在分析分层介质(如多层光学涂层、天线基底、光子晶体等)中的电磁波传播时,传统的 传输矩阵法(Transfer Matrix Method, TMM) 和 阻抗矩阵法(Impedance Matrix Method) 存在数值不稳定性的问题。混合矩阵法(Hybrid Matrix Method) 通过结合传输矩阵和阻抗矩阵的优点,克服了上述问题,适用于任意厚度的分层介质(包括双各向异性媒质)。
*混合矩阵
TMM:当介质层厚度极大(如半无限空间)或存在强反射时,矩阵元素指数增长导致计算溢出。
阻抗矩阵法:在薄层(厚度趋近于零)时矩阵不可逆,精度下降。
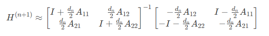
混合矩阵 H 通过混合电场和磁场的边界条件,建立层间关系:
混合矩阵的递归计算
(1) 单层混合矩阵的构造
通过薄层渐进近似(Thin-Layer Asymptotic Approximation) 初始化:
(2) 多层递归公式
整体混合矩阵通过逐层递归计算:
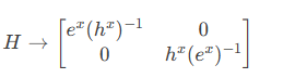
值稳定性分析
薄层极限( h->0):
阻抗矩阵 Z 此时因矩阵奇异而失效。
厚层极限( h->∞ ):
*多层组织模型
[1] F. Yang, D. T. Nguyen, B. O. Raeker, A. Grbic, and J. S. Ho, “Near-Reflectionless Wireless Transmission Into the Body With Cascaded Metasurfaces,” IEEE Transactions on Antennas and Propagation, vol. 70, no. 9, pp. 8379–8388, Sep. 2022, doi: 10.1109/TAP.2022.3168663.
[2] J. Ning and E. L. Tan, “Hybrid Matrix Method for Stable Analysis of Electromagnetic Waves in Stratified Bianisotropic Media,” IEEE Microwave and Wireless Components Letters, vol. 18, no. 10, pp. 653–655, Oct. 2008, doi: 10.1109/LMWC.2008.2003446.
[3] Li, Y., Feng, Q. Enhancing the Transmission Range of Video Capsule Endoscope Antennas Using Ferrite as an Impedance Matching Layer Based on Transmission Line Theory. J. Electron. Mater. 54, 3170–3181 (2025). https://doi.org/10.1007/s11664-025-11796-9