当下电动汽车(EV)市场逐步扩展,然而仍旧依靠物理电缆连接进行充电,这导致连接不便、停车焦虑、电压电缆风险高以及充电集线器的美观问题。无线充电系统(WPT)一直致力于解决这类的问题,然而至今仍旧难以有媲美电缆的效率。
As shown below👇
全息人工阻抗表面提高传输效率
表面阻抗可通过计算
Z0= 377Ω是自由空间波阻抗,kz是垂直于超表面的衰减常数,并且k是自由空间中的波数。波矢量kt沿超表面可以表示为
k=2π/λ=ω/c .有效折射率定义为n=kt/k.因此,
表面阻抗主要由间隙调节。
Tx 向超表面发射近似球面波,用作参考波。物波是具有指定角度的平面波θ从全息超表面平面的标高。假设 Tx 的中心为(xt,yt,zt),则参考波可以表示为

物波可以表示为
超表面的目标是增强物体波而不改变方向,θ设置为90∘.
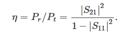
功率传输效率 (PTE) 定义为接收功率与入射功率的比值
如上图所示,最近有研究通过在车轮使用超表面,TX与接收端的匹配增强,透射率提高,大大提高了功率传输效率。
人工张量阻抗表面
全息人工阻抗表面基于三个既定的概念:调制阻抗表面上的泄漏波、人工阻抗表面和全息天线,如图所示。这项工作的基础是 Oliner 对调制阻抗表面上的漏波的全面分析,其中描述了漏波的传播和辐射如何由表面阻抗的幅度、调制深度和周期来控制。
对于X-Y平面中的均匀表面,束缚表面波衰减到周围空间,并具有空间依赖性exp(-jkt∙xt)exp(-kzz);同样,t下标表示平面内量。对于标量阻抗表面,将表面波分为TM和TE模式,其中横截性相对于表面波传播方向kt。对于TM波,使用上述空间依赖性,场由给出(假设ejωt始终具有时间依赖性)
对于TE波,场由下式给出
kt=kxx^+kyy^是以角度θ穿过表面的波的横波矢量
在张量阻抗表面上,表面波模式通常既不是纯TM也不是TE,而是一种混合。因此,电场和磁场可以写成
z=0表面上的张量阻抗边界条件写为
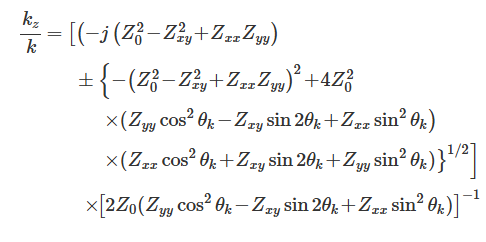
对于E和H的切向分量,以及当前的J。能量守恒要求Z是反厄米函数,互易性要求Z是纯虚数。(请注意,这需要Zxy=Zyx。)将组合的TM和TE代入边界条件得到
对于给定的阻抗张量和传播方向θk,我们可以求解α和kz/k比。kz/k比值为
[1] Y. Yao and M. Nekovee, “Efficiency-Enhanced Holographic Metasurface for Wireless Power Transfer Based in Electric Vehicles,” IEEE Antennas and Wireless Propagation Letters, vol. 24, no. 2, pp. 299–303, Feb. 2025, doi: 10.1109/LAWP.2024.3488969.
[2] B. H. Fong, J. S. Colburn, J. J. Ottusch, J. L. Visher and D. F. Sievenpiper, "Scalar and Tensor Holographic Artificial Impedance Surfaces," in IEEE Transactions on Antennas and Propagation, vol. 58, no. 10, pp. 3212-3221, Oct. 2010, doi: 10.1109/TAP.2010.2055812.
