首页
发现
课程
培训
文章
案例
问答
需求
服务
行家
赛事
热门搜索
发布
消息
注册
|
登录
首页
/
文章
/
详情
加速信号完整性仿真!HSPICE和Verilog-A构建行为模型怎么做?
信号完整性设计
1小时前
浏览11
关注
导读:上一篇文章
新凯来“万里眼” 火了!搭配HSPICE,DDR 仿真效率直接拉满
。我向读者朋友介绍了
HSPICE中仿真DDR的一些优势。今天,我就来介绍如何在HSPICE中构建行为模型,用于项目前期的评估与验证。
在仿真工作中,一个常见的难点是往往难以获取准确的仿真模型。常常要等到模型准备就绪,才能匆忙开始仿真,而一旦设计结果不满足要求,就可能导致项目延期。真正的高手,即便没有现成的模型,也能自己创造模型。就像传说中的“扫地僧”,手中仅有一把扫帚,依旧能够独步武林。
01
PCIe标准概述
首先我们来看下PCIe 标准,标准包含三个相互依赖的规范,旨在确保不同供应商之间的SerDes 和信道之间的互操作性:
• BASE 规范定义了芯片级性能。
• CEM 规范规定了插卡连接器的最低性能。
• 测试规范设置了一致性测试的规则。
PCIe4.0和PCIe5.0高速接口有许多共同特点,比如发送端都定义了FFE,接收端都有CTLE和DFE,只是对应的系数或者配置不太一样。
02
信号完整性仿真中的带宽与模型参考
信号完整性仿真我们经常需要看系统的带宽,这个带宽是包含了发送和接收前端的电路、CTLE和FFE等均衡的整个全链路的带宽。但是通常我们拿到的是上游提供的SPICE或者IBIS-AMI模型,这代表了实际电路的行为,可以用来仿真时域性能。这些模型或者电路设计通常会比SPEC规定的情况具有更好的设计,因此可以拿SPEC规定的设计作为参考。
03
HSPICE中CTLE行为模型的构建
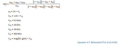
如果现在已经有通道的S参数,如何把CLTE的行为级联起来看下级联情况的通道频域响应呢。
PCIe 5.0 使用 4 极点、2 零点 CTLE 滤波器响应,协议定义了每个零极点的参数值。
在HSPICE中可以定义很多行为模型,其中E-element的零极点函数就可以用来定义PCIE或者其他高速CTLE模型:
上面的传递函数和H(s)格式和上面 CTLE 滤波器响应相互对应,可以把所有的零极点设置成参数,使用AC扫描级联系统S参数就可以得到级联通道的下响应。
还可以把E-element构建的CTLE建立成子电路,多次调用,当然也可以用于时域仿真。
除了上面的行为模型,通过一些功能组合来定义FFE、DFE、PLL等行为模型,这样就可以在项目前期快速仿真链路情况,还可以自己调节零点等均衡能力,非常方便。
04
HSPICE调用Verilog-A行为模型的应用
在缺乏完整电路模型的设计初期,还可以利用HSPICE调用Verilog-A行为模型,这已成为加速信号完整性分析的关键流程。这种方法的核心在于,使用Verilog-A精准描述通道或均衡器的频域、时域特性,并在HSPICE环境中进行系统级验证。
Verilog-A在SI建模中的关键应用
通道建模:构建包含抖动、噪声的时域通道模型。
有源电路建模:为CTLE、DFE、CDR等复杂均衡与时钟恢复电路创建高抽象级模型。
以DFE建模为例,无需等待晶体管级设计完成,即可用Verilog-A构建其数学行为。通过HSPICE仿真,我们能提前评估不同抽头数量与算法对眼图改善效果,从而在系统层面锁定最优方案,避免后期因架构问题导致的返工与延期。
05
HSPICE学习建议
当然,学习HSPICE还是需要从基础的开始学习,但是面对数千页的HELP文档无从下手,建议先研学下下面的课程,课程提供了上面类似仿真的实现细节和网表,大大缩短了数周甚至数月的学习时间成本。不仅仅对比DDR,课程还对HSPICE实现TDR、时域频域仿真、W-element建模、PDN纹波等系统的讲解了各类信号完整性问题。
对于很多朋友想从封装、PCB Layout设计转仿真,或者想从PCB仿真转系统仿真,预先善其事 必先利其器,
首先必须掌握一个电路仿真工具,才是求职的敲门砖
。
作为电路仿真的黄金标准,那HSPICE是首选
。
结合自己多年工作经验,最近花费半年时间整理了一个HSPICE仿真教程,涉及了信号和电源完整性的主要知识点,为满足目前市场主流应用,以PCIe4.0(16Gbps)和LPDDR5X(8533Mbps)为例,讲解IBIS和IBIS-AMI模型应用,包含PDN效应的系统链路仿真。
我的
《芯片-封装-PCB系统级HSPICE及WaveView信号电源完整性分析_PCIE及LPDDR仿真》
课程内容涉及多篇论文,既具有深度也有很大实际价值,感兴趣的朋友可以学习下。已经购买课程的同学问了很多DDR和SERDES仿真的问题,如DDR DBI仿真实现、CPM仿真修改PWL文件、统计仿真眼图刚开始没进入稳态等等,群里讨论氛围非常好,互相学习提升的也很快。如果你也对HSPICE仿真感兴趣,但是独自学习数千页的HELP文档很苦恼和迷茫,不仿来一块学习吧。
课程可随时回放
,可开具发票
讲师提供
vip群
知识圈答疑和模型下载
《芯片-封装-PCB系统级HSPICE及WaveView信号电源完整性分析_PCIE及LPDDR仿真》
1、为什么要购买这门课程
(1)学会软件操作与应用能力:
掌握 HSPICE 核心用法,包括基础语法、参数扫描、仿真精度控制,能独立编写网表,且学会通过 Help 文档自主解决操作问题,无需死记所有功能;学会 WaveView 工具的使用,辅助 HSPICE 仿真结果的查看与分析;掌握 ADS 与 HSPICE 的对比仿真方法,可对同一高速链路(如 PCIE4.0)进行仿真验证,多一种软件选择,提升工具适配灵活性。
(2)学习信号完整性(SI)核心技能
:理解 SI 基础原理,能完成高速信号频域分析(如插损、S 参数抽取与仿真)、时域分析(如眼图绘制、抖动分析);精通 PCIE4.0 时域眼图、频域插损等指标仿真,掌握 TX 均衡、RX CTLE、DFE 自适应均衡对仿真结果的影响;熟练完成 LPDDR5(8533Mbps)全流程仿真,包括 NT-ODT 功能应用、Per-bit DFE 仿真(网上稀缺技能);掌握 TDR 仿真(单端与差分模式)、IBIS 及 IBIS-AMI 仿真方法,能处理线性网络参数分析,解决高速 Serdes 仿真难题;学会超低误码率统计仿真,对比 FT、ME 等不同仿真模式的眼图差异与精度,能完成包含 PI 效应的统计仿真(网上罕见核心技能)
(3)掌握电源完整性(PI)核心技能:
掌握芯片、封装、PCB 整系统级别电源完整性仿真方法,而非传统简单计算 PDN;学会从 CPM 获取精准 PDN,参考三星等主流大厂经验构造 Worst case pattern,仿真电源纹波;理解 Zpdn(目标阻抗)在频域分析中的关键作用,掌握优化去耦电容(OPDleDTC/CDIE)的方法,包括电容数值、类型、位置选择,以及 Interposer eDTC 对 SI 和 PI 的改善应用。
(4)夯实理论知识与底层逻辑:
掌握 SIPI(信号与电源完整性)完整知识体系,理解傅里叶变换的时域与频域变换原理,建立扎实的理论基础,明晰仿真核心原理,如均衡技术(TX/RX 端均衡)、抖动类型(DCD、RJ、PJ)对仿真结果的影响,能透过工具表象解决实际问题,而非单纯依赖软件操作。
(5)助力职业发展与自主拓展能力:
对硬件、封装 PCB、系统仿真工程师而言,可突破仿真技术瓶颈;对想进入芯片领域的学习者,能独立仿真各类 IO 网表、研究电路行为,成为进入芯片 SIPI 相关部门的 “敲门砖”。学完课程后可自主研究其他 SIPI 相关内容,掌握 “从简单链路验证功能→应用到复杂仿真” 的学习方法,能独立拓展更多高速接口或场景的仿真。
(6)提升实战问题解决能力。
可完成包含 PI、SI 效应的 DDR 系统仿真,构造等效 PDN 网络、W-element 模型,解决实际项目中多因素耦合的仿真难题;本课程仿真方法参考三星等大厂经验,结果符合行业规范,学完后可直接应用于实际项目,助力项目一次成功。
(7)本课程还为付费用户提供VIP群进行交流
、答疑服务、持续加餐内容
、提供定制化培训和咨询服务、仿真人才库高新
内推就业
、仿真秀还提供
奖学金
、学完此课程,推荐报名参加工程仿真技术(CAE分析职业能力等级评价证书)。
2、课程大纲及主要内容
无论你是 HSPICE 零基础的新手,想搭建仿真知识框架;还是硬件、封装 PCB、系统仿真工程师,需要提升实战能力;或是理工科院校学生、EDA 领域科研人员,想为职业发展添砖加瓦 —— 这门课都能精准匹配你的需求!以下是课程大纲及主要内容:
一共十个章节,基本涵盖了信号完整性的主要方面,对于想学习信号完整性的同学来说,学完本课程,可自行研究其他内容;对于只会ADS的同学来说,多了一个软件选择;对于想进军芯片仿真的同学来说,就可以仿真各种IO网表,研究电路行为,
这是想进芯片SIPI相关部门的敲门砖
;
(1)通过三个网表了解HSPICE和WaveView基本使用;
(2)学习HSPICE的基于语法和如何参数扫描、仿真精度控制等
(3)SIPI必用的S参数:抽取S参数、查看S参数、加速S参数仿真方法等。
(4)前仿真和后仿真优化需要用到的W-element及T-element产生及使用;
(5)统计分析中:抖动仿真分析、误码率曲线(DCD、RJ、PJ等)
(6)SIPI必备技能:ADS和HSPICE如何仿真TDR(单端和差分);
(7)超低误码率仿真需要用的统计仿真分析,因为HSPICE支持很多种统计分析模型,我这里用一个网表来演示不同模式眼图差异(FT、ME等模式差异及精度对比);
(8)SIPI必备技能:IBIS及IBIS-AMI使用;这里用目前最长用的PCIe4.0接口仿真频域和时域指标,验证TX均衡、RX CTLE、DFE自适应均衡对仿真结果影响,这里用ADS和HSPCIE对比同一个链路,仿真结果基本一致,让读者同时掌握ADS和HSPICE仿真高速Serdes方法(时域眼图、频域插损等指标);
(9)SIPI必备技能:芯片、封装、PCB整了系统级别电源完整性仿真方法;
(10)相比传统通过计算简单获取PDN方法,本文介绍如何从CPM获取精准的PDN,如何构造Worst case pattern仿真纹波(参考三星等一些主流大厂的经验)。
(11)这里还会介绍傅里叶变化时域和频域变换;
(12)最后通过多个复杂的LP5(8533Mbps)网表,系统介绍如何仿真DDR系统,如何构造等效PDN网络、W-element模型,然后用一个实际的包含了PI、SI效应的网表分布进行时域、统计域仿真(多种模式),包含了PI效应的统计仿真,这在网上基本没有资料(核心技能);还介绍了LP5中NT-ODT功能使用、如何仿真Per-bit DFE,这些在网上资料很少或者没有资料。
来源:信号完整性设计
登录后免费查看全文
立即登录
电源
电路
信号完整性
半导体
系统仿真
ADS
芯片
理论
HSPICE
著作权归作者所有,欢迎分享,未经许可,不得转载
首次发布时间:2025-11-10
最近编辑:1小时前
信号完整性设计
硕士
|
资深SIPI工程...
专注高速高频信号完整性
关注
获赞 16
粉丝 38
文章 28
课程 1
点赞
收藏
0/200
清空
提交
还没有评论
课程
培训
服务
行家
基于HFSS、ADS微带滤波器仿真与设计37讲:获得微带滤波器仿真分析与建模技巧方法
ABAQUS圆形基坑开挖——墙支护
ALIAS汽车设计职业培训班-汽车A面从入门到精通(提高班-持续加餐更新)
有问必答第2期-无主题自由问答专场【直播回放】
相关推荐
硬件工程师入门的九大关卡
芯片-封装-PCB系统级HSPICE及WaveView信号电源完整性分析_PCIE及LPDDR仿真
基于ADS信号SI和电源PI完整性精选36讲:反射、串扰、高速串行仿真训练
半个射频工程师:信号完整性基础之-S参数难点解析
最新文章
发布经典书籍《船舶的噪声与振动控制》中文版
蜂窝夹芯结构脱胶损伤?ANSYS数值模拟的工程实操指南
导师不会告诉你的真相:会仿真的人毕业起薪高37%
蜂窝夹芯结构脱胶损伤?ANSYS数值模拟的工程实操指南
双非土木本科,凭借这份实习证明,我成功挤进新能源巨头
热门文章
通用/泛亚/蔚来/弗迪/上海电驱动等百位新能源专家确认发言,易贸三电活动6月苏州见
湍流与涡流的区别
Fluent湍流模型中壁面函数选择建议
涡破碎过程中的涡核内拟序结构
SRS模型|05 数值设置
其他人都在看
发布GridPro v9.0中文用户手册
发布GSP API 12 中文用户手册和GSP UM 12中文用户手册
发布KILI16.1全套中文帮助文档教程
承压设备焊接技术(7)||常用焊接方法-堆焊!
日本压力容器标准||《JIS B8265:2024压力容器构造 - 一般事项》标准!
VIP会员
学习计划
福利任务
下载APP
联系我们
微信客服
联系客服
人工服务时间为周一至周五的9:30-19:30
非工作时间请在微信客服留言
客服热线:
4000-969-010
邮箱:
service@fangzhenxiu.com
地址:
北京市朝阳区莱锦创意园CN08座
帮助与反馈
返回顶部