以Buck电路为例,由于寄生参数的影响,实际Buck电路的输出电压并非是稳定干净的流电压,而是在直流电压上叠加了输出电压纹波和噪声,如图1所示。

图1. Buck 输出电压纹波和噪声
实际输出电压纹波由电感电流与输出阻抗决定,由三部分组成,如图2 所示。
电感电流纹波通过输出电容的寄生电阻ESR形成的压降
输出电容的充放电
寄生电感引起的电压突变

图2. 输出电压纹波的组成
不同类型的输出电容,寄生参数的大小不同,三部分纹波所占的比例也有所不同。因此,使用不同类型的输出电容会得到不同波形的电压纹波。如图3所示,电解电容的ESR较大,纹波由ESR主导,波形与电感电流纹波形状类似。陶瓷电容的ESR和ESL都很小,主要由电容的充放电主导,纹波类似电容的充放电曲线。OSCON电容三者的影响都体现在纹波中。

图3. 不同类型输出电容的电压纹波
在测量输出电压纹波时,要注意如下几点,正确方式如图4所示。
保证接地环路尽可能小,建议使用接地环
探头应靠近电容两侧
避免同时使用示波器其他通道测试其他点位的波形
如果只关注开关频率分量纹波,建议打开示波器带宽限制
如图5所示,左侧波形同时测量开关节点和输出电压纹波,带宽限制关闭。可以看到,输出电压纹波中的噪声较大,影响纹波的测量。

图4. 输出电压纹波测试方式

图5. 输出电压纹波测试对比
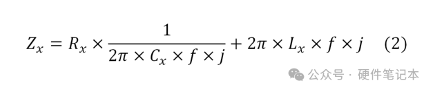
由以上分析可知,输出电压纹波由电感纹波电流和输出电容阻抗决定(式1)。

因此,要降低输出电压纹波可以通过降低电感电流纹波或者降低输出电容阻抗。当输入输出电压和负载一定时,电感电流的纹波跟开关频率和电感量成反比。增加电感量或者开关频率可以有效降低输出电压的纹波,但开关频率和电感往往受到电路效率和体积等的限制。
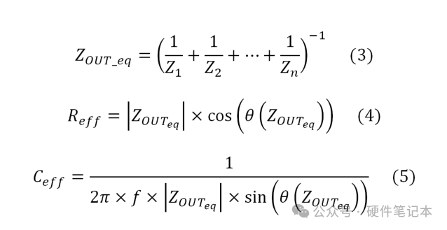
当开关频率和电感值一定时, 抑制纹波电压最有效的方式是减小输出电容在开关频率处的输出阻抗。在实际应用场景中,通常会并联多种不同的输出电容来获得足够的容量并降低输出电压纹波,如图6所示。由式(2)-(5)可以计算得到输出电容的总阻抗以及等效的电阻和电容。若已知Buck电路的开关频率,通过式(3)可得到开关频率处的阻抗,也就可以得到输出电压纹波。但是,当输出电容数量较多时,计算会变得很复杂。简单有效的方式可以借助Excel 工具,如图6所示。

图6. 多个输出电容并联



图7. 输出电压纹波计算工具
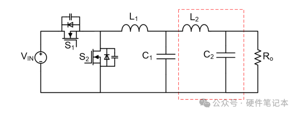
若选择合适的电容仍然无法满足纹波的要求,可以增加第二级LC 滤波器来进一步降低输出电压纹波, 如图8所示。
图8. Buck 电路第二级LC滤波器
第二级LC滤波器提供额外的增益衰减,但同时高品质因素Q值也会导致相位裕度降低,甚至导致环路稳定性问题,如图9所示。为保证环路稳定,可以在L2两端增加damp电阻,降低Q值。图10以TI电源模块LMZ23601为例 (Vin = 24V, Vout = 5V, Fsw = 750kHz, Iout = 1A),在输出端增加160nH 电感, 3X22uF 电容, 250mΩ damp电阻,输出电压纹波<1mV。

