▲图1
图1所示的模型,弹簧刚度为 ,忽略其他因素,把小车从平衡位置往右移动 ,小车由初始位移开始自由振动,它经过平衡位置后,弹簧开始压缩,直到质量块达到 ,之后小车又开始往右运动。在该系统振动过程中没有摩擦力,也没有外力作用于小车。理论上,小车的位移区间是
下面来看看数值解:
import numpy as np
import matplotlib.pyplot as plt
def main(steps, dt):
k = 3 # 弹簧刚度
x = 0.5 # 初始位移
m = 1 #质量
v1 = 0 # 初始速度
x1 = x
xxx = np.zeros(steps)
for i in range(steps):
a = -k *x1 /m # 加速度
v2 = v1 + a* dt # 下一时刻的速度
x2 = x1 + v1*dt + 0.5 * a * dt **2# 下一时刻的位移
# 上述三个公式是中学物理的公式
v1 = v2
x1 = x2
xxx[i] = x2
fig, ax = plt.subplots(1, 1, figsize=(10,6) )
ax.plot(range(steps), xxx, 'r-')
ax.set_xlabel('$t/s$',fontsize = 14)
ax.set_ylabel('$x2/m$',fontsize = 14)
fig.savefig('f46.png', dpi = 400)
plt.show()
if __name__ == "__main__":
main(200, 0.1)
▲图2
由图2可知,小车的振幅在不断增加,已经超过了理论上的 这个范围了。
▲图3
考虑图3所示的一个时间步长 。存在两个时间点 和 。粗线表示弹簧的内力。在此期间,小车正在移动,弹簧内力也随之变化。加速度与力直接相关,因此随着力的变化,加速度也会变化。然而,在同一时间段内,Python脚本使用的是 时刻的弹簧内力计算了加速度的值,并在整个时间步长内使用该值。在代码中,加速度和力在整个时间步长内保持不变。因此,数值模拟中的力不是图3所示的曲线,而是一条直线(如虚线所示)。
▲图4
实际上,物理方程描述的是一个在时间上连续的系统,而Python脚本描述的是一个具有离散时间步长的系统,图4展示了实际力(曲线)和用于数值计算的力(阶梯线)。在 附近,由于曲线趋于将阶梯线一分为二,因此数值模拟产生的误差不大。误差是两条曲线之间的面积,且曲线上下两侧的面积大致相等。在顶部和底部峰值处,计算力并不能模拟实际的力。因此,精度损失会逐渐累积。
▲图5
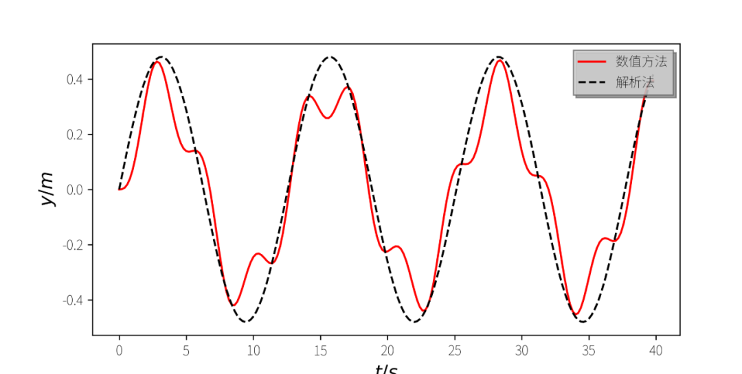
来看另一个例子。如图5所示的单自由度体系,简谐荷载 作用在质点上, 。
根据图5b的弯矩图可求得柔度系数
自振频率为
动力系数
则质点的动位移表达式
令 ,用Newmark方法求解,并和解析解对比。
import numpy as np
import matplotlib.pyplot as plt
# Newmark方法
def newmark1(steps, dt):
M = 1
K = 3
F = 1
U_0 = 0 #初始位移
V_0 = 0 #初始速度
A_0 = 0 #初始加速度
# 参数
alpha = 0.5; beta = 0.25
c0 = 1/(beta * dt**2)
c1 = alpha /(beta * dt)
c2 = 1/(beta * dt)
c3 = 1/(2*beta) - 1
c4 = alpha /beta - 1
c5 = dt * (alpha /(2*beta ) - 1)
c6 = dt * (1- alpha )
c7 = alpha * dt
# 有效刚度矩阵
KK = K + c0 * M
invKK = 1/KK
data = np.zeros( steps ) # 存储各时间步长下的位移
for i in range(steps):
H = c0 * U_0 + c2 * V_0 + c3 * A_0
F_1 = np.sin(0.5 * dt*i) * F + M * H #简谐荷载
U_1 = invKK * F_1
data[i ] = U_1
## t+dt时刻的速度和加速度
A_1 = c0 *(U_1 - U_0) - c2*V_0 -c3*A_0
V_1 = V_0 + c6* A_0 + c7* A_1
A_0 = A_1
U_0 = U_1
V_0 = V_1
time = np.zeros(steps)
data1 = np.zeros(steps)
for i in range(steps):
t = dt * i
time[i] = t
data1[i] = np.sin(0.5 * dt*i) * 1.2 * 0.4
plt.rcParams['font.sans-serif'] = ['Noto Sans SC'] # 这个字体能够支持中英文字符
plt.rcParams['axes.unicode_minus'] = False # 正常显示负号
fig, ax = plt.subplots(1, 1, figsize=(8,4) )
ax.plot(time, data, 'r-', label='数值方法')
ax.plot(time, data1, color='k', linestyle='--', label='解析法')
ax.legend(frameon=True, # 启用边框
framealpha=0.8, # 设置透明度
fancybox=False, # 边框圆角与否
shadow=True, # 是否启用阴影
facecolor='lightgrey', # 背景颜色
edgecolor='dimgrey', # 边框颜色
loc= 'upper right')
ax.set_xlabel('$t/s$',fontsize = 14)
ax.set_ylabel('$y/m$',fontsize = 14)
fig.savefig('f99.png', dpi = 300)
plt.show()
if __name__ == "__main__":
newmark1(200, 0.2)

▲图6