务剖面中间段总的持续时间,T单次飞行为中间段单次飞行持续时间。


两类任务的中间段循环次数见表3。

图片  

表3 两类任务中间段循环次数

某任务各任务段的载荷大小分布直方图如图4所示,其中起始段和结束段载荷峰值呈正态分布特征,采用正态分布描述;中间段呈双峰分布特征,采用双峰对数正态分布或双峰威布尔分布描述。其中,双峰威布尔分布概率密度函数为:

图片  

式中:p为第一个正态分布所占的权重且满足0≤p≤1,1-p为第二个正态分布所占的权重;ai,bi为威布尔分布参数。


基于外场统计得到的数据,对两种任务类型起始段和结束段的峰值、中间段的幅值和均值开展统计分析。

图片  

图6 任务剖面载荷分布

图片  

图7 任务剖面载荷累积概率密度函数

起始段第一部分载荷的峰值与结束段的最大载荷均服从正态分布,中间段载荷幅值与均值分别服从双峰威布尔分布和双峰对数正态分布。分布参数和拟合检验优度结果见表4。

图片  

表4 载荷分布参数估计和拟合优度检验结果

2.5 风扇盘转速中值谱编制

2.5.1 任务段载荷谱

l)起始段载荷谱编制方法


起始段的载荷循环次数取各类型剖面起始段总循环次数的均值。对于本文两类任务,根据统计结果和载荷谱特征,第一部分载荷循环次数均取为4次;第一次高载与后续的几个地面载荷峰值大小服从单峰正态分布,对第一部分载荷值采用蒙特卡洛抽样的方式产生相应的峰值,形成相应次数的载荷序列:起飞前最大载荷固定在某一较小的范围内(80%~90%相对转速左右),取平均值;起飞爬升最大载荷取平均值。将起飞前最大载荷与起飞爬升最大载荷插入到载荷序列中形成起始段载荷谱。两类任务起始段载荷谱编制共6次循环如图8所示。

图片  

图8 起始段载荷谱

2)中间段载荷谱编制方法


中间段的幅值与均值分布分别服从双峰威布尔与双峰对数正态分布,根据幅值和均值的累积分布函数F(x),由1-F(x)得到机群两种任务类型中间段的幅值与均值超越频次曲线族,见图9。

图片  

图9 超越频次曲线族

超越频次曲线包含了损伤可以忽略不计的小循环以及极少出现的高载,对其进行低载截除与高载截取处理。低载截除删除峰谷值变程小于10%的最大载荷与最小载荷之差的变程,并删除峰值低于最大峰值50%的循环。高载截取值取为1000次飞行出现次数小于或等于10次的高载。


离散超越频率曲线,将幅值与均值划分为6级,如表5所示。

图片  

表5 各级载荷大小

为了得到平均使用情况下的超越频次曲线,需要根据建立的各级载荷超越频次分布进而确定中值超越频次。考虑到各级载荷超越频次难以用简单的随机变量描述,而非参数估计不依赖于对数据分布的先验假设且能够适应各种分布下的概率密度函数,因此本文采用Rosenblatt和Parzen改进直方图计数方法得到的核密度估计方法确定各级载荷超越频次的分布,核密度估计定义为:

图片  

根据载荷超越频次的分布统计结果,取各级载荷分布中50%分位数所对应的超越频次,将各级载荷中间段的循环次数乘以超越频次得到平均使用情况下的超越数曲线,如图10所示。

图片  
图片  

图10 平均使用情况下超越数曲线

根据超越数曲线中各级载荷的次数,将各级幅值与均值按照负相关关系进行随机配对,形成雨流计数矩阵;选取幅值最大的循环作为首个谷-峰-谷循环;按照幅值从大到小的顺序选择变程,寻找可插入的位置,随机选择其中一个可插入的位置插入该变程;若插入位置为谷-峰序列,则插入峰-谷变程,若为峰-谷序列,则插入谷-峰变程;得到中间段载荷谱如图11所示。

图片  

图11 中间段载荷谱

3) 结束段载荷谱编制方法

结束段的地面操作载荷很少且载荷的幅值较小,忽略该部分载荷。降落过程中空中部分载荷循环次数较少且多数循环为小变程,因此对于结束段只考虑最大载荷的随机性。结束段最大载荷服从单峰正态分布,采用蒙特卡洛抽样方法进行确定,最后将其与停车状态载荷一起插入单次飞行载荷谱的末尾。得到结束段载荷谱如图12所示。

