首页/文章/ 详情

德国标准FKM中塑性缺口系数的感悟!以算代评的错误理念!仿真技术应该与国际接轨!

15天前浏览30
1      
       

以算代评的错误理念   


   

     
     

     

仿真分析通过计算方式评价结构。

狭义的仿真是数值计算过程。但广义的仿真,除了计算过程,还包含评价过程。

大部分仿真工程师或仿真学习者把注意力都放在了计算过程,强调软件操作,甚至深入到软件算法研究。对评定过程严重缺乏关注

     

计算的最终目的是评价,计算不是评价,也替代不了评价。评价也是一门技术活。

     

     
     
2      
       

为什么要学习德国FKM    


   

     
     

     

毋庸置疑。德国是机械强国,德国强度规范FKM是国际上普遍认可的权威规范和指南。

上个月,我给兄弟们系统介绍了VDI2230,这是螺栓分析界最负盛名的规范,同样来自德国。

     

这个月,我计划给兄弟们系统介绍FKM指南,这是钢制、铸铁制、铝合金制机械产品的强度评价‘圣经’。

     

对于已经熟练操作软件的兄弟来说,急需这样的规范和指南,来提高评价能力。

其实学过评价方法的兄弟都知道,评价过程比计算过程更难学,更考验能力。因为计算靠软件,评价得靠自己。

只算不评,其实就是过家家,搞假的,糊弄人的。能算能评,才是真正发挥仿真价值的工程师。

3      
       

塑性缺口系数


   

     
     

     

在FKM的第一章(名义应力法)和第三章(局部应力法)都有塑性缺口系数的概念。

定义是一样的:

     

但细节上大不同。

在第一章中,有图表可查:

     


1)塑性缺口系数与截面形状有关;

2)塑性缺口系数与工况类型有关;

名义应力法的核心是不考虑应力集中,这种方法虽然简单(材料力学公式),但应用场景很受限,比如只适用于塑性材料,因为脆性材料对应力集中更敏感。

在第三章,没有图表可查。这就意味着必须计算,很显然,仿真工具是最好的计算工具。

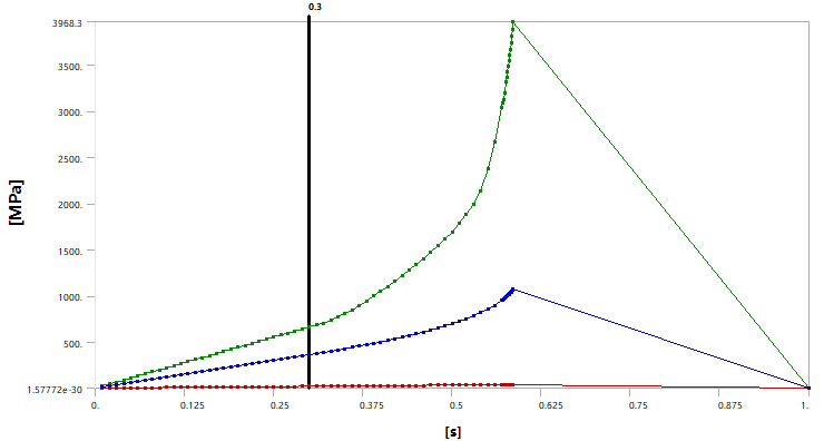
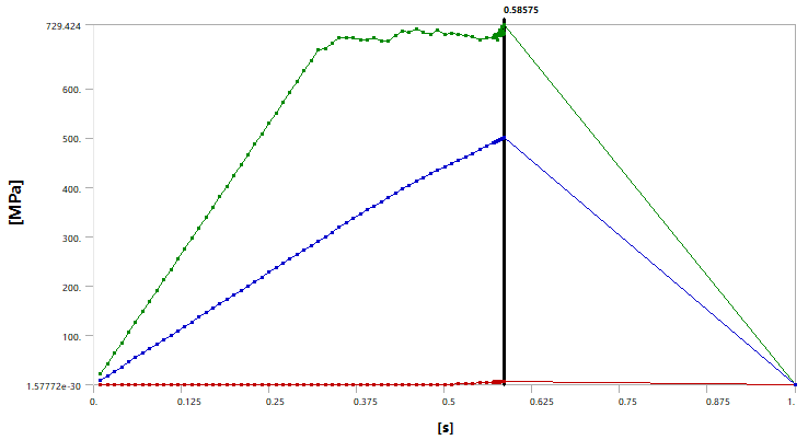
在FKM某官方案例中,展示了Kp=1.95,但没有展示计算过程。问题就来了,你会不会算?

     

我上次直播,展示了仿真计算方法。

0.58575/0.3=1.9525

     
      
4      
       

关于博集华仿不卖课的解释  


   

     
     

     

博集华仿在结构仿真赛道建立自己的名声,以专业度高著称。已经成长为这个赛道的知名公司。前段时间宣布不卖课程。其实是下下策。

以强度评定德国FKM课程来说,合计七场免费直播。按照以前,我们会把这七场录播做成一个低价引流课,第一天的价格是19.9元。按照我们之前的经验,这种课程销量能达到150个,我们能获利3000元。

但现在不卖了。换言之,我们赚不到这3000元了,同时有150个人想买想学但买不了学不了。两败俱伤。

这是为什么呢?

因为前几天有个大聪明,买了正版小课,然后听说闲 鱼上有盗版,然后吵着要退课,然后去买盗版。

结果呢?盗版是假的,是我们合作单位放出去扰乱市场的。正版的要退,盗版的也看不了。搞出这个局面。我都不知道该怎么评价这事。

所以博集华仿决定:不再出售任何单个课程,如果想学仿真,就成为博集华仿的会员,我们给您匹配课程,给您制定学习规划。换言之,我们只服务会员。

会员价格当然远高于这些19.9,29.9的小课。那个花小钱学知识的时代永远不存在了。就是因为这个大聪明的小聪明过头了。

很多兄弟以为买盗版是聪明的表现。其实这种小聪明只能欺负欺负老实人(所有的小聪明都是在伤害老实人而已)。在我们培训赛道,讲师也有反击盗版的小聪明。

第一,讲师往课程内大量灌水,被盗版也无所谓。大家看到的水课就是这么来的。讲师故意灌水,其实不道德,但买盗版也不道德。半斤八两。

第二,讲师提供客单价。必须付出更多的钱才能学到真正的干货。往课程灌水不符合我的性格,所以我选择了会员制,其实就是提高了客单价。

看过我课程的兄弟,问一问自己,我王建算不算老老实实教技术的?如果算老实,那是不是被小聪明们伤害了?所以小聪明只是在伤害老实人而已。

我相信你们也买到过其他同行的水课和垃圾课。不要觉得不公平,因为这不是讲师的本意。

我现在提高客单价,学到技术的人少了,这也不是我的本意。

但事情的发展就是这样,这是社会规律。不适用不行。


来源:博集华仿
FKMVDI2230材料螺栓
著作权归作者所有,欢迎分享,未经许可,不得转载
首次发布时间:2025-11-08
最近编辑:15天前
博集华仿
硕士 致力于推广工程仿真技术
获赞 442粉丝 811文章 722课程 6
点赞
收藏
作者推荐
未登录
还没有评论
课程
培训
服务
行家
VIP会员 学习计划 福利任务
下载APP
联系我们
帮助与反馈