

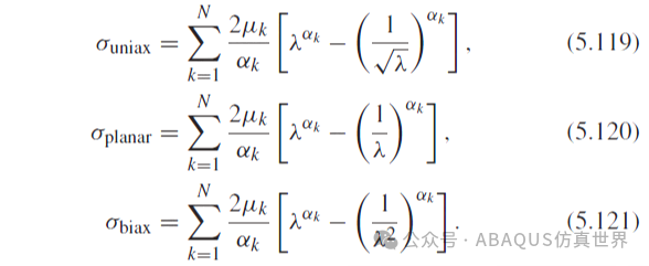
不可压缩的Ogden模型在单轴加载、平面加载和双轴加载情况下的应力表达式分别为:

值得注意的是,如果N = 1且α₂ = 1,那么Ogden模型就等同于NH模型。

Figure 5.21: Treloar实验数据与三项Ogden模型预测的比较
Ogden模型预测弹性体行为的准确性在图5.21中通过与Treloar [16] 的硫化天然橡胶实验数据的比较进行了展示。图中显示,在这种情况下,3项Ogden模型比NH模型和Mooney-Rivlin模型更准确,但不如Yeoh模型或EC模型准确。
对于不可压缩单轴加载,Ogden材料模型可以使用以下Matlab代码实现:
function[stress] = mat_Ogden(time, strain, params)
%mat_Ogden Ogden超弹性模型
%不可压缩单轴加载
%该函数使用真实应力和应变
mu = params(1:2:end);
alpha = params(2:2:end);
lambda = exp(strain);
fori = 1 : length(lambda)
stress(i) = sum(2*mu./alpha .* (lambda(i).^alpha - ...
1./(lambda(i).^(alpha/2))));
end
end对于不可压缩单轴加载,Ogden材料模型也可以使用以下Python代码实现:
from pylab import *
from Polymer_Mechanics_Chap05 import *
defOgden(trueStrain, muVec, alphaVec):
"""Ogden模型。不可压缩单轴加载。
返回真实应力。"""
lam = exp(trueStrain)
res = 0
for i inrange(len(muVec)):
mu = muVec[i]
alpha = alphaVec[i]
res = res + 2*mu/alpha * (lam**alpha - (1/sqrt(lam))**alpha)
return res
trueStrain = linspace(0, 0.8, 100)
trueStress = Ogden(trueStrain, [1.0, 3.0], [3.0, 0.4])
plot(trueStrain, trueStress, 'r-')
xlabel('True Strain')
ylabel('True Stress (MPa)')
grid('on')
show()以下代码示例展示了一种实现可压缩单轴加载的Ogden材料模型的方法。
defOgden_3D(stretch, param):
"""
Ogden模型。3D加载由stretch指定。
param: [mu1, mu2, ..., alpha1, alpha2, kappa]。
返回真实应力。
"""
J = stretch[0] * stretch[1] * stretch[2]
lam = J**(-1/3) * stretch
N = round((len(param)-1)/2)
mu = param[0:N]
alpha = param[N:2*N]
kappa = param[-1]
Stress = kappa*(J-1)*eye(3)
for i inrange(N):
fac = (2/J) * mu[i] / alpha[i]
tmp = (lam[0]**alpha[i]+lam[1]**alpha[i]+lam[2]**alpha[i])/3
Stress[0,0] = Stress[0,0] + fac * (lam[0]**alpha[i] - tmp)
Stress[1,1] = Stress[1,1] + fac * (lam[1]**alpha[i] - tmp)
Stress[2,2] = Stress[2,2] + fac * (lam[2]**alpha[i] - tmp)
return StressPython代码:"Ogden_compressible_uniaxial.py"
from pylab import *
from Polymer_Mechanics_Chap05 import *
param = [1.0, 2.0, 1.1, 0.4, 100.0]
trueStrain = linspace(0, 0.8, 5)
trueStress = uniaxial_stress(Ogden_3D, trueStrain, param)
plot(trueStrain, trueStress, 'b-')
xlabel('真实应变')
ylabel('真实应力 (MPa)')
grid('on')
show()Python代码生成的图表:
