首页/文章/ 详情

多轴应力的疲劳评定

22天前浏览28
1      
       

前作回顾    


   

     
     

     

前作《最常见的疲劳评定-无限寿命设计》,重点介绍了单轴应力下的疲劳评定。

本文介绍,多轴应力下的疲劳评定。

图片

      
2      
       

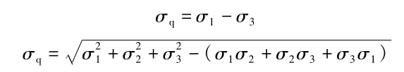
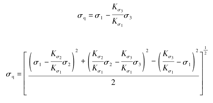
双轴应力          


   

     
     

     

对称循环,即不考虑平均应力影响。

     
     


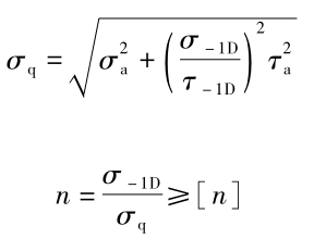
非对称循环(应力比不变),即考虑平均应力影响。

     
     
3      
       

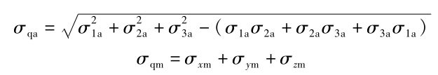
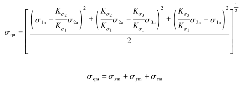
三轴应力   


   

     
     

     

对称循环。

     
或      
     

     

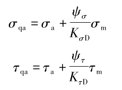
非对称循环。

     
或      
     
4      
       

核心总结  


   

     
     

     

多轴应力疲劳评定的核心观念是把多轴应力转化为当量应力或等效应力,从而可以复用单轴应力的评定公式。这和静强度评定思想是一致的。

以上公式均采用名义应力。

来源:博集华仿
疲劳机器人
著作权归作者所有,欢迎分享,未经许可,不得转载
首次发布时间:2025-11-09
最近编辑:22天前
博集华仿
硕士 致力于推广工程仿真技术
获赞 442粉丝 816文章 726课程 6
点赞
收藏
作者推荐
未登录
还没有评论
课程
培训
服务
行家
VIP会员 学习计划 福利任务
下载APP
联系我们
帮助与反馈