Chu电路模型由 L.J. Chu 在1948年提出,旨在为球形波(spherical wave)的电磁场阻抗提供等效的集总参数电路表示。虽然,Chu提出的梯形电路模型被广泛用于模拟球形波阻抗,但近年有观点认为该模型可能高估了实际球形波阻抗的存储能量。
*Chu电路模型
chu电路模型的核心目标是, 建立天线理论中的物理限制(如Q因子、带宽极限),以及将连续的电磁场问题转化为离散电路问题,便于分析存储能量和辐射特性。
模型结构与数学基础
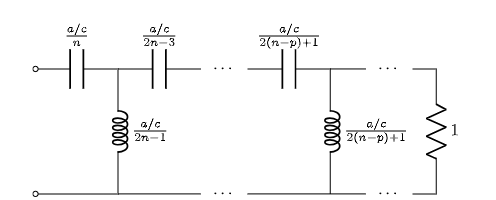
Chu模型基于球形波展开(球谐函数),针对 TM(横磁)和TE(横电)模式 分别构建梯形电路网络:
TMₙ₀模式:
由电容(C)、电感(L)和电阻(R)组成的梯形网络,阶数随模式数n增加。
例如,TM₁₀模式的电路为:电容 → 电感 → 电阻。
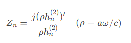
阻抗公式(归一化):
TEₙ₀模式:
电路结构与TM模式对偶(电感与电容互换)。
*高阶模式
高阶模式是指球形波展开中 阶数 n>1 的电磁场模式(如TMn0 或TEn0 ),其特性包括:
多极子辐射:
低阶模式(如TM10 )对应偶极子辐射,而高阶模式(如TM20 、TM30 )对应四极子、八极子等,辐射方向图更复杂。
截止频率:
当电尺寸 ρ=ka<n 时(k为波数,a为球半径),高阶模式处于截止状态,能量以凋落波(evanescent wave)形式存储,而非辐射。
电路复杂度:
Chu电路模型的阶数随 n 增加,需更多电感和电容元件。
[1] K. Schab and L. Jelinek, “Chu Circuit Models as Minimum Energy Representations of Wave Impedances,” IEEE Transactions on Antennas and Propagation, vol. 73, no. 6, pp. 3777–3782, Jun. 2025, doi: 10.1109/TAP.2025.3543041.