图片  

图12 结束段载荷谱

2.5.2 飞—续—飞谱编制

统计得到两类任务剖面的使用比例见表6。

图片  

表6 两类任务使用比例

将起始段、中间段、结束段按照顺序进行排列,形成任务剖面谱如图13(a)所示。将任务剖面谱按照实际使用频率及顺序进行组合排序,共600次起落,原始数据中各典型任务剖面的频率见表6。


形成飞一续一飞中值谱如图13(c)所示,图13(b)所示为飞一续一飞中值谱中10次起落。

图片  

图13 中值谱

3

载荷谱损伤验证

3.1 相对损伤计算方法及验证

3.1.1 相对损伤计算方法

图片  

式中:σᵢ代表当量脉动循环的峰值,σmax与σmin分别代表各循环应力峰值与应力谷值,D代表载荷谱的当量损伤,m为材料S-N曲线中的应力指数(SmN=C),本文研究的风扇盘材料TC17钛合金在Kt=3的m值为3.5。


鉴于疲劳分析方法精度有限,按Schutz提出的相对损伤原理,以其中一个载荷谱(记为参考谱)的试验寿命为基准计算其他谱的寿命:

图片  

式中:tA为参考谱的试验寿命,DA为计算得到的参考谱损伤,DB为其余谱的损伤,tB为其余谱的预测寿命。


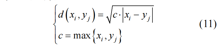
为提高寿命分析的精度,进一步引入载荷谱相似性修正原理,根据载荷谱动态距离(DTW)和寿命误差修正寿命,其基本原理如下:对于两个应力序列X={x₁,x₂,…,xm}和Y={y₁,y₂,…,yn},计算两个序列之间各分量之间的距离dij=d(xi,yj):

图片  

式中:xᵢ和yi为任意距离测点。


进而形成m行n列的距离矩阵D:

图片  

计算两个载荷谱之间的最短DTW距离DTWmn;沿最优路径累加每个匹配测点之间的局部距离,得到弯曲路径长度L,并计算平均DTW距离DTWmn/L。计算各实测谱相对于中值谱的DTW距离,得到与误差E的拟合关系式;计算机群载荷谱与参考谱之间的DTW距离和相对损伤率d,用误差-DTW拟合式进行修正,计算得到损伤率。

3.1.2 损伤计算方法试验验证

以某发动机风扇盘后安装孔结构为对象,设计模拟试件原则为材料牌号、取样方向、关键部位几何尺寸、表面粗糙度、危险点应力水平与应力梯度等与实际结构基本一致,模拟试件材料为TC17钛合金,试件尺寸为160mm×50mm×4mm(长×宽×厚),缺口处宽度为20mm,缺口圆弧半径为5.5mm,缺口张开角度为56°,试件设计图纸见图14(a),试件实物图见图14(b)。

图片  

图14 试样

疲劳试验设备为Instron 8801-100kN疲劳试验机。试件对称夹持在试验机的夹头上,施加轴向交变载荷,波形为正弦波,频率5Hz,试验环境为室温大气。


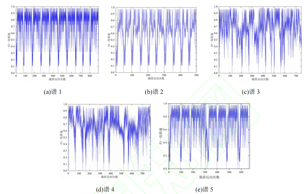
从某型飞机实测的风扇盘转速谱中随机抽取5个对应600次起落的典型飞续飞谱,谱1至谱5的10次起落如图15所示。在室温大气情况下完成了上述谱和中值谱下的成组疲劳试验,试验结果见表7。

图片  

图15 某类任务实测载荷谱局部(十次起落)

图片  

表7 各载荷谱成组疲劳试验结果

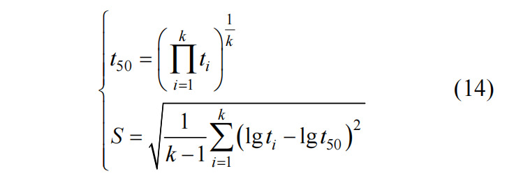
记每个谱下的疲劳寿命为t1,⋯,tk,按照疲劳寿命服从对数正态分布计算中值寿命t50及对数寿命标准差S:

图片  

式中:lg(·)表示取以10为底的对数,k表示有效试件个数。


参考GB/T 24176-2009,进行最小试件数检查。根据表7的中值寿命及对数寿命标准差,按下式计算其变异系数vi

图片  
图片  

表8 各载荷谱成组疲劳最小试件数检验结果

根据式(9)计算各谱的当量损伤。以谱2作为参考谱,计算其余载荷谱的寿命,记试验中值寿命为t50,计算寿命为tc,计算寿命与试验中值寿命之间的误差为E,误差按照下式进行计算:

图片  
图片  

表9 各谱损伤和DTW距离

各谱损伤、误差和DTW距离计算结果见表9。显然,即便是用试验数据进行修正,谱3、4、5的寿命误差仍超过10%,并且误差呈随DTW的增加而增加的趋势。综合中值谱、谱1、谱3和谱4下的数据,采用线性拟合得到:

图片  

图16 DTW距离与误差拟合曲线

3.2 机群载荷谱损伤概率分布

以谱2作为参考谱,分别计算任务一55个起落和任务二62个起落与参考谱的DTW值。采用随机抽样赋以误差正负,根据式(17)得到两类任务剖面的计算寿命tc,反推得到两类任务各实测谱的损伤值,进而计算得到单机载荷谱相对于中值谱的相对损伤率:

图片  

式中:D为载荷谱损伤,T为载荷谱持续时间。DTW值和修正后的相对损伤率见表10。

图片  
图片  

表10 各剖面DTW值和相对损伤率

图片  

图17 机群载荷谱相对损伤率分布

图片  

图18 机群损伤率累积概率密度函数

损伤分布直方图见图17,呈偏态分布,因此假设损伤服从对数正态分布,采用极大似然法估计分布参数,采用卡方检验进行分布拟合优度检验,分布参数和p值计算结果见表11,表明对数正态分布是合理的。

图片  

表11 机群相对损伤率分布参数估计和检验结果

3.3 载荷谱损伤分析

中值相对损伤率d0满足:

图片  

计算得到两种任务类型的中值相对损伤率分别为d1,0=1.1437,d2,0=0.9695。根据两种任务类型的使用频率,中值相对损伤率为:

图片  

以谱2为参考谱得到的机群中值相对损伤率d0=1.0514,中值谱相对损伤d=1.0715与该值的差别小于2%,表明所编制的中值谱与机群的中值损伤率基本一致,可代表机群平均使用情况。

4

结论

1)采用任务段分析法,基于发动机风扇盘转速数据,建立了风扇盘飞-续-飞中值转速谱编制方法;


2)基于载荷谱相似性修正的相对损伤分析方法,提高了寿命计算精度;


3)风扇盘载荷谱损伤服从对数正态分布;


4)中值谱与机群的中值损伤率基本一致,反映了机群平均使用情况。


声明: 本文来源于网络, 仅供交流分享, 若涉及版权等问题请留言, 我们会及时处理


来源:两机动力先行
疲劳断裂航空理论材料试验
著作权归作者所有,欢迎分享,未经许可,不得转载
首次发布时间:2025-11-22
最近编辑:13分钟前
两机动力先行
其它 聚焦航空发动机/燃气轮机关键技术...
获赞 100粉丝 122文章 429课程 0
点赞
收藏
作者推荐