图9. Buck两级滤波波特图

图10. LMZM23601 两级滤波

图11. LMZ23601 两级滤波输出电压纹波
综上所述,理解输出电压纹波的形成原理,根据实际应用要求,针对性地优化电感值、开关频率以及输出电容,可有效降低输出电压纹波,满足应用需求。
02
高频噪声分量的来源和抑制
1:输出电压噪声
输出电压波形中除了开关频率分量的纹波以外,还存在高频噪声分量,如图1所示。高频噪声是如何形成的呢?主要是由电路中的寄生参数造成的。在实际电路中,PCB走线存在寄生电感和电阻,输入输出电容会引入寄生电感和电阻,两个不同电位的平面之间会形成寄生电容。以Buck电路为例,上下管切换的瞬间,输入回路中的寄生电感与开关管的输出电容谐振。因此,开关节点SW在上升和下降沿会产生高频振荡,且寄生参数越大,振荡的幅度也越大,甚至损坏开关管。该高频振荡会通过SW节点与输出VOUT之间的寄生电容耦合到输出电压,也就是输出电压中的高频噪声。

图1. Buck电路的寄生参数
2:输出电压噪声的抑制
了解高频噪声的来源和耦合途径,可以帮助我们有针对性地抑制输出电压噪声。下面分别介绍如何通过噪声源和耦合途径来抑制输出电压噪声。
针对噪声源,有如下几种抑制方法:
PCB布板时尽量减小输入高di/dt回路
Buck电路的输入回路由输入电容CIN, 上管HS和下管LS组成。HS和LS的开关动作导致输入环路电流的非连续性,引起SW电压的振荡。输入环路越大,振荡越严重,开关管的电压应力越大。将输入电容尽可能靠近HS和LS,保证输入环路尽最小,可有效降低开关节点SW的振荡,如图2所示。

图2. 输入电容位置对输出电压噪声的影响
2.使用TI HotRod 封装产品
HotRod 封装技术将芯片内部的die倒置,通过铜柱直接连接die 和lead frame,消除了使用wire bond引入的寄生电感,减小SW节点的振荡,例如LMR33630。另外,如图4所示,HotRod封装有两个电源VIN引脚和两个接地GND引脚,分别位于封装的两端。这种引脚分配可以减少VIN和GND回路造成的寄生环路电感。如果在器件的两边都有对称布局的输入电容,等效寄生回路电感则会减半(两个相等的并联电感)。这可以有效地减少高的di/dt 产生的噪声,相当于高频滤波。

图3. TI Hotrod 封装技术

图4. LMR33630 对称输入降低
3.使用TI电源模块产品
由于Layout的限制,输入电容无法无限靠近Buck 芯片。TI的电源模块产品集成高频输入电容和电感,进一步减小输入回路和SW节点的面积,降低噪声,如图5所示。

图5. TI电源模块产品
针对耦合途径,有如下几种抑制方法:
选择寄生电容较小的电感
理想电感对高频噪声呈现很大的阻抗,因此输出电压中的噪声很小。但是,实际电感存在寄生电容,噪声会通过耦合电容,耦合到输出电压。因此,选择耦合电容较小的电感,在一定程度上可抑制输出电压噪声。

图6.噪声耦合途径
2.并联高频滤波电容
直观地理解,输出电压噪声等于SW噪声在输出电容阻抗和输出电感阻抗的分压。也就是说,输出电容在噪声频率处的阻抗越小,耦合到输出的噪声就越小。但是,多个电容并联后,输出电容的阻抗曲线会存在多个谐振点。如图7所示,增加高频电容后,在谐振点处,阻抗最小; 谐振点之前,阻抗变大; 谐振点之后,阻抗变小。因此,并非增加高频电容就一定能减小输出噪声。噪声频率位于谐振点处,输出噪声最小。如图8所示,增加220pF的电容,电压噪声反而增加了。因此,选择合适的输出电容至关重要。

图7.输出并联高频滤波电容的阻抗特性

图8. 不同电容对输出电压噪声的影响
综上所述,理解输出电压噪声的形成原理,根据实际应用要求,选择先进的封装技术/电源模块产品、优化PCB布局、增加滤波电容可有效降低输出电压噪声,满足应用需求。
声明: