首页/文章/ 详情

“数字孪生/故障诊断”专题 | 基于数字孪生和领域泛化的未知工况自适应故障诊断(下)

5月前浏览191

本期给大家分享一篇小编近期阅读的数字孪生技术相关文章。如果有故障诊断相关方向研究人员希望宣传自己研究成果欢迎大家在公 众号后台与小编联系投稿,大家一起交流学习。

数字孪生是当前故障诊断领域的研究热点。本期推荐的这篇是林奈大学博士研究生迈赫迪·萨曼·阿扎里的文章,这篇文章中提出了一种结合多个范式的自适应故障诊断系统,即基于共享知识的监控-分析-规划-执行MAPE-K:MAPE-K:Monitor-Analyze-Plan-Execute over a shared Knowledge循环领域泛化网DGNMs:Domain Generalization Network Models模型和数字孪生DT:Digital Twins)。MAPE-K循环能够实时适应,DT生成补充数据解决标记数据不足问题,DGNM通过对抗学习和领域差异度量增强特征泛化。实验证明,该系统在相关工作操作和跨机器任务中表现优于现有技术。

由于文章篇幅过长,小编将分两次为大家翻译介绍这篇论文,第一篇推文主要介绍了研究背景、相关工作,以及所提自适应故障诊断系统的整体架构和各组成部分的功能与实现方式【“数字孪生/故障诊断”专题 | 基于数字孪生和领域泛化的未知工况自适应故障诊断(上)】。本篇推文是这篇文章的下半部分,主要讲述了旋转机械案例研究的实验验证与性能分析希望对大家的学习有所帮助,文章质量很高同时希望大家可以多多引用,特别是对所提方法的借鉴


论文链接:通过点击最左下角的阅读原文进行在线阅读及下载

论文基本信息

论文题目: Self-adaptive fault diagnosis for unseen working conditions based on digital twins and domain generalization

论文期刊:Reliability Engineering and System Safety

Doihttps://doi.org/10.1016/j.ress.2024.110560

作者: Mehdi Saman Azari(a), Stefania Santini(b), Farid Edrisi(a), Francesco Flammini(c)
论文时间: 2024年
机构: 
a Department of Computer Science and Media Technology, Linnaeus University, Växjo, Sweden 
b Department of Electrical Engineering and Information Technology, University of Naples Federico II, Naples, Italy
c School of Innovation, Design and Engineering, Mälardalen University, Sweden

作者简介:迈赫迪·萨曼·阿扎里,于2010年在伊朗德黑兰的塔比阿特莫达雷斯大学获得电气工程硕士学位;随后,他于2014年加入瑞典林奈大学,攻读计算机科学与媒体技术博士学位。在林奈大学期间,他作为Cyber-Physical Systems研究组的一员,专注于弹性网络物理系统的研究。2018年至2020年,他在林奈大学担任研究助理,参与多个与物联网相关的研究项目,并在该领域取得显著成果。(来源:ResearchGate)

摘要

近年来,基于领域自适应的智能故障诊断技术被用于解决网络物理系统中的领域迁移问题;然而,对于获取目标数据的需求限制了其适用于未知工况的范围。为了克服这些限制,引入了领域泛化技术来增强故障诊断模型在未知工况下的操作能力。然而,现有方法假设可以访问来自各个源域的大量标记训练数据,在真实世界的工程场景中由于资源限制而面临挑战。此外,缺乏随时间更新诊断模型的机制,需要探索能够对新的未知工况自主重新配置的自适应泛化诊断模型。在这样的背景下,本文提出了一种结合多个范式的自适应故障诊断系统,即基于共享知识的监控-分析-规划-执行(MAPE-K:Monitor-Analyze-Plan-Execute over a shared Knowledge)循环,领域泛化网络模型(DGNMs:Domain Generalization Network Models)和数字孪生(DT:Digital Twins)MAPE-K循环使系统能够在动态工业环境中进行时适应,无需干预。为解决标记训练数据不足的问题,使用数字孪生生成补充数据并不断调优参数,以反映新的未知工况的动态性DGNM整合了对抗学习和基于领域差异度的度量标准,来增强特征多样性和泛化能力。多域数据增强的引入提高了特征多样性,并有利于学习多个领域之间的相关性,最终提高了特征表示的泛化性。所提出的故障诊断系统在三个公开可用的旋转机械数据集上进行了评估,证明相较于其他最先进方法,该系统在相关工作操作和跨机器任务中表现更出色。

关键词故障诊断系统;MAPE-K;领域泛化; 数据增强;旋转机械;数字孪生;未知工况

目录

1 引言

2 相关工作

   2.1 传统机器学习和深度学习

   2.2 领域自适应

   2.3 领域泛化

   2.4 数字孪生体

   2.5 MAPE-K

预备工作

   3.1 构建诊断数字孪生

   3.2 领域泛化问题设置

   3.3 混合

4 自适应故障诊断系统设计

   4.1 监视器

   4.2 分析仪

   4.3 规划者指标

   4.4 执行者

   4.5 知识

5 旋转机械案例研究

6 实验验证与性能分析

   6.1 数据集

   6.2 对比方法

   6.3 实施细则

   6.4 诊断结果与分析

7 结论


注:小编能力有限,如有翻译不恰之处,请多多指正~
     若想进一步拜读完整版,请下载原论文进行细读。

5 旋转机械案例研究

在本研究中,所提出的自适应故障诊断系统作为实验案例在工业旋转机械上实现。值得注意的是,旋转机械广泛应用于各种实际工业应用中,如铁路、采矿车辆、电动汽车、民用飞机、风力涡轮机和直升机等。旋转机械的数字孪生模型详见附录(见附录A)。接下来,我们介绍了专门针对旋转机械的MAPE - K循环框架的定制,包括适应过程的全面细节。

在旋转机械的背景下,Monitor功能组件将旋转机械的转速和负载等数据作为操作数据。这些数据可以监测旋转机械工作条件的变化,从而可以检测任何变化。另外,选取轴承外圈的垂向加速度作为响应信号,作为评价仿真系统与真实系统相似性的依据。

在分析仪功能组件中,计算了两个指标。第一个指标如公式 (2) 定义,利用机器速度和负载数据来监测操作条件的变化。第二个指标(见公式 (3))是通过用新的操作数据运行滚子轴承的 DT 模型,评估实际响应与模拟响应(轴承外圈振动数据)之间的相似性来制定的。然而,为了克服对旋转机械而言在时域中比较振动数据的局限性,采用了基于谱散度和测地距离的指标来评估相似性,如 [38] 所建议的。第一个指标,即谱散度,类似于 Kullback–Leibler 散度,其计算方式如下:

   

其中,     和      分别为从数字孪生体和真实系统获取的轴承外圈信号垂直加速度的功率谱密度(PSD)。其次,也可以定义两个谱之间的测地距离     ,它相当于传统标准差的概念:

   

真实机器与数字孪生体之间的响应对比结果可表示为:

   

 

其中,     表示数字孪生体 (    )与真实机器 (    )响应之间的计算误差,     为响应信号。

在规划器功能组件中,当检测到显著差异(即,    )时,载荷-变形因子     和轴承的径向游隙     被视为    中更新策略的关键参数。为了最小化差异,通过定义的关键参数和引入的指标,定义了以下优化函数:

   

实验验证与性能分析

为确认所提方法的有效性,通过案例研究 5 的实验分析对所提方法进行测试。验证分析综合运用公共数据集(见第 6.1 节)及数字孪生体提供的数据(见附录 A)开展实验。结合技术文献中的其他方法进行比较,有助于深入剖析实验结果及整体性能表现。