涡轮丨金属所:高推重比下航空发动机涡轮叶片单晶高温合金/热障涂层体系的应用研究进展

随着先进航空发动机对于高推重比和高服役可靠性的追求,不断对涡轮叶片材料工艺选用提出更高的要求,采用以镍基单晶高温合金作为基体,叶身外表面涂覆热障涂层的涡轮叶片已成为先进航空发动机的典型特征。镍基单晶高温合金和热障涂层材料的研发、镍基单晶高温合金/热障涂层体系的考核评价是保障涡轮叶片工作安全性的关键,是当前航空发动机领域的研究热点之一。本文对涡轮叶片用镍基单晶高温合金、热障涂层材料的研究及应用情况进行了详细介绍,简要介绍了镍基单晶高温合金/热障涂层体系的考核评价及失效机理研究进展,并从单晶基体/金属底层界面匹配性、新型金属底层和陶瓷面层研发以及考核评价等方面阐述了涡轮叶片用镍基单晶高温合金/热障涂层体系的研究重点,以期为充分发挥镍基单晶高温合金/热障涂层体系使用潜力提供参考。关键词:镍基单晶高温合金;热障涂层;评价;界面;失效机理涡轮叶片是航空发动机的核心部件,其承温能力是提升发动机性能、效率、可靠性的关键技术指标,一般认为提高涡轮进口温度是提高航空发动机效率的有效方法,目前推重比为10的发动机涡轮进口温度已达1580~1650℃,这就导致涡轮叶片实际使用温度越来越高。涡轮叶片所需要的高温性能70%~80%依靠材料的改进,目前采用以镍基单晶高温合金作为基体,叶身外表面涂覆热障涂层的涡轮叶片已成为先进航空发动机的典型特征。镍基单晶高温合金因消除了晶界高温下的薄弱环节,且随着 Re元素含量的不断提高,工程应用的镍基单晶合金最高使用温度可达1100℃,热障涂层(thermal barrier coating,TBC)涂覆于涡轮叶片表面,能使涂层表面与涡轮叶片基体间产生超过100~170K的温降,同时具有优异的抗氧化腐蚀性能,为进一步提升涡轮叶片的承温能力,具有更高使用温度的镍基单晶高温合金和新型热障涂层材料的设计、制备是当前航空发动机领域的研究热点。值得一提的是,为了获取镍基单晶高温合金/热障涂层体系的相关性能数据以支撑其在航空发动机上的工程应用,尤其是在高代次单晶合金或新型热障涂层试制阶段,热震实验、抗CMAS腐蚀实验、燃气热冲击实验等试样级、零件级考核评价是必不可少的环节。除此之外,随着航空发动机试车状态的增大和试车时长的累计,涂覆热障涂层的涡轮叶片存在局部剥落和表面附着CMAS(CaO-MgO-Al₂O₃-SiO₂混合物)等问题,国内外相关研究人员从单晶基体/金属底层界面、金属底层/陶瓷面层界面以及CMAS侵蚀等方面开展了失效机理研究,为镍基单晶高温合金/热障涂层体系匹配性优化、性能提升设计提供指导,进而保证其工作可靠性。本文详细介绍了镍基单晶高温合金和热障涂层的研究及应用,综述了镍基单晶高温合金/热障涂层体系考核评价方法以及失效机理研究进展,并对今后涡轮叶片用镍基单晶高温合金/热障涂层体系的研究重点进行了展望。1镍基单晶高温合金的发展及应用镍基单晶高温合金具有优异的蠕变、疲劳、氧化及腐蚀抗力等综合性能,是目前制造先进航空发动机涡轮叶片的主要材料。为了满足高性能先进航空发动机的使用需求,各国十分重视镍基单晶高温合金的设计和开发,形成了各自的单晶合金体系,极大地促进了镍基单晶高温合金的发展。自20世纪70年代成功研制出第一代单晶高温合金PWA1480,并成功应用于PW2037,JT9D-7R4等军民用发动机的涡轮叶片,引发了开发单晶高温合金的热潮,相继出现了与PWA1480性能水平相当的CMSX-2,SRR99,René N4,KC-26Y等多个第一代单晶高温合金,第一代单晶高温合金之间的主要区别在W,Mo,Ta等元素含量的不同,并且几乎完全弃用C,B,Hf等降低合金初熔点的晶界强化元素。目前,国外应用最成熟的是以CMSX-4,René N5和PWA 1484为代表的第二代镍基单晶高温合金,第三代镍基单晶高温合金René N6,CMSX-10,TMS-75等,其中报道较多的是CMSX-10(RR 3000),20世纪90年代即在国外多型发动机上进行了实验验证,已应用于航空发动机涡轮叶片。21世纪初,随着合金设计水平的提高和生产工艺的改进,日本国立材料研究所(NIMS)通过调整合金中Re和Ru含量,研发出TMS-138(第四代)、TMS-196(第五代)和TMS-238(第六代)等一系列综合性能优异的单晶合金,但仍处于实验室阶段,尚需解决铸造性能、组织稳定性、成本等一系列问题才可实现工程化应用。值得注意的是,在单晶合金的发展中,Re是一个典型的合金元素,第二、三代单晶高温合金Re含量分别达到3%(质量分数,下同)和6%,显著提高了合金的高温强度和抗氧化性,但因为Re是强TCP相形成的元素,所以降低了合金组织的稳定性,从而影响合金的高温持久性能;另一方面,Re是一种非常昂贵的合金元素,无Re合金的成本至少要比含3%Re合金低50%。Ru是第四代单晶合金的代表性元素,其主要作用是抑制TCP相形成,提高组织稳定性,进而提高其他强化元素含量的调整空间以获得更高的蠕变强度。除此之外,早期的单晶合金去除C,B,Hf等晶界强化元素,以增大热处理温度范围,但随着涡轮叶片尺寸的增大以及内腔结构的复杂化,涡轮叶片精铸件的单晶完整性控制变得十分困难,往往存在小角度晶界等缺陷,降低单晶合金力学性能。为保证涡轮叶片工作可靠性及单晶涡轮叶片精铸件合格率,高代次单晶高温合金中开始限 量使用C,B,Hf等元素,并对C,B,Hf的作用机制开展了深入研究。我国单晶高温合金的发展基本沿用国外研制思路,通过开展测仿和自主创新,成功研制出与国外PWA 1480力学性能水平相当的第一代单晶高温合金DD3,DD8等,并实现工程应用。20世纪90年代末,成功研制出自主知识产权为2%Re低成本的第二代单晶高温合金DD6,并试制了仿René N5的、DD5、仿PWA1484的DD412,仿ЖC32的DD32等第二代单晶高温合金。与国外应用情况相似,目前国内应用最广泛的是以DD6,DD5等为代表的第二代镍基单晶高温合金,DD9,DD10,DD90等第三代单晶高温合金也已开展涡轮叶片试制及实验验证,同时开展了含Ru四代单晶合金DD15,DD91的研制。可以肯定的是,现阶段及未来一段时间内,镍基单晶合金仍将是制备先进航空发动机涡轮叶片的首选材料,应继续加强对高性能镍基单晶高温合金的设计研发,获取合金元素的相互作用机理,研发低成本、高性能新一代镍基单晶高温合金。2热障涂层的发展及应用涡轮叶片热障涂层是将耐高温、低导热、抗腐蚀的陶瓷材料通过特殊工艺与镍基单晶高温合金基体相复合,可降低涡轮叶片基体温度,提高耐冲刷、抗氧化及热疲劳等性能。涡轮叶片热障涂层一般包括金属底层与陶瓷面层,其中金属底层主要作用为增强陶瓷面层和金属基体结合力,提高二者热膨胀系数匹配性,并提升基体抗氧化性,陶瓷面层起隔热和抗高温冲蚀作用。自20世纪70年代初进入工业应用以来,热障涂层受到广泛重视并得到迅速发展。目前,国内外航空发动机涡轮叶片应用最广泛的热障涂层是MCrAlY金属底层+Y2O3⋅ZrO2陶瓷面层的双层结构热障涂层(如图1所示)。金属底层材料MCrAlY与镍基单晶高温合金具有良好的界面结合能力,并且具有良好的抗氧化和抗热腐蚀能力,组元中M通常为Ni和Co,Ni具有优良的缓和热应力的能力,Co和Cr具有优异的抗氧化和抗腐蚀性能,Al可以和陶瓷面层中扩散来的氧反应形成致密Al2O3膜(thermally grown oxide,TGO)。此外,在底层中加入少量的Y可以起到氧化物钉扎和细化晶粒的作用,以提高热循环条件下Al₂O₃膜与基体的结合力,改善涂层的抗热震性能。陶瓷面层材料Y2O3⋅ZrO2应用最广泛的为6%~8%Y₂O₃稳定的ZrO₂,由于ZrO₂在1100℃左右的高温下会发生由单斜相(M相)向四方相(T相)的转变,伴随着3%~10%的体积变化,进而影响其抗热震性能,因此通常需要往ZrO₂中加入一些稳定组元,使相结构完全稳定或部分稳定,早期采用CaO,MgO作为稳定剂(国外对应材料牌号为Metco 201/202,CaO,MgO稳定ZrO₂涂层若长期或周期性地暴露于1039℃以上的环境中,CaO,MgO有扩散出稳定化ZrO2晶体之外的倾向,从而限制了该体系的最高使用温度,研究发现Y2O3作为稳定剂,且含量为6%~8%时,一般可获得不可转变的四方相。 图1 涡轮叶片热障涂层结构示意图但当涡轮叶片在1200℃以上长期服役时,Y2O3⋅ZrO2陶瓷面层中仍会发生单斜相与四方相之间的转变,从而影响涂层的使用寿命。此外,MCrAlY金属底层仅可以在1100℃以下的环境中长期稳定地工作,当温度高于1150℃时,MCrAlY金属底层的氧化速率加快,TGO层变厚且内部产生的热应力和生长应力变大,最终导致氧化膜开裂和陶瓷面层剥落。因此,MCrAlY金属底层+Y2O3⋅ZrO2面层的最高服役温度在1150~1200℃左右,难以满足更高服役温度的需求。同时,随着航空发动机涡轮进口温度的提升,CMAS 在涡轮叶片表面的附着程度愈加严重,当Y2O3⋅ZrO2表面温度达到CMAS熔点时,致使CMAS熔化并在Y2O3⋅ZrO2表面润湿,然后通过毛细作用渗入到多孔的Y2O3⋅ZrO2涂层内部,在冷却的过程中CMAS凝固造成涂层杨氏模量增加、应变容限下降,并且CMAS的热膨胀系数比陶瓷面层和高温合金基体都小,在冷却过程中会产生很大的热应力,导致涂层中产生裂纹,在循环过程中裂纹逐步扩张,最终使涂层脱落。为进一步提升热障涂层的使用温度(&gt;1200℃)和抗CMAS腐蚀能力,国内外学者均开展了大量研究。关于金属底层材料,添加少量Re元素可大幅提升MCrAlY金属底层的高温抗氧化性能,Hf元素掺杂可以在TGO表面形成稳定的HfO2,使涂层的热循环寿命延长10倍,在MCrAlY金属底层表面沉积或者预制一层具有抗氧化性的薄层,比如在MCrAlY层上再喷涂上2~5μm的Al2O3阻挡层,可以进一步降低金属底层的氧化。除了对MCrAlY金属底层开展优化改进外,还发展了Pt-Al,NiAl合金、功能梯度材料等新型金属底层,其中Pt-Al底层已在单晶涡轮叶片热障涂层中应用。关于陶瓷面层材料,主要有对Y2O3⋅ZrO2进行掺杂改性和开发新型陶瓷面层材料两条研究思路,针对Y2O3⋅ZrO2的掺杂改性,单元素掺杂改变Y2O3⋅ZrO2热物理性能的好坏取决于掺杂元素的离子半径、含量以及掺杂元素能否形成高温稳定相,其中离子半径是最关键的因素,但是任何一种单元素的掺杂都很难获得比较理想的热物理性能,因此很多学者进行了多元素掺杂研究。郭洪波等针对一定浓度稀土元素氧化物共同掺杂的Y2O3⋅ZrO2性能进行研究,发现Gd2O3和Yb2O3共掺杂可明显提高相稳定性,1500℃热处理10h材料中M相增量仅有10%。其中,3%Gd2O3和3%Yb2O3共掺杂材料在25~1350℃范围内依然保持良好的相稳定,在25~1200℃范围内其热导率降至1.18~1.25W·m-1·K-1,明显低于Y2O3⋅ZrO2,热膨胀系数为(9.67~13)×10-6K-1,与Y2O3⋅ZrO2相当。针对新型陶瓷面层材料,开展了系列稀土锆酸盐热障涂层研究,LaZrCeO和Gd2Zr2O7是目前研究最广泛、也被认为最有前景的热障涂层材料,其在室温至熔点温度范围内,其热稳定性好,抗烧结性能好,氧扩散率低,此外新型热障涂层中的稀土元素可与CMAS附着物反应,迅速形成稳定的“牺牲层”,在涂层表面形成的致密连续膜层,阻碍反应进一步发生,并抑制CMAS向涂层内扩散,从而提高涂层抗CMAS腐蚀性能,保护涂层不产生剥落失效,稀土锆酸盐热障涂层已在国内外航空发动机单晶涡轮叶片上得到应用。3镍基单晶高温合金/热障涂层体系的考核评价根据航空发动机涡轮叶片工作环境,对镍基单晶高温合金/热障涂层体系进行考核评价,是其工程应用前必须开展的工作。目前国内涡轮叶片热障涂层验收规范中对外观、厚度、气膜孔通畅性(缩孔率)、结合强度、相结构、显微组织、表面粗糙度、弯曲性能、热导率、抗热震性能、抗氧化性能以及对基体力学性能影响等提出了要求,并已经积累了大量数据,支撑了镍基单晶高温合金/热障涂层体系在航空发动机中的应用。但相关数据仅可用于对涂层质量进行评价,无法判断镍基单晶高温合金/热障涂层体系的使用寿命,以抗热震性能为例,其实验条件通常为将涂覆热障涂层的单晶涡轮叶片在马弗炉中加热至服役温度,保温5~10min后取出迅速放置常温水中(水冷)或通过压缩空气(空冷)进行冷却,此为一个循环,通过涂层不发生剥落的循环次数来判定其抗热震性能,在该过程中涡轮叶片的温度始终是均匀的,这与涡轮叶片在工作过程中的温度分布是不一致的,而涡轮叶片基体或热障涂层存在温度梯度可能会导致提前失效。为更真实模拟涡轮叶片工作条件,目前国内外开始采用高温燃气火焰热冲击方式进行镍基单晶高温合金/热障涂层体系寿命考核。火焰热冲击是通过高温燃气对涂层表面加热,同时高温合金基材使用压缩空气进行冷却,进而在单晶基体及热障涂层内部形成温度梯度,这与涡轮叶片工作条件高度一致,燃气加热结束后采用压缩空气对涂层正面进行强制冷却,如此反复进行冷热循环,模拟发动机启停造成的热循环工况,可以说燃气火焰热冲击考核能够很好地模拟镍基单晶高温合金/热障涂层体系在发动机真实工作条件下的寿命。根据调研国外相关研究机构的先进模拟工况考核设备具备至少1500℃长期稳定考核能力,采用精准燃气流量控制技术实现温度控制的高稳定性。为充分评价镍基单晶高温合金/热障涂层体系模拟工况燃气火焰热冲击性能和使用寿命,必须建立相应的模拟工作环境工况考核平台,而考核平台建设的主要难点是超高温下焰流稳定控制和温度精准调控,国内也已开展了模拟服役环境的考核设备开发,具备开展高温考核评价的能力。随着第三、四代航空发动机试车状态的增大和试车时间的延长,CMAS在涡轮叶片表面的附着程度愈加严重,因此抗CMAS腐蚀性能成为镍基单晶高温合金/热障涂层体系的重要评价标准之一。国内多家单位设计开展了抗CMAS腐蚀性能实验,主要思路为对使用后涡轮叶片表面黏附的CMAS进行成分分析,采用CaO,SiO₂,MgO,Al₂O₃等粉末材料,通过烧结、破碎、研磨等过程制备CMAS粉末,CMAS粉末添加至实验件表面的方式一般有两种,一是将CMAS粉末均匀涂抹在实验件表面,随后开展热循环实验,实验温度通常设置为1250℃,以保证CMAS粉末变为熔融状态,CMAS在热障涂层表面的润湿角测试即通过这种方式;另一种是将CMAS粉末添加在热冲击的火焰中,通过高温高速的火焰将CMAS喷涂在实验件表面,并进行热冲击循环实验。两种方式各有优劣,前者便于评估镍基单晶高温合金/热障涂层体系的抗CMAS腐蚀能力,后者更接近真实工作环境,便于获取镍基单晶高温合金/热障涂层体系的综合性能。本团队采用上述方法,通过静态抗CMAS腐蚀性能实验、带CMAS燃气热冲击实验以及多因素耦合实验等对镍基单晶高温合金/热障涂层体系进行了考核评价,对比分析了Y2O3⋅ZrO2热障涂层和新型热障涂层的抗热冲击性能和抗CMAS腐蚀性能,其中DD5单晶/热障涂层体系静态抗CMAS腐蚀实验后宏观形貌如图2所示,可以看出新型热障涂层抗CMAS腐蚀性能优于Y2O3⋅ZrO2热障涂层。 图2 DD5单晶高温合金试片静态抗CMAS腐蚀后宏观形貌(a)Y2O3⋅ZrO2热障涂层2个循环;(b)新型热障涂层10个循环4镍基单晶高温合金/热障涂层体系的失效机理研究表明,镍基单晶高温合金/热障涂层体系失效的主要原因是涡轮叶片工作过程中应力的产生,包括金属底层/陶瓷面层界面TGO生长应力、陶瓷面层相变应力、温度梯度分布引起的热应力、单晶基体与热障涂层热膨胀不匹配引起的热应力,其中最主要的是TGO生长应力。近些年,由CMAS侵蚀导致的镍基单晶高温合金/热障涂层体系失效越来越受到人们的重视。除此之外,单晶基体/金属底层界面的互扩散对基体性能的影响也应引起注意,在单晶合金和金属底层成分设计时加以考虑。金属底层/陶瓷面层界面的TGO层在镍基单晶高温合金/热障涂层体系制备及使用过程中均可产生,其主要成分为α-Al₂O₃。一方面,TGO层由于其致密的结构可以保护金属底层免受进一步的氧化,另一方面,涡轮叶片工作过程中TGO的过度和不均匀生长会在界面处产生巨大的应力,在高温环境下,随着金属底层中Al元素的消耗,导致Ni(Al,Cr)₂O₄尖晶石的形成,而这种快速生长的氧化物将会促进TGO层的增厚,同时使垂直于金属底层/陶瓷面层界面的外平面生长应力也随着增大,从而引起界面的开裂和陶瓷面层内裂纹的生成,这将引起失效。镍基单晶高温合金与金属底层在化学成分和相结构上存在显著差异,金属底层制备及应用过程中与单晶合金基体间会不可避免地出现互扩散行为。在高温保温后,在单晶基体/金属底层界面通常会形成元素互扩散区(IDZ)和二次扩散区(SDZ),其中IDZ是以β-NiAl相为基体,同时含有大量的TCP相,而SDZ仍然保留了合金基体中的大部分γ&#39;相以及单晶取向,但由于合金中Mo,Re,W等难熔元素溶解度的下降会导致大尺寸的针状TCP相析出。IDZ和SRZ的形成都是单晶合金表面层的γ/γ&#39;两相组织被破环的同时形成新相,导致单晶基体/金属底层界面组织失稳进而诱发金属底层失效。单晶基体/金属底层界面在热力耦合条件下,界面元素互扩散会导致单晶基体表面再结晶、界面相变、单晶γ&#39;相反常筱化等现象,造成单晶合金基体力学性能下降。CMAS对镍基单晶高温合金/热障涂层体系的影响取决于涡轮叶片的工作温度,低温时(&lt;735℃)CMAS颗粒撞击表面涂层,会引起腐蚀磨损、气膜孔堵塞和涂层局部剥落,在1200℃左右,CMAS会在涂层表面变为熔融态侵蚀涂层。高温下CMAS侵蚀热障涂层的失效机制包括热化学与热力学两方面,热化学方面CMAS会与陶瓷面层发生反应,导致陶瓷面层分解并丧失性能;在热力学方面,腐蚀产物的生成以及ZrO₂的相变会使涂层内部出现大量的体积膨胀,造成涂层内部产生拉应力,多次热循环后,导致涂层内部产生横向裂纹,造成分层剥落。本团队对航空发动机DD5单晶导向叶片热障涂层剥落开展失效分析时,发现存在CMAS侵蚀热障涂层形貌,如图3所示,表明CMAS侵蚀是导致该叶片热障涂层提前失效的原因之一。 图3 DD5单晶导向叶片热障涂层剥落区域面扫描结5结束语随着先进航空发动机涡轮进口的不断提高,涡轮叶片镍基单晶高温合金/热障涂层体系的应用研究必然受到国内外研究人员的持续关注,结合相关调研以及本团队在工程应用中遇到的问题,认为镍基单晶高温合金/热障涂层体系未来的应用研究重点应集中在以下几个方面:(1) 目前国内在镍基单晶高温合金成分设计、组织性能评价等方面已具备丰富经验,单晶合金/金属底层界面的互扩散行为及其对单晶基体力学性能的影响的应用基础研究应进一步重视,从单晶合金与金属底层成分协同设计等方面开展研究,提升单晶合金/金属底层界面匹配性。(2) 稀土改性ZrO₂和Gd₂Zr₂O₇,LaZrCeO等新型热障涂层材料可以提高陶瓷面层的耐温能力和隔热效果,已开展涡轮叶片热障涂层试制及应用,但其工作可靠性仍需进一步提升,在新型陶瓷面层材料开发时,应综合考虑材料的力学性能、热物理性能及其微观结构,使三者达到最优匹配。(3) 金属底层起到了重要的抗高温氧化和抗脱落作用,但是相比于镍基单晶高温合金和陶瓷面层而言,金属底层材料的研制和应用研究力度不足,功能梯度底层具有广阔的应用前景,需开展制备工艺优化研究;另外,在涂覆陶瓷面层前对金属底层进行后处理也可以提高其综合性能,应开展系统研究。(4) 在高代次单晶合金及新型热障涂层材料研制阶段,对镍基单晶高温合金/热障涂层体系进行考核评价,可以降低整机验证风险,考核评价的实验条件应尽可能的接近涡轮叶片工作环境,应研究构建可同时施加机械应力、高温燃气和CMAS颗粒的多因素耦合实验装置,并基于实时监测技术,综合掌握镍基单晶高温合金/热障涂层体系状态衰减及表面状态变化。声明: 本文来源于网络, 仅供交流分享, 若涉及版权等问题请留言, 我们会及时处理 来源:两机动力先行

未登录
还没有评论
课程
培训
服务
行家
VIP会员 学习计划 福利任务
下载APP
联系我们
帮助与反馈