首页/文章/ 详情

疲劳评定案例实战!传统与仿真强强联合!

3小时前浏览11
1      
       

疲劳数据     


   

     
     

     

通过查表,已知疲劳数据如下:

     

直径10mm,光滑轴疲劳极限为327MPa;

直径135mm,尺寸修正后,光滑轴疲劳极限为200MPa;

直径135mm,缺口修正后,缺口轴疲劳极限为106MPa;

200/327=0.61;200/106=1.9


327MPa为材料级别的正应力疲劳极限,考虑尺寸效应和缺口效应,106MPa为零件级别的正应力疲劳极限

由于缺乏切应力疲劳极限,假设材料级别的切应力疲劳极限为189Mpa,零件级别的切应力疲劳极限为53MPa

2      
       

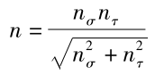
对称循环          


   

     
     

     

疲劳强度安全系数:

     

复合安全系数:

     
3      
       

仿真案例实战 


   

     
     

     

假设弯矩导致的名义应力幅为51MPa;扭矩导致的名义应力幅为10.2MPa。

     
     


正应力安全系数:

106/51=2.08

切应力安全系数:

53/10.2=5.2

复合安全系数:

2.08*5.2/5.6=1.93

4      
       

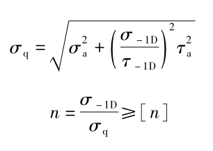
双轴应力疲劳评定


   

     
     

     

弯扭复合应力下,也可以按照双轴应力计算疲劳强度安全系数:

     

n=106/54.96=1.93


在本例中,零件的正应力疲劳极限与切应力疲劳极限之比恰好为2,恰好适用第三强度准则。

     
     


5      
       

核心总结  


   

     
     

     

以上疲劳评定均采用名义应力,所以使用了梁单元。现在一起来研究一下实体单元能否完成疲劳评定。

     


1)实体单元方案存在应力集中,由于仿真分析的应力集中与疲劳缺口系数存在本质不同,所以无法使用实体单元完成疲劳评定。

2)必须经过特定研究,即对仿真软件进行特定的二次开发,才有可能在疲劳评定中直接采用仿真得到的局部应力,否则都是瞎搞。

3)零部件各位置,由于疲劳缺口系数不同,疲劳很难一次完成全场评定。所以经常看见的疲劳损伤全场云图有什么意义呢?

简言之,市面上90%的疲劳评定仿真案例,疲劳评定仿真教学,都处于瞎搞阶段。

风气很不好,以己之昏昏,焉能使人昭昭。

来源:博集华仿
疲劳二次开发材料机器人
著作权归作者所有,欢迎分享,未经许可,不得转载
首次发布时间:2025-11-09
最近编辑:3小时前
博集华仿
硕士 致力于推广工程仿真技术
获赞 442粉丝 802文章 715课程 6
点赞
收藏
作者推荐
未登录
还没有评论
课程
培训
服务
行家
VIP会员 学习计划 福利任务
下载APP
联系我们
帮助与反馈