首页/文章/ 详情

最常见的疲劳评定-无限寿命设计

3小时前浏览12
1      
       

材料级别与零件级别    


   

     
     

     

众所周知,疲劳数据分为材料级别与零件级别。这是疲劳评定的最基本认知,

设材料级别的正应力与切应力的疲劳极限为:

     

     

设零件级别的正应力与切应力的疲劳极限为:

     


疲劳强度降低系数

     
     

根据笔者前作《关于疲劳分析,如果只能推荐一本资料!那我只推荐这本》,疲劳强度降低系数由因素1/2/3综合决定

     

因素4在材料级别表征为平均应力影响系数

      
2      
       

单轴应力   


   

     
     

     
     

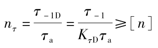
对于对称循环,即应力比为-1,平均应力为0,无需考虑平均应力影响系数。

疲劳强度安全系数

     
     


对于应力比恒定的非对称循环

     
     

疲劳强度安全系数

     


对于平均应力恒定的非对称循环

     

     
     

疲劳强度安全系数

     


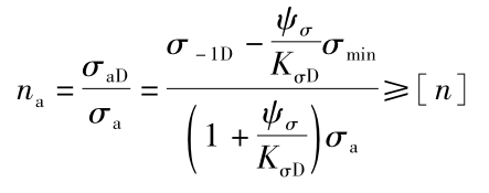
对于最小应力恒定的非对称循环疲劳强度安全系数

     


3      
       

多轴应力     


   

     
     

     

敬请关注本号,下文详解。



来源:博集华仿
疲劳材料机器人
著作权归作者所有,欢迎分享,未经许可,不得转载
首次发布时间:2025-11-09
最近编辑:3小时前
博集华仿
硕士 致力于推广工程仿真技术
获赞 442粉丝 802文章 715课程 6
点赞
收藏
作者推荐
未登录
还没有评论
课程
培训
服务
行家
VIP会员 学习计划 福利任务
下载APP
联系我们
帮助与反馈