在微波频段,无法直接测量电压和电流。常用引入电压波和电流波的方式,借用低频电路成熟的分析方法,来描述微波频段的各种网络概念。
As shown below👇
N元阵本征模去耦匹配网络
去耦网络是消除紧凑天线阵端口间耦合的一类重要方法,它不涉及对天线辐射部分的修改,仅通过后级级联网络就能够调整不同端口馈电后的阵列方向图,进而提高端口间的隔离度。

去耦网络分为:
1、产生对称端口方向图的共轭去耦网络,
2、产生本征模方向图的本征模去耦网络。
传统的本征模去耦网络,以 180°环形耦合器、分支线耦合器为组成模块,理论分析较为简单。而适用于二元阵的环形四端口去耦网络,理论推导较难。
N 元阵列的本征模及其去耦网络特性
当天线阵中存在耦合时,端口馈入的能量被辐射和以热的形式损耗,余下的能量被反射回源。端口能量的入射、反射情况可以通过散射参数来描述。
当天线阵以其散射矩阵的某一特征向量的非零倍数作为入射电压波激励时,其各端口的反射系数均为该特征向量对应的特征值。从而反射电压波、端口压流也是该特征向量的倍数。此时称天线阵工作于本征模(eigenmode)。

设 N 元耦合天线阵的散射矩阵为SA,其归一化电压入射波aA是 N 维列向量,它
的第 n 个元素就是第 n 个端口的归一化电压入射波(其中 n=1, 2, ..., N )。类似地,这里设bA是阵列的归一化电压反射波。由散射矩阵的定义式有

求解方程 det(SA-λI) =0 ,可以得出 N 维矩阵SA的特征值λk ,及其相应的归一化特征向量xk (其中 k=1, 2, ..., N),它们之间有

当天线阵的归一化入射电压波aA是散射矩阵SA的第 k 个特征向量的倍数时,即

天线阵工作于第 k 个本征模。
进一步的,可以证明,天线的阻抗、导纳、散射矩阵的特征向量是一致的。天线工作于某一特征向量对应的本征模时,各个端口反射系数相同,是散射矩阵对应于该特征向量的特征值;各个端口的阻抗相同,是阻抗矩阵对应于该特征向量的特征值。端口阻抗和反射系数满足单端口情况下的关系式,各个端口相当于独立工作。
二元阵本征模去耦网络的实现形式
二元阵的散射参数矩阵是对称的,形如

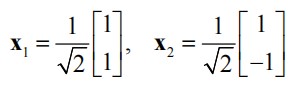
容易得到其特征值为

对应的归一化特征向量分别为

天线阵工作于特征向量x1 对应的模式时,两个端口的馈电等幅同相,这里称作偶模;工作于特征向量x2对应的模式时,两个端口的馈电等幅反相,称作奇模。
二元阵的本征模去耦网络是一个四端口网络,内部端口 3、4 分别连接至天线阵的两个端口上。要求去耦网络的外部端口 1、2 分别馈电时,天线阵的激励分别为特征向量x1 和x2的若干倍,即使天线阵分别工作于偶模和奇模。
去耦网络散射矩阵应满足:See^D 是二元对角矩阵,Sii^D 是对称矩阵。Sie^D 的第 1、2列分别是x1 和x2的若干倍;Sei^D 是 Sie^D 的转置。所以它具备如下形式


[1]张驰.紧凑天线阵的去耦技术[D].西安电子科技大学,2023.DOI:10.27389/d.cnki.gxadu.2023.000176.
[2] Wang K, Li L, Eibert T F. Comparison of compact monopole antenna arrays with eigenmode excitation and multiport conjugate matching[J]. IEEE Transactions on Antennas and Propagation, 2013, 61(8): 4054-4062.
