比吸收率(SAR,Specific Absorption Ratio)是一个衡量单位时间内单位质量的物质吸收的电磁辐射能量的指标。IEEE C95.1标准有两个不同版本应对不同场景的应用。
As shown below👇
两个标准的区别
这两个标准分别来自IEEE C95.1标准的不同版本:
IEEE C95.1-1999使用了1 g平均质量的标准,
IEEE C95.1-2005(及其后续版本)引入了10 g平均质量的标准。
1 g标准:在IEEE C95.1-1999中,SAR是在 1g 组织体积内平均的。这意味着在评估SAR时,关注的是非常小体积的组织内电磁能量的吸收情况。
这个标准通常用于评估高频(如手机辐射)对局部组织的潜在影响。
10 g标准:在IEEE C95.1-2005及后续版本中,SAR的测量是在 10g 组织体积内平均的。这个较大的平均区域可以减少由于组织不均匀性导致的测量误差,并可能更好地反映较大区域内电磁能量的整体吸收情况。
这个标准通常用于评估较低频率的电磁辐射,如基站或无线网络的辐射。

这两个标准并不能换算的,而是定义了不同的测量和评估SAR的方法。
因为这两个标准是基于不同的组织质量平均区域,因此它们之间不能直接进行“换算”。不能简单地将一个标准下的SAR值转换为另一个标准下的SAR值,因为这两个值是在不同的物理条件下测得的。
可以通过测量或模拟来同时获得两个标准下的SAR值,并比较它们之间的差异。可帮助了解不同标准下电磁辐射对组织的影响程度。
在实际应用中,选择哪个标准取决于具体的评估目的、电磁辐射的频率以及相关的法规要求。
例如,某些国家或地区可能要求使用更严格的1 g标准来评估手机辐射的安全性,而其他情况下则可能使用10 g标准。
SAR定义与意义
定义:SAR指单位时间内单位质量的物质(如人体组织)所吸收或消耗的电磁辐射能量,单位是W/kg。它是衡量电磁辐射对人体影响的一个重要参数。
意义:SAR值用于评估无线通信设备(如手机)在使用过程中对人体辐射的影响。SAR值越低,表示单位时间内单位质量的物质吸收的电磁辐射能量越少,对人体的潜在影响也越小。
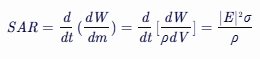
SAR的计算公式涉及电场强度、被激励物体电导率和密度等参数,具体为:

其中:
E:激励源在空间产生的电场强度(V/m)
σ:被激励物体电导率(S/m)
ρ:被激励物体密度(kg/m³)
1. IEEE Std C95.1-2005 (Revision of IEEE Std C95.1-1991) 1 (2006).
2. 1, 1999 Edition IEEE Std C95 1 (1999).
3. IEEE Std C95.1-1991 1 (1992).
