超表面概念已成为一种有利的可重构天线架构,用于波束形成和波前整形,其应用包括卫星和地面通信、雷达、成像和无线电力传输。超表面由亚波长的单元以及之间亚波长间隔构成。每个单元都可以建模为一个可极化偶极子,将波导模式耦合到辐射模式。有研究表明,在超表面与波导馈电相互弱的情况下,超表面可以很好的实现波束赋形能力。
As shown below👇
超表面天线与波导激励
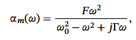
超材料元件之间没有通过辐射或波导模式的相互作用的情况下,每个超材料元件与参考波之间的关系为
超材料元件引入的相位和振幅并不是独立的,而是与方程中固有的洛伦兹共振有着内在的联系
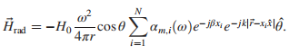
每个超材料元件都以磁偶极子的形式辐射,其远场方向图由下式给出

通过叠加所有元件产生的场来近似地估计来自超表面天线的远场辐射方向图:
单元不会扰动波导模式并且不会相互相互作用,上式将是辐射场的良好近似值。
波束赋形
可重构天线的典型功能是在远场中产生具有所需方向的准直波束 (φ0,𝜃0)。
场的角度分布由以下形式的超表面阵列因子 (AF) 决定
获得场分布所需的权重是,
带入上式,可得
这表明摆脱了传统的相控阵设计方法,并寻求替代的加权函数,以实现与超表面架构相同的波束形成能力。
[1] D. R. Smith, M. Sazegar, and I. Yoo, “Equivalence of Polarizability and Circuit Models for Waveguide-Fed Metamaterial Elements,” IEEE Transactions on Antennas and Propagation, vol. 73, no. 1, pp. 7–21, Jan. 2025, doi: 10.1109/TAP.2024.3439728.
[2] D. R. Smith, O. Yurduseven, L. P. Mancera, P. Bowen, and N. B. Kundtz, “Analysis of a Waveguide-Fed Metasurface Antenna,” Phys. Rev. Appl., vol. 8, no. 5, p. 054048, Nov. 2017, doi: 10.1103/PhysRevApplied.8.054048.
