首页/文章/ 详情

学习笔记:惯性释放分析方法简述

10小时前浏览1
有限元的静态分析,假设被分析的模型中没有自由机构,并且没有刚体运动。如果在常规的有限元分析中,这两种情况中任何一个存在,模型的刚度矩阵就成为一个奇异矩阵而无法求逆。所以,常规的静态有限元方法不能分析没有被完全约束的结构,例如,飞机和汽车。

在真实的世界中,由于地球的引力(也就是物体自身的重力),当它们受到来自气流或道面的垂向载荷后产生垂向加速度和运动。当这些瞬间的载荷过去之后,飞机或汽车的重力会自然地将它们带回平衡状态,汽车也不会飞上天。但是在有限元的静力分析中,施加的载荷是常力,由于不考虑系统的瞬态响应和重力平衡作用,所以在无约束的自由度上(例如汽车的竖直方向),物体会“飞”走。这就是非完全约束结构有限元静态分析无解的物理解释。

惯性释放法是用于求解此类非完全约束结构静态解的分析方法。

惯性释放是将外力在结构未约束的自由度上产生的(质量)惯性力,作为输入反向加入受力的结构,以平衡导致结构产生刚体运动加速度的外力,使结构在没有完全约束的情况下达到静态平衡。这种把外力在结构未约束的自由度上产生刚体运动的惯性力移除的方法被称为惯性释放。这种用静态方法求解非完全约束结构的分析方法也称为准静态方法。下面简要介绍惯性释放方法。

假设一个系统在未移出约束自由度情况下的运动方程为

Ku=P
其中K为刚度矩阵;u为位移向量;P为外力向量。

首先,必须补充定义一组必要的、不产生重复约束的自由度,完整描述系统中那些可能的未约束的刚体运动,或自由机构的运动。在NASTRAN中,这些约束自由度被称为SUPORT。

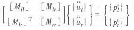
将这组补充定义的约束自由度作为方程解中的参考自由度系列(或称r系列)。假定整个方程的全部自由度系列,减去r系列自由度所剩下的自由度系列为l系列。方程按照r系列自由度和l系列自由度分解为

式中Kll为非奇异矩阵。

如果在l系列的自由度上无外力作用,系统没有相对r系列自由度的变形,存在方程

于是,可以得到用r系列自由度的位移表示的l系列自由度的位移为

式中

如果等于矩阵中的第一列。如果,等于矩阵中的第二列。如此类推。用矩阵中的一列所代表的变形,来表示系统的一种状态,是这个系统的一个约束模态。每一个约束模态对应一个约束自由度,代表系统在该自由度有一个单位的位移,而其他所有自由度无位移(位移为零)。约束模态的数量没有限制,取决于系统有多少约束自由度。系统有多少个约束自由度,就有多少个约束模态。约東模态是一种类比振动模态引人的静态模态。

因此,矩阵实质上表达了当r系列自由度做单位位移时,l系列自由度做刚体运动的所有状态。它是刚体运动的变换矩阵。

方程是自由机构运动或刚体运动的约束方程。

使用矩阵,整个系统的刚体运动可以用r系列自由度来表达

式中I为单位矩阵,并且

将方程插人方程Ku=P并且在方程两边同乘矩阵

进一步可得

其中:

将矩阵的关系式代入后上式的第四项并且简化,可以和第二项相加为零。上式进而变成

这样,系统被压缩成r系列自由度的坐标。

用与方程相同的方法,被压缩到r

系列自由度的坐标 u,后的质量矩阵为

与刚度矩阵[K]分解相同,质量矩阵[M]可以按r系列自由度和系列自由度分

解为

在r系列自由度上刚体运动或自由机构运动的加速度为

或者为

用式,可以得到在l系列自由度上刚体运动或自由机构运动的加速度为

由刚体运动引起的系统的惯性力为

式中分别为对应系列自由度和r系列自由度的惯性力。在I系列自由度上的惯性力由上式给出

使用关系方程和方程,上述方程可以写成

这部分惯性力被反向施加在系统上,以平衡引起刚体运动的那部分外力。这样系统便达到静态的平衡。因为系统并没有被约束,刚体 位移仍然是可能的。约束所有r系列自由度的位移为零,即

,就可以用以下针对l系列自由度的运动方程,计算所有其他节点相对于r系列自由度节点的相对运动

上述方程的解是相对于发生的刚体运动。可以用一种简单的方式想象这个解的含意就是一个人站在r系列自由度的点(参考点)上看到的其他各点相对参考点的位移。例如,一架飞机可以自由飞行。飞机受气流浮力的作用力可以自由浮动,飞机结构也会发生变形。惯性释放法的解相当于人站在飞机上看到的结构相对于他的相对位移。一旦获得了结构的相对位移u,结构的应力就可以进一步计算获得。

图片

【免责声明】本文来自学习笔记,版权归原作者所有,仅用于学习等,对文中观点判断均保持中立,若您认为文中来源标注与事实不符,若有涉及版权等请告知,将及时修订删除,谢谢大家的关注。
   


来源:CAE之家
OptiStructNastranAbaqus振动汽车理论
著作权归作者所有,欢迎分享,未经许可,不得转载
首次发布时间:2025-10-01
最近编辑:10小时前
CAE之家
硕士 | CAE仿真负责人 个人著作《汽车NVH一本通》
获赞 1257粉丝 7325文章 1190课程 24
点赞
收藏
作者推荐
未登录
还没有评论
课程
培训
服务
行家
VIP会员 学习计划 福利任务
下载APP
联系我们
帮助与反馈