6.1 数据集  
在本文中,我们用四个不同的数据集来评估所提方法的性能。这些数据集包括三个公开可用的数据集和一个仿真数据集。我们关注三种特定的健康状况,即正常状态(NC:Normal Condition)、内圈故障(IF:Inner Race Fault)和外圈故障(OF:Outer Race Fault),因为这些情况代表了最常见的轴承故障类型。有关这些数据集的详细概述,请参见表 2。  

表2 实验数据的详细信息

   

6.1.1  帕德伯恩数据集

本研究使用的第一个数据集是在帕德伯恩大学的 KAT 数据中心创建的,采样率为 64 千赫兹,相关记录可在文献 [39] 中找到。实验中使用了一个带有真实损伤的 6203 球轴承,该损伤来自加速寿命测试。在三种不同的操作条件下收集了振动数据,其中负载扭矩范围为 0.1 至 0.7 牛·米,径向力始终设定为 1000 牛,转速在 400 至 1500 转每分钟之间变化。为了确保一致性,所有振动信号均被重新采样至 12 千赫兹的统一频率,以便纳入数据集。
 

6.1.2  CWRU

CWRU 轴承数据集 [40] 是滚动轴承故障诊断领域中一个广为人知的基准数据集。该数据集专注于对驱动端轴承 SKF6205 进行的测试。在负载为 0 到 3 马力、转速为 1797 到 1730 转每分钟的电机上记录振动信号,采样频率为 12 千赫兹。值得注意的是,每种故障类型都包含三种故障尺寸(0.18 毫米、0.36 毫米和 0.53 毫米),并且各种故障严重程度被归为一类。
 
6.1.3 MFPT    
MFPT 数据集 [41] 收集了来自 NICE 轴承的振动信号加速度数据。在正常条件下,数据在 270 磅负载下收集,而在每种故障状态下,数据在 200 磅负载下收集。在 MFPT 轴承实验中,正常条件下的实际采样频率为 97 656 赫兹,故障情况下的实际采样频率为 48 828 赫兹。为了确保数据集中所有样本具有相同的采样频率,所有振动信号均重新采样至 12 千赫兹。  

6.1.4. DT

在考虑轴承及其工作运行的基础上,本研究利用专门设计的靶轴承数字孪生体(DT)模型生成的模拟数据来支持诊断过程。为此,成功调整数字孪生体的性能使其落在可接受的范围内后,更新后的数字孪生体被用于在不同的健康状态下进行模拟,包括每种故障类型的三种不同故障尺寸(见       。 同时,与目标领域中的真实机器一样,采样频率被设置为12 kHz。不同类型靶轴承的数字孪生体模型的几何参数详见表3。关于轴承数字孪生体模型及其实验分析的更多细节,可以在我们的先前研究 [42] 中找到。

表3 三种轴承DT模型的几何参数

   
6.2 对比方法  
为了全面评估所提方法的有效性和优越性,我们采用了多种先进的主流方法进行比较。这些方法如下所述:
 
  • 卷积神经网络(CNN:Convolutional Neural Network):该方法运用基本的卷积神经网络,基于多源数据进行训练,直接对目标数据进行诊断,未融入知识迁移或泛化技术。

  • 领域对抗网络(DAN:Domain-Adversarial Network):借助不同源域的对抗训练,旨在构建对领域差异不变的特征表示,以增强在多源域的鲁棒性并适用于目标任务。

  • 多核最大均值差异(MK-MMD:Multi-Kernel Maximum Mean Discrepancy):应用不同核版本的最大均值差异,力求最小化深层潜在空间中各源域对之间的分布差异。

  • 对抗领域不变泛化(ADIG:Adversarial Domain-Invariant Generalization)ADIG是一种通用的领域回归框架,利用实例归一化和谱归一化提取与故障相关且跨领域不变的特征。

  • 深度混合领域泛化网络(DMDGN:Deep Mixed Domain Generalization Network)这种新方法结合传统特征级数据增强和对抗学习,经对抗训练引入扰动,并利用基于领域的差异度量有效平衡领域内与领域间的距离。

  • 无数据增强的提议方法(Proposed-NoAug):为验证所提方法中

           数据增强模块的价值,我们还测试了一种排除多域混合操作的变体。


6.3 实施细则  
 
为评估所提方法,我们利用上述数据集,在多种跨工况及跨设备诊断任务中开展实验,并与先进方法对比以验证其有效性。每个任务选取特定工况或设备作目标域测试模型性能,其余条件或设备数据及仿真数据用于训练。例如,       表示用        和        作源域训练,       作目标域测试。鉴于设备间领域差异大于同一设备内工况差异,在跨设备任务中,我们将每台设备的所有工况数据合并为单一领域。表 4 呈现了基于这些数据集设计的诊断案例概览。  

表4 诊断任务详细信息

 

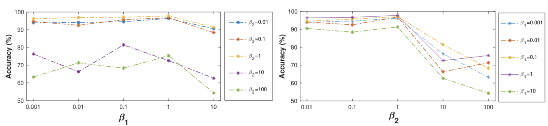
DGNM 模型的成功在很大程度上受超参数 β1 和 β2 的影响。经严谨的实验评估,最终将 β1 和 β2 均设为 1,有关这些参数的系统调谐细节可在参数敏感性分析子章节(见第 6.4.3 节)中查找。此外,狄利克雷分布的 α 参数被配置为(0.5,0.5,0.5)。

利用训练集开展优化程序,并选取当前任务中在验证集上平均准确率最高的模型。该过程重复十次,每次迭代中 80% 的数据被随机分配到训练集,剩余 20% 分配到验证集。为平衡优化效率与计算资源,本研究选取 64 的批量大小。此外,我们设定了 100 的训练最大_epoch_上限。在优化阶段,采用动量为 0.9、权重衰减为 1×10⁻³ 的随机梯度下降(SGD)进行参数更新,同时运用概率为 0.5 的 dropout 机制。

并且,为确保与其他方法的公平比较,我们在所有比较方法中保持一致的网络结构和实验设置,这些比较方法的超参数也通过与所提方法类似的调谐过程确定。

6.4 诊断结果与分析  

6.4.1  与最新先进模型的对比

我们对 DGNM 模型及若干前沿方法的性能评估涵盖了跨工况、跨机器等多种诊断任务。如图 6 和图 7 所示,评估结果揭示了以下有价值的发现:  
  • 与 CNN 相比,MK-MMD(多核最大均值差异)和 DAN(深度适应网络)在跨工况/ 跨机器任务上的平均准确率分别提升了 4.56% 和 5.73%(或 9.33% 和 10.07%)。MK-MMD 中的统计矩匹配方法和 DAN 中的对抗训练方法均旨在减少源域间的分布差异,并帮助获取域不变表示。

  • ADIG(基于对抗训练的域不变生成网络)和 DMDGN(深度多域图神经网络)作为两种基于对抗训练的前沿方法,进一步提升了诊断性能。ADIG 通过域回归学习不变故障表示,性能超越了 DAN 和 MK-MMD 方法。然而,DMDGN 凭借数据增强技术使模型泛化能力提升,其准确率比 ADIG 高出 1.72%(7.33%)。

  • 本研究提出的方法通过融入多域混合技术,准确率显著提升了 3.18%(5.77%)。这一改进表明,数据增强在提升故障诊断方法对跨工况和跨机器任务中分布变化的泛化能力方面具有重要作用。通过有效融合多域数据,本方法能够更好地捕捉潜在模式,提高不同场景下的诊断准确率。

  • 与跨工况任务相比,所有方法在跨机器任务中均出现性能下降,这归因于跨机器诊断中需要解决的分布差异更大。这凸显了跨不同机器进行知识迁移的固有难度 —— 运行条件和机器特性的差异构成了重大挑战。

  • 如图 6 和图 7 所示,在几乎所有域泛化任务中,本研究提出的方法均始终优于所有其他方法,在跨工况任务中实现了 96.03% 的最高平均准确率,在跨机器任务中达到 88.83% 的最高平均准确率。此外,在大多数情况下,与其他方法相比,本方法表现出更强的稳定性。这些研究结果凸显了该方法卓越的知识泛化能力,使其在多样化诊断场景中具有高度鲁棒性,能够有效应对实时诊断场景中未见过的工作条件。该方法在不同任务和域间的稳定性能,强调了其在实际应用中提供可靠故障诊断的潜力,可确保机械在各种条件下高效安全运行。

       
图6  含 DT 样本的跨工况任务诊断性能比较
 
 

图7 含 DT 样本的跨机器任务诊断性能比较

6.4.2  不含 DT 样本的诊断结果

如图 8 和图 9 所示,本研究对比了所提方法与其他方法在跨工况和跨机器任务中(具体为未使用 DT 数据集的场景)的性能表现。结果表明,本方法始终优于其他竞争模型,展现出跨任务的卓越泛化能力。然而,需特别注意的是,对比图 6、图 7 与图 8、图 9 的结果可见,纳入 DT 数据集后诊断性能显著提升。这一改进归因于 DT 数据集在减小源域与目标域数据分布差异(方差)方面的作用 —— 差异减小的域对可生成更准确的诊断知识。例如,在跨机器场景中,所提模型的平均准确率在纳入 DT 数据集后从 81.37% 提升至 88.83%。

         


图8 不含 DT 样本的跨工况任务诊断性能比较

 

图9 不含 DT 样本的跨机器任务诊断性能比较

6.4.3  参数敏感性分析

模型的有效性显著受总体目标中不同损失函数权衡系数取值的影响。具体而言,系数 β₁和 β₂在平衡泛化能力与分类能力的相互作用方面至关重要,这对于在复杂工程环境中保持诊断准确率不可或缺。为优化这些系数,我们采用了网格搜索策略:将 β₁在 {0.001, 0.01, 0.1, 1, 10} 范围内变化,β₂在 {0.01, 0.1, 1, 10, 100} 范围内变化,然后评估这些数值的组合以确定最优参数对。  
在对全部 25 种可能的组合进行检验时,我们以准确率指标作为确定最优组合的主要依据。例如,在案例 1 中,我们分析了不同参数设置下的诊断准确率,如图 10 所示。图 10 (a) 的分析表明,准确率对 β₂的变化高度敏感,而 β₁的影响则较为稳定且轻微。这表明,与 β₂相关的域间差异因素相比,β₁关联的因素对模型性能的影响更为关键。当 β₁和 β₂均设置为 1 时,模型达到最高准确率,因此我们选择 (β₁β₂)=(1, 1) 作为本实验的最优系数组合。
 
     

图10 案例 1 中不同 β₁和 β₂的诊断结果

6.4.4. 计算效率分析
 
高效的计算性能对实时跨域故障诊断任务至关重要,因其直接影响决策与控制的及时性。本节聚焦于分析各模型在域泛化场景下的计算效率。所有模型均基于 PyTorch 框架开发,并在配备 Intel UHD Graphics 630 GPU、32 GB 内存和 Intel Core i9 处理器的计算机上进行评估。表 5 对各方法的平均训练时长与测试时长进行了对比分析。需要说明的是,测试时间指预测所有测试样本结果所需的总时间。
 
研究发现,CNN模型耗时最短,主要因其单一关注监督分类损失,简化了优化目标。相比之下,本研究提出的方法训练时长较长,约为DAN方法的两倍。这一耗时增加主要归因于处理增强样本的计算需求。值得注意的是,由于网络配置相当,所提方法与其他对比方法的测试时间较为接近 —— 在实际应用中,所有样本的测试阶段均能在四分之一秒内完成。这一结果表明,本方法适用于在线实时诊断应用场景。  

表5 不同方法训练时间和测试时间的平均值

   
   

7 结论

在本文中,针对现有域自适应与泛化方法的局限性给动态工况下机械设备故障诊断带来的主要挑战,我们提出了一种融合 MAPE-K 循环、域泛化网络模型和数字孪生技术的新型自适应故障诊断系统。研究表明,该系统具备以下核心优势:首先,通过引入 MAPE-K 循环(监控 - 分析 - 规划 - 执行 - 知识循环),系统实现了对未知新工况的实时自适应,减少了对人工干预的依赖并提升了自主性。MAPE-K 循环确保诊断模型能够持续进化,从而在考虑运行条件和环境变化的情况下做出可靠决策。其次,将数字孪生作为补充数据源,解决了从实际机器获取标注训练数据集的现实难题。基于目标机器未知新工况对数字孪生参数的持续调优,可确保生成数据与真实系统的几何特征及新工况保持一致。第三,域泛化网络混合模型(DGNM)的集成通过多域数据增强、对抗学习和域间差异度量,在保留域特有特征的同时提升了特征多样性,弥补了现有域泛化方法的不足。我们在三个旋转机械数据集上对系统进行了评估,结果表明,在跨工况和跨机器任务中,该系统性能优于现有前沿方法。因此,本研究证明了该系统在处理动态工业机械环境复杂性方面的有效性,为下一代信息物理系统中自主故障诊断系统的未来研究铺平了道路。未来工作中,我们将重点探索在源域与目标域存在类别偏移场景下提升诊断模型性能的方法。

附录 A. 旋转机械的数字孪生

根据第 3.1 节的流程,本文推导了适用于旋转机械诊断的数字孪生(DT)构建方法。

  • 第一步:选择关键部件。在旋转机械中,最关键的部件为滚动轴承(REB)[44]。通常,为防止损坏扩散至整机,需在合理时间内诊断其潜在故障。

  • 第二步:推导动态模型。考虑以下先进的轴承动态建模方法,该模型计入内圈与外圈惯性及轴承接触力的影响。在此过程中,整体轴承动态模型具有 5 个自由度(DOF),其中外圈和内圈各占 2 个自由度,另一个自由度与反映高频结构振动的簧载质量相关。现考虑如图 11 所示的 5 自由度滚动轴承示意图。具体而言,内圈(轴)以恒定转速旋转并与转子轴刚性连接,其动力学特性可表示为以下二自由度模型:

   

其中,    为重力加速度,        分别为内圈质量在        方向的位移,        为接触力,            分别代 表转子轴的质量、刚度和阻尼。 

同理,外圈(轴承座)作        方向的平动且不旋转,其动力学特性可建模为如下二自由度系统:

   

其中,        分别为外圈质量在        方向的位移,            分别为轴承座的质量、刚度和阻尼,            分别为簧载系统的质量、刚度和阻尼,    为簧载质量的位移。

最后,沿    方向关联的簧载质量方程可表示为:

   

考虑簧载质量的分布时,引入了一个额外的噪声源(ζ)。轴承动态模型的更多细节可参见我们之前的研究[42]。

 

图 11  五自由度滚动轴承动态模型示意图

                 分别为轴承座的质量、刚度和阻尼;                  分别代表转子轴的质量、刚度和阻尼;                  分别为簧载系统的质量、刚度和阻尼;      为滚珠的载荷-挠度系数 (更多术语、单位及参数名义值见下表 3)。

  • 第三步:定义并建模故障。运行过程中,轴承可能因局部疲劳产生表面损伤。轴承的主要疲劳失效形式为剥落(见图 12),该损伤可出现在轴承的不同部位(包括外圈、内圈和滚珠区域)。局部轴承故障建模的更多细节可参见我们此前的研究 [42]。

  • 第四步:指定虚拟传感器。在旋转机械中,物理模型的输出为轴承外圈(轴承座)的垂直加速度,可将其视作测量 外圈        方向速度(      )的虚拟振动传感器。

 

编辑:赵栓栓

校核:李正平、陈凯歌曹希铭、赵学功、白亮、任超、海洋、陈宇航、陈莹洁、Tina、王金、赵诚、肖鑫鑫

该文资料搜集自网络,仅用作学术分享,不做商业用途,若侵权,后台联系小编进行删除



来源:故障诊断与python学习
System振动疲劳旋转机械通用航空汽车UGpython海洋UM电机Electric数字孪生控制数控
著作权归作者所有,欢迎分享,未经许可,不得转载
首次发布时间:2025-06-27
最近编辑:5月前
故障诊断与python学习
硕士 签名征集中
获赞 87粉丝 138文章 261课程 0
点赞
收藏
作者推荐

可解释智能诊断新路径 | VKCNN:面向滚动轴承故障诊断的可解释变分核卷积神经网络

本期分享唐刚教授团队的论文投稿:VKCNN:面向滚动轴承故障诊断的可解释变分核卷积神经网络。传统卷积神经网络在滚动轴承故障诊断中虽取得广泛应用,但由于特征提取过程缺乏物理可解释性,其工业落地仍面临挑战。为此,本文提出了一种全新的可解释变分核卷积神经网络(Variational Kernel CNN,VKCNN)方法。该方法通过在网络初始层引入具备物理意义的近似滤波器,精准提取幅度调制与频率调制特征,并结合变分核结构与残差注意力机制,实现了特征通道的动态加权与高相关性特征提取。同时,加入注意力加权谱分析,进一步提升了模型的可解释性与诊断透明度。实验证明,VKCNN在多个滚动轴承数据集上表现出强鲁棒性,尤其在噪声环境下准确率显著优于对比模型,是兼具性能与可解释性的智能故障诊断新路径。论文链接:通过点击本文左下角的阅读原文进行在线阅读及下载。论文基本信息论文题目:VKCNN: An interpretable variational kernel convolutional neural network for rolling bearing fault diagnosis论文期刊:Advanced Engineering Informatics论文日期:2024年10月论文链接:https://www.sciencedirect.com/science/article/pii/S1474034624003537?via%3Dihub作者:Guangyi Chen, Gang Tang, Zhixiao Zhu机构:a: College of Mechanical and Electrical Engineering, Beijing University of Chemical Technology, Beijing 100029, China团队带头人简介:唐刚教授,北京化工大学博士生导师。现为中国振动工程学会动态信号分析专委会常务理事、故障诊断专委会理事,中国人工智能学会青年工作委员会委员。入选北化青年英才百人计划,被评为“全国石油和化工教育青年教学名师”。长期从事机械故障诊断和智能运维技术等研究工作。近年来发表高水平论文50余篇,参与起草国家标准4项;主持国家重点研发计划“揭榜挂帅”课题、特殊计划项目、国家自然科学基金和企业合作项目等,相关成果应用于航天航空等多个领域高端装备的智能化运维。(来源: https://mech.buct.edu.cn/2018/0227/c3107a46844/page.htm)目录1 摘要2 引言3 理论基础3.1 变分模态分解3.2 卷积神经网络4 所提方法4.1 变分核卷积神经网络4.2 数据驱动参数更新4.3 基于残差连接的通道注意力机制4.4 基于变分核卷积神经网络的故障诊断5 实验验证5.1 案例一5.2 案例二6 模型可解释性分析6.1 网络第一层的特征提取形式6.2 诊断模型的学习机制7 结论1 摘要随着CNN的发展,滚动轴承的智能故障诊断取得了显著进展。然而,特征提取过程缺乏物理可解释性,严重削弱了其可信度,从而极大地限制了其在工业中的实际应用。为解决这一问题,本文提出了一种可解释的变分核卷积神经网络(Variational Kernel CNN,VKCNN)用于滚动轴承故障诊断。首先,在CNN的初始层中精心引入一种新型的近似滤波器,用以有效提取分布于不同频带、具有明确物理意义及故障相关信息的幅度调制和频率调制成分。其次,引入模块化操作,以构建变分核中两个等比例实参数与复数梯度之间的反向传播关系。随后,提出一种基于残差连接的通道注意力机制,能够为来自不同频带的故障相关特征动态分配通道级权重。此外,引入注意力加权谱,从后验可解释性的角度探索模型的学习机制。最后,本文在两个滚动轴承数据集上验证了所提VKCNN模型,实验结果表明该模型在抗过拟合能力上表现出较强的鲁棒性,并在噪声场景中优于其他对比模型。关键词:卷积神经网络,变分核,变分模态分解,注意力机制,滚动轴承,智能故障诊断2 引言作为“工业关节”,滚动轴承具备良好的传动性能和承载能力,因而被广泛应用于航空发动机、工业机器人、风力发电机等各类旋转机械设备中。作为现代旋转机械中的重要基础部件之一,滚动轴承同时也是故障高发的关键部件。一旦在运行过程中发生严重故障,极易引发重大的安全事故。因此,发展面向滚动轴承的智能故障诊断与健康监测方法具有重要意义 [1-3]。据文献[4]报道,传统的智能故障诊断方法通常遵循“滤波器组–特征提取–决策判断”三阶段流程。其中,“滤波器组”阶段旨在借助稀疏编码、小波变换、模态分解等先进信号处理技术,对测得信号进行去噪处理,并提取故障信号的内在特征 [5-7]。尽管基于信号处理的特征提取方法能够结合专家知识与物理信息,使故障轴承的特征表示具备一定可解释性,但此类方法通常需要针对不同数据样本进行特定的预处理,同时需对若干参数进行精细调整,以获得期望的故障特征。这种依赖精心设计特征的方式通常仅适用于特定场景,限制了传统智能故障诊断模型的泛化能力。此外,在面对大规模异构数据时,由人工提取与选择故障特征不仅工作量繁重,而且极为耗时。近年来,深度学习模型因其能够直接从原始数据中挖掘具有代表性的特征,并将所学习的特征映射到目标轴承的健康状态,在国内外研究者中引起了广泛关注 [8,9]。该类方法跳过了繁琐的人工特征提取与选择流程,能够以端到端的方式处理海量监测数据。因此,各类深度学习模型中的神经网络结构被广泛应用于滚动轴承的智能故障诊断中,包括自编码器 [10]、循环神经网络(Recurrent Neural Network, RNN)[11] 以及CNN [12,13]。其中,CNN因其具备局部感受野的高效利用、本地权重共享以及多卷积核融合等显著优势,在故障诊断领域中得到了更广泛的应用。尽管基于CNN的智能故障诊断方法在近年来取得了重要进展,但其学习到的特征缺乏可解释性的问题依然存在。这一问题增加了评估模型可信度的难度,从而限制了其在工业环境中的实际部署。如果能够掌握CNN所学习的典型故障特征所遵循的客观规律,就可以通过调整模型参数来实现对网络学习过程的引导与优化,进一步提升其对领域知识的学习能力以及模型本身的可靠性。因此,围绕CNN的智能故障诊断方法开展可解释性研究具有重要意义。一种可行的路径是通过可视化权重或特征图,对已训练CNN进行后验解释。例如,Grezmak 等人 [14] 利用逐层相关传播方法,在输入信号的时频图中可视化不同区域对诊断结果的贡献值,实验结果表明所设计的CNN能够通过学习特定频带来区分故障类型。Jia 等人 [15] 则通过神经元激活最大化(Neuron Activation Maximization, NAM)算法分析了深度归一化CNN的工作机制,发现网络的第一卷积层实质上扮演着多通道滤波器组的角色。 另一种解决思路是将可解释的信号处理方法引入模型结构中,这种方式不仅提升了深度学习模型的内在可解释性,还充分发挥了其数据驱动的参数学习优势,使得信号处理方法的参数能够实现自动更新 [16]。例如,Li 等人 [17] 在CNN的首层中引入了连续小波卷积层,不仅简化了网络结构,还利用数据驱动的小波基函数提取与冲击相关的周期性成分,实验表明该方法在滚动轴承与齿轮的智能故障诊断中具有良好效果。Liu 等人 [18] 提出了时域散射卷积网络模型,基于小波散射原理构建,实现了完全可解释的轴承故障诊断。Ye 等人 [19] 构建了一种基于形态学滤波的神经网络,用于从振动信号中分离冲击成分并抑制噪声。然而,正如文献 [17] 所指出的,小波核CNN的诊断性能高度依赖于小波基函数的形状。其与故障信号中冲击成分匹配度越高,诊断精度也越高。因此,在使用小波核方法时应更加重视小波基的设计。而对于形态学滤波器,由于不同故障类型所引起的冲击信号在形态上的差异不明显,构建有效的形态学字典存在困难,从而限制了判别性特征的学习能力 [20]。众所周知,由故障冲击激发的系统共振通常会导致冲击信号出现幅度调制与频率调制(AM-FM)现象 [21]。因此,AM-FM信号往往包含可用于区分不同故障类型的重要特征。变分模态分解(Variational Mode Decomposition, VMD)已被证明在处理复杂调制信号方面具有良好效果 [22]。与前述传统信号处理方法不同,VMD方法不依赖于预定义的小波基函数或形态学字典,而是能够对待分析信号进行自适应分解。VMD将任何信号视为多个在频域中相互正交的AM-FM子信号的集 合,每个子信号在某一中心频率附近具有紧凑的带宽。在VMD中,提取这些子信号的过程被定义为一种引入Tikhonov正则化的改进Wiener滤波器模型,其本质类似于在频域中对不同频段进行带通滤波操作。随后,从定位到的频带中提取AM-FM子信号 [23]。Song 等人 [24] 提出一种智能多通道谱结构扫描器,用于检测多通道轴承信号中有效频段的中心频率,并通过一步计算获得相应的通道子信号。Zheng 等人 [25] 则基于二分法对频带进行划分,以识别AM-FM子信号所在的具体频率区间。Jiang 等人 [26] 提出一种逐步分解信号的方法,通过峭度准则及中心频率对目标子信号进行定位。由此可见,VMD在提取AM-FM子信号时,实质上是寻找与故障密切相关的频率区间。上述方法表明,在不同滚动轴承故障诊断场景或任务中,充分的先验知识对于频带划分至关重要。然而,目前尚无一种权威且具鲁棒性的频带选择策略可适用于所有诊断场景,这在面对未知场景或新任务时,会引入较大的不确定性,同时增加频带选择的时间与经济成本。此外,需要注意的是,局部故障不仅可能激发轴承本体的共振,还可能激发邻近部件的共振,从而进一步复杂化信息的调制过程。因此,实际测得信号的频谱中通常包含多个分布在不同频段的频谱簇,导致故障信息在频域中呈现明显的多尺度分布特征 [27]。然而,现有方法往往仅关注有限频带内的故障特征,而忽略其他可能包含有效信息的频段,这可能导致特征提取过程中的信息丢失,从而影响故障诊断结果的准确性与可靠性。因此,如何在缺乏充分先验知识的条件下,实现多尺度故障信息的自适应提取,仍是当前亟待解决的重要挑战。得益于深度学习模型强大的参数学习能力,基于多尺度故障信息提取原理的近似滤波器可被嵌入至深度网络中,应用于各种故障诊断任务,并将其关键超参数集成到诊断模型的参数体系中。通过反向传播算法,可以在保持深度网络所提取特征固有可解释性的同时,自适应优化近似滤波器的超参数。为实现对分布于不同频带的AM-FM分量的自适应提取,本文提出了一种基于VMD信号分解原理构建的新型近似滤波器,并将其集成至一维卷积神经网络中,用于滚动轴承故障诊断。通过构建变分核卷积神经网络(VKCNN),有效提升了特征提取阶段的事中(ad-hoc)可解释性。此外,考虑到不同频带的变分核所提取的AM-FM特征在诊断任务中的重要性存在差异,本文进一步引入通道注意力机制以增强事后(post-hoc)可解释性,从而有助于理解深度学习“黑箱”中的知识学习机制。本研究的主要创新点与贡献如下:(1)引入模块化操作以解决反向传播过程中复梯度的虚部无法参与变分核实数参数动态更新的问题。该方法充分利用虚部信息进行参数学习。同时,将具备自主学习能力的变分核嵌入网络首层,以提取稀疏的、具判别性的AM-FM特征,不仅实现了对原始信号的简洁表达,还增强了深度网络中 特征提取的可解释性。(2)提出一种基于残差连接的通道注意力机制,可对不同频带中提取的AM-FM特征赋予动态通道权重,从而强化关键信息。通过对不同频带上所学习到的注意力权重进行可视化,为理解诊断模型的学习机制提供途径。(3)实验结果表明,VKCNN在高噪声环境下的故障识别精度显著优于其他对比模型,表现出较强的抗过拟合能力与鲁棒的泛化性能。3 基础方法3.1 变分模态分解 VMD是一种常用的自适应提取准正交AM-FM信号的方法。由于其在抑制噪声方面表现出色,该算法被广泛应用于机械故障诊断领域。在VMD中,所提取的准正交AM-FM信号被定义为带限的本征模函数(Intrinsic Mode Function, IMF): 其中, 表示第 个模态分量, 和 分别表示该分量的瞬时幅度和瞬时相位。在重构输入信号时,IMF分量还应具有一定的稀疏性。每个模态的稀疏先验被选为其在频域中的带宽,进而可得到如下的约束变分问题: 其中, 表示狄拉克函数, 表示平方的 范数, 为中心频率, 为原始信号,符号“ ”表示卷积运算符。通过引入二次惩罚项和拉格朗日乘子,构造出增广拉格朗日函数以求解该约束变分问题。 其中, 表示拉格朗日乘子, 为平衡参数, 为更新参数, 表示迭代次数。3.2 卷积神经网络CNN通过卷积运算、非线性激活与池化操作实现了稀疏连接、参数共享和等效表示。在卷积层中,第 层的第 个卷积核对输入 进行卷积操作,其生成的特征映射可表示为: 其中 、 和 分别表示第 层中第 个卷积核的权重、偏置项以及输出, 为该层输入。随后,通过非线性函数对特征映射进行激活操作,以增强CNN的表达能力。该非线性激活过程可表示为: ,其中 为非线性激活函数。池化层用于降低特征图的维度并保留主要特征,以防止模型过拟合。本文主要采用最大池化层,定义为: 其中 表示下采样函数, 为下采样所用的缩放因子。本文将全连接层作为分类层,用于将特征映射到不同的故障类别。模型训练所采用的损失函数为交叉熵损失,定义如下: 其中 表示分类层输出的预测健康状态, 为样本标签, 表示标签总数。在训练过程中,采用反向传播算法计算损失函数关于权重的梯度,并通过随机梯度下降法更新网络权重。4 所提方法4.1 变分核卷积神经网络 传统CNN模型中随机初始化的第一层卷积核所提取的特征往往缺乏实际的物理意义,这将严重影响整个诊断模型的性能。通常情况下,故障信号的频谱上存在多个分布在不同频率范围内的单频簇,并且在复杂信号调制下,频域中的机械故障信息通常呈现多尺度分布的特性。VMD可以通过频域上的乘法运算将信号分解为一系列具有不同中心频率的模态分量,从而实现对多尺度分布下故障特征的分离。因此,引入变分核作为传统CNN模型中随机初始化的第一层卷积核的替代,用作可解释的特征提取范式。不同于VMD的原始解析解,所提出的近似滤波器在分解原始信号时不需要考虑重构约束,而是更加关注识别原始信号中与故障相关的特征,从而使每个模态分量仅作为特定频带内调幅-调频(AM-FM)成分的近似表达。此外,由于实际采集的信号大多包含噪声,拉格朗日乘子在保真项约束中的作用不大。因此,拉格朗日乘子通常设为较小的数值或为零。与此同时,变分核的构建引入了抗混叠约束,以确保每个滤波核都能最优地提取不同频率的信息。该约束的实质在于,在执行当前卷积核操作前,消除已被提取的频率成分。遵循这一策略,第 个变分核的特征可以定义为: 其中 表示第 个变分核的核函数。 表示之前变分核所滤波得到结果的总和。该抗混叠约束的应用能够增强故障频率成分的多样性与区分性,从而在收敛性与识别性能方面带来显著优势。图1展示了在不同参数下变分核滤波器的频率响应特性。从图1(a)中可以明显看出,通过调节平衡参数可以有效控制滤波器的带宽。考虑到与故障相关的模态分量的AM-FM信息各不相同,合理的带宽选择能够避免附着在目标频带上的冗余噪声成分。因此,通过调整平衡参数可以有效减弱噪声的影响。从图1(b)可以观察到,中心频率的设定能够控制滤波器提取所需的频率信息。然而,如果无法将其设定在最优频率范围内,故障特征信息的有效传递可能会受到阻碍,从而导致诊断结果的误判。因此,该参数的确定对特征提取结果也具有重要影响。 图1 变分核在不同参数下的频率响应特性:(a) 不同的平衡参数 ;(b) 不同的中心频率 4.2 数据驱动参数更新在大多数情况下,参数 和 通常是基于人工经验选择或启发式优化算法进行优化的 [30]。然而,由于自然启发式优化算法的目标函数与故障分类的损失函数之间缺乏可靠的对应关系,因此很难验证所优化的参数是否真正提升了故障分类的准确性。因此,本文所提出的变分核不仅通过不同的中心频率和平衡参数来挖掘信号在不同频段中的故障信息,还利用反向传播(BP)算法根据损失函数计算出与 和 相关的梯度,从而实现这两个可学习参数的更新。该计算过程如图2所示。 图2 变分核在不同参数下的频率响应特性:(a) 不同的平衡参数 ;(b) 不同的中心频率 由于 是复数值,包含实部和虚部,其相应的梯度也是复数,而 与 本身是实数,这就导致其虚部梯度无法参与参数更新。为此,本文巧妙地引入模值运算,将虚部信息引入到参数学习中,作为虚部与实数参数之间的桥梁。在这一背景下,实部与虚部分别用上标 和 表示,从而可以将复数的模表示为: 其中, 对 关于 和 的偏导数计算可分别通过以下公式进行: 因此, 关于 和 的偏导数可以表示为: 接下来,可以分别求出 关于 和 的偏导数。 在使用梯度下降和反向传播更新 和 之前,仔细观察这两个可学习参数的更新范围仍然至关重要。首先必须明确, 和 的梯度下降更新与深度网络的分类损失和学习率相关,并且在同一个卷积核中,它们共享相同的分类损失和学习率。如果这两个参数的更新范围差异显著,同时更新它们很可能会导致参数学习出现偏差。考虑到中心频率与平衡参数的取值范围确实存在较大差异,因此在更新参数之前需要对它们进行维度统一处理。借鉴VMD方法在频域中对频率进行离散化,变分核将中心频率进行无量纲化处理。对于平衡参数,本文采用最大最小归一化,归一化后的平衡参数可通过以下方式获得: 其中, 和 分别表示平衡参数取值范围的最小值与最大值。最终,归一化后的 和 的更新过程可以定义为: 其中, 表示学习率。4.3 基于残差连接的通道注意力机制变分核通过从输入信号中提取多频段的AM-FM信息,显著提升了网络在特征提取方面的丰富性与可靠性。然而,不同频段的故障特征并不均匀。如果直接舍弃那些包含较少故障信息的频段,可能会导致相应的梯度反向传播被中断。因此,本节引入了一种基于残差连接的通道注意力机制,以动态地增强内在的故障相关特征,同时抑制无关或错误的信息。通过这种方式,诊断模型能够更有效地从输入信号中的多个频段中识别并获取具有判别性的故障特征。 图3 基于残差连接的注意力机制结构如图3所示,基于残差连接的通道注意力机制包含一个全局平均池化层、两个核大小为 、通道数为1 的卷积核、一个 Meta-ACON 激活函数,以及一个 Sigmoid 激活函数。注意力机制的输入 被认为是多个通道上变分核特征图的组合,其中 表示 的第 个通道的特征图。 和 分别表示输入特征图的宽度和通道数。该通道注意力机制在激活过程中,通过全局平均池化层实现输入特征矩阵的降维,从而将各通道的空间信息整合为简明的通道描述符 ,其中 可通过公式计算得到: 聚合后的信息 被输入到两个卷积层中,以构建通道之间的相关性,其过程可定义为: 其中, 和 表示卷积映射函数, 是一维 Meta-ACON 激活函数。该激活函数通过平滑系数 控制神经元是否被激活以及激活的程度,其计算公式为: 其中, , 和 是可通过反向传播(BP)算法自适应调整的变量。 表示Sigmoid 激活函数。Sigmoid函数可用于计算平滑系数 ,其计算方式如下: 其中, 和 是卷积映射函数。当 时,表示该神经元处于非激活状态。随后,Sigmoid 函数被用于将输入向量 压缩到区间 内,从而得到权重向量 。该通道权重向量 可用于对变分核的原始特征图进行再调整,如公式所示: 因此,通道注意力机制的最终输出结果可表示为: 4.4 基于变分核卷积神经网络的故障诊断为了使网络第一层所提取的特征具备明显的物理意义,将前述所提出的变分核(Variational Kernel)嵌入至传统CNN的初始卷积层中,替代原先随机初始化的卷积核。随后,本文提出了一种用于滚动轴承智能故障诊断的新型方法,即基于变分核卷积神经网络(VKCNN)。该故障诊断方法的流程如图4所示,其具体实现过程如下: 图4 基于VKCNN的智能故障诊断方法流程图(1)第一层变分核的设计:为网络第一层中的每个通道设计具有不同中心频率与平衡参数的变分核滤波器。类似于VMD,频率被归一化到区间 。由于正负频率包含相同的幅度信息,故实际仅考虑正频率区域中有效频带的定位, 的取值限制在 区间内。(2)通道注意力机制的引入:通过多通道注意力机制实现对变分核所提取的各频段模态分量的自适应权重分配。随后,得到的通道重标定特征图被输入到与标准CNN结构相同的主干网络中。网络的结构参数详见表1。表1 网络的结构参数 (3)全连接层的映射:使用全连接层将特征映射到标签空间,实现训练样本故障类型标签的预测。(4)基于分类误差的反向传播:根据预测标签与真实标签计算分类误差的损失函数,并在反向传播(BP)过程中用于更新变分核的中心频率 和平衡参数 。训练完成后,所提出的VKCNN模型可用于测试数据的故障类型分类。为验证所提VKCNN方法的有效性,本文与传统CNN模型进行了对比。此外,为体现基于数据驱动、可更新参数策略的信号处理方法在特征提取方面的优势,本文还将其与结合不可训练的VMD与CNN的组合方法进行对比。后者采用启发式优化算法在信号预处理阶段优化VMD参数。此外,本文还在相同故障数据集上应用了将第一层CNN卷积核重新定义为小波核网络(Wavelet Kernel Network)的方式进行对比,所使用的小波包括Morlet小波核与拉普拉斯小波核(Laplace Wavelet Kernel)。为确保比较的公平性,本文所有用于对比的方法均使用相同的网络主干结构。5 实验验证为探讨VKCNN的特性并验证其有效性,本文分别在案例一和案例二的滚动轴承数据集上进行了实验验证。此外,本文还将所提出方法的结果与其他基于深度学习的智能故障诊断方法进行了对比分析。5.1 案例一案例一中所采用的数据集来自凯斯西储大学轴承数据中心。图5展示了本实验所使用的测试平台结构。实验中选用的是6205-2RS JEM 型驱动端轴承的振动数据。振动信号采集条件如下:电机负载为 0 至 3 马力(HP),对应的转速分别为 1797 r/min、1772 r/min、1750 r/min 和 1730 r/min。每种故障类型对应的加工直径分别为 0.178 mm、0.356 mm 和 0.533 mm。因此,在每一种工况下,共设定了包括正常状态在内的十种轴承健康状态标签。此外,依据不同的工作条件,振动信号被划分为四个数据集,分别为 D1、D2、D3 和 D4。 图5 CWRU试验台在数据预处理过程中,采用非重叠滑动窗口采样方法对振动信号进行截取,每个故障样本包含 1024 个数据点。随后,将整个数据集按照 4:1 的比例随机划分为训练集与测试集。在样本标准化阶段,对每个样本进行零均值归一化,并引入少量高斯白噪声,以防止模型训练过程中的过拟合现象。在分类任务中,本文所提出的方法(VKCNN)将与四种其他智能诊断方法进行对比:传统卷积神经网络(CNN);基于拉普拉斯小波核的卷积网络(LapCNN);基于Morlet小波核的卷积网络(MorCNN);不可训练参数的VMD与CNN组合方法(VMD + CNN)。为验证网络的稳定性并减少随机因素对结果的影响,每组实验均重复进行10次,并在相同任务下统计各网络的平均分类准确率与标准差。实验结果如图6所示。 图6 不同模型基于CWRU数据集的识别结果结果显示,本文提出的 VKCNN 模型在不同工况下的分类任务中表现出色,其平均准确率接近 100%。此外,其标准差在所有模型中最小,说明该网络在故障特征的识别与提取方面表现出最强的稳定性。就CNN模型而言,虽然其诊断准确率仅次于VKCNN,但其标准差较大,表明诊断性能波动性较强,存在一定程度的过拟合问题。通过比较LapCNN与MorCNN的诊断结果发现,LapCNN的性能优于MorCNN,可能是因为其波形更适合匹配故障信号中的冲击成分。因此,在实际应用中为小波核网络选择合适的小波核是十分关键的。相较而言,VMD + CNN方法的平均准确率较低,主要原因在于该方法的网络第一层不含可训练参数,导致该层提取的特征为固定形式,从而影响后续层的特征学习,造成整体性能下降。为了对模型的性能进行更深入的评估,本文在0 HP 工况条件下展示了各模型的训练过程,如图7所示。 图7 训练集的准确率与损失曲线首先,从图7(a)可以看出,在初始迭代阶段,CNN 与 VMD + CNN 由于第一层卷积核采用随机初始化,其分类准确率较低。相比之下,VKCNN、LapCNN 和 MorCNN 在第一层引入了领域知识,因而准确率更高,说明这类模型能够更快地提取具有代表性的特征。其次,从结果中可以发现,VKCNN 具有更快的收敛速度,且能够收敛到更高的准确率,而 VMD + CNN 和 MorCNN 的收敛速度最慢,且准确率较低。尽管CNN在最终也能达到较高准确率,但由于其特征提取过程中的不稳定性,收敛后的准确率仍存在局部波动,这一现象也与图6中的结论一致。类似地,从图7(b)所示的损失函数曲线也可以得出相同的结论。 图8 训练前后结果对比:(a) 变分核3的频率响应;(b) 变分核3的输出特征图;(c) 变分核7的频率响应;(d) 变分核7的输出特征图图8展示了所提出模型中变分核3和变分核7在训练前后各自的频率响应与输出特征图,输入数据为内圈故障信号。可以明显看出,训练前后变分核的频率响应与输出结果存在显著差异。如图8(a)所示,变分核3在训练前后的频率响应差异主要体现在中心频率的变化上。由图8(b)可以观察到,通过调整中心频率,该频段的幅度信息被更加清晰地突出出来。变分核7的变化则主要体现在频率响应曲线的带宽方面,如图8(c)所示。由图8(d)可以看到,训练后由于带宽减小,除了主频成分外,输出特征图中其余频率成分被有效抑制。综上所述,本文提出的变分核不仅能够自适应地在频域中搜索主频成分,还能有效抑制所提取模态分量中的噪声成分。 图9 不同模型在噪声数据集 D1 上的识别结果从图9可以看出,在所有测试的信噪比条件下,所提出模型的平均诊断准确率均优于其他四种同样基于CNN的诊断模型。尤其在 SNR 分别为约 2 dB 和 −4 dB 的情况下,VKCNN 的诊断准确率仍可达到 94.86% 和 90.35%。相比于四个对比模型中表现最好的 CNN,其准确率分别提升了 22.94% 和 42.06%。这表明,通过对 VKCNN 中平衡参数的迭代更新,模型展现出了强大的抗噪能力。此外,尽管噪声强度的增加会导致诊断模型的故障识别准确率下降,但具有良好抗噪鲁棒性的模型仍能有效抑制噪声干扰。例如,在信噪比为 −4 dB 的强噪声情况下,噪声强度比原始振动信号高出 2.5 倍,CNN、MorCNN、LapCNN 以及 VMD + CNN 的诊断准确率分别下降了 34.13%、28.76%、30.45% 和 32.29%,而 VKCNN 仅下降了 7.45%,进一步证明了其优异的抗噪性能。作为模型的消融实验,本文还测试了去除通道注意力机制的变分核模型(VKCNN1)在同一噪声数据集下的表现,结果亦展示于图9中。与本文中其他四种对比模型相比,VKCNN1 在所有SNR条件下的故障识别准确率均为最高。尤其在 SNR 为 −4 dB 的强噪声场景中,VKCNN1 的准确率相比 CNN、MorCNN、LapCNN 以及 VMD + CNN 分别提高了 40.11%、63.56%、53.82% 和 54.04%。这说明所提出的变分核滤波器能够在强噪声中有效提取深层嵌入的判别性特征,从而在复杂噪声环境下仍能保持较高的诊断精度。同时,将本文提出的诊断模型与 VKCNN1 的结果进行比较可发现,引入通道注意力机制的 VKCNN 模型准确率略高于未引入注意力机制的 VKCNN1。这一差异归因于注意力机制能够对不同频带中的故障特征进行通道级别的动态权重分配,增强故障相关特征、抑制冗余特征。因此,通道注意力机制的设计对于提升模型的诊断性能具有显著作用。5.2 案例二在如图10所示的滚动轴承故障测试平台上进行实验验证。测试所使用的轴承型号为 NTN-NU204,故障类型为通过线切割方式造成的单点损伤,包含外圈故障与内圈故障两种。缺陷的深度分别为 0.05 mm、0.15 mm 和 0.25 mm,分别对应轴承失效的不同严重程度,缺陷宽度统一为 0.5 mm。 图10 滚动轴承试验台本实验在三个不同的运行工况下采集振动数据,转速从 500 rpm 逐步提升至 1300 rpm,采样频率为 100 kHz。因此,在每个工作条件下,包含正常状态在内,共有 7 类标签。该数据集的具体说明见表2。表2 轴承数据集的具体说明 实验结果如表3所示。结果表明,在多种工况下,所设计的 VKCNN 在诊断性能上明显优于其他对比模型。表3 案例二中的分类结果 特别是在第一工况中,尽管该工况下由转速所引起的振动与冲击相对其他工况较弱,但所提出的模型在诊断准确率上仍明显优于其他模型中表现最好的 CNN,表明 VKCNN 能够有效提取有助于提升诊断精度的 AM-FM 信息。同时,表3还列出了各模型在训练与测试过程中的时间消耗。可以观察到,由于变分核在单次操作中需执行较复杂的数据处理,VKCNN 相较于 CNN 在训练与测试阶段耗时略长。然而,其出色的诊断精度与稳定的网络性能完全值得投入额外的时间。相比之下,VMD + CNN 模型的计算成本最高,其额外计算主要来自于自适应信号处理中的迭代求解过程。作为一种依赖大数据的智能故障诊断方法,这种模型显然在实际应用中面临较大挑战。此外,本文还对所有对比模型的模型复杂度进行了说明,包括其参数数量(Params)与每秒浮点运算次数(FLOPs)。图11展示了各诊断模型在三种工况下的平均准确率与其模型复杂度之间的对比。可以看出,CNN 模型具有最高的参数规模与FLOPs,是所有模型中复杂度最高的,然而,较大的参数数量也意味着其更易发生过拟合。另外,从 MorCNN 与 LapCNN 的情况来看,其模型复杂度与训练时间基本相近。但如 VKCNN 与 CNN 的对比所揭示,模型复杂度与计算时间并不总是呈正相关关系。 图11 平均准确率与模型复杂度对比:(a) 准确率与参数数量(Params)的关系;(b) 准确率与每秒浮点运算次数(FLOPs)的关系为了进一步分析各模型对不同故障类型的分类准确率,图12给出了各模型在数据集 S1 实验中的混淆矩阵,图13则绘制了各诊断模型的测试损失曲线,以辅助实验结果分析。从 VKCNN 的混淆矩阵可以看出,除标签3略高的识别错误率外,其他类别的识别准确率均超过 90%。标签3多被误判为标签2。根据表2,标签2与标签3均为内圈故障数据,但缺陷尺寸不同。由于这两类数据在故障严重程度上的差异较小,特征具有较高相似性,因而对诊断模型提出了较高的区分能力要求。 图12 诊断模型的混淆矩阵:(a) VKCNN;(b) CNN;(c) LapCNN;(d) VMD + CNN从图13可以明显观察到,VKCNN 的损失曲线收敛最稳定,表明其训练过程更加平稳、收敛效果更优。相比之下,CNN 的收敛最不稳定,表明其可能存在明显的过拟合问题。而 MorCNN 与 VMD + CNN 的测试损失值普遍较高,可能是由于特征提取能力不足所导致的欠拟合问题。 图13 诊断模型的测试损失表4展示了各诊断模型第一层参数数量的对比情况。对于 CNN 的第一层卷积结构,其可训练参数数量等于卷积核长度L与卷积核数量N的乘积。因此,如果该层使用较长的卷积核,将会显著增加需要训练的参数量。相比之下,VKCNN 的第一层仅包含N个可训练参数,大大减少了模型的复杂度与过拟合风险。因此,从模型结构角度分析,CNN 更容易受到过拟合的影响,而 VKCNN 在保持特征表达能力的同时,有效控制了模型复杂度,展现出更强的泛化能力。表4 不同诊断模型第一层结构对比 此外,为验证所提出模型的鲁棒性,本文还使用噪声数据集 S2 进行测试,实验结果如表5所示。从结果可以看出,在四种不同噪声水平下,VKCNN 的诊断准确率始终优于其他对比模型,且随着噪声强度的增加,其在抗噪性能方面的优势愈发明显。具体而言,当 SNR 为 2 dB 时,VKCNN 在测试准确率上相较于 CNN、MorCNN、LapCNN 和 VMD + CNN 分别提升了 7.93%、7.45%、9.64% 和 10.02%。而在 强噪声条件下,VKCNN 的诊断准确率相较于上述基线模型分别提升了 28.53%、13.89%、37.4% 和 26.81%,表现出显著的抗噪性能提升。上述分析进一步表明,VKCNN 在抗噪鲁棒性方面具有突出的优势,能够在强噪声干扰环境中保持良好的故障识别能力。表5 不同模型在噪声数据集 S2 上的诊断准确率 6 模型可解释性分析本部分从两个方面对 VKCNN 的模型可解释性进行分析,包括网络第一层的特征提取形式以及模型学习机制。第一个方面旨在通过可视化网络第一层的特征图来直观描述模型的特征提取形式,并进一步分析稀疏特征图对模型泛化能力的影响;第二个方面则尝试通过注意力权重的可视化,探讨深度学习模型学习机制与人工故障诊断知识之间的潜在联系。6.1 网络第一层的特征提取形式不同诊断模型第一层的特征图可视化结果如图14所示。可以观察到,VKCNN 的第一层特征图将提取到的特征映射为由多个单尺度模态组成的多通道滤波模态映射,该结构充分融合了来自不同模态、不同尺度下的判别性信息,包括中心频率、带宽与幅度等因素。提取特征之间不存在混叠现象,使得特征映射具有高度简洁与稀疏性,这不仅有利于后续的快速识别,还为模型的决策过程提供了事后可解释的特征表示。同时还可以发现,与变分核相比,其余三种类型卷积核对应的特征映射明显更加复杂,不同卷积核之间提取到的频率成分也非常相似。本质上,正是由于引入了基于抗混叠约束的模态滤波机制,使得变分核能够有效挖掘具有判别特性的模态成分,进而形成具有良好区分能力的稀疏特征映射。 图14 不同核的特征映射:(a) 变分核;(b) 卷积核;(c) 拉普拉斯小波核;(d) Morlet 小波核为说明第一层特征图的稀疏性对诊断模型泛化性能的影响,表6列出了不同诊断模型的 Gini 指数 和 损失比值 。其中,Gini 指数 用于评估模型第一层特征图的稀疏性,数值越大表示特征图越稀疏,稀疏性越好;损失比值 为模型训练集与测试集在最后 10 个训练周期内的损失均值之比。该比值越接近于 1,说明模型受到过拟合影响较小,即具有更好的泛化能力。表6 诊断模型的 Gini 指数与损失比值 从表6可以看出:变分核具有最大的 Gini 指数和最大的损失比值,说明其特征图最为稀疏,且模型的泛化性能最优;卷积核与拉普拉斯小波核的 Gini 指数较小,对应的损失比值也较小,且两者的数值接近,表明其稀疏性和泛化性能相对较弱;此外,Morlet 小波核的 Gini 指数和损失比值也显著高于卷积核与拉普拉斯小波核,说明其在稀疏性与泛化能力方面表现更优。综上可见,特征图的稀疏性对模型的泛化能力有正向影响,而变分核凭借其稀疏性优势在建模过程中展现出更好的鲁棒性与诊断性能。以上分析充分说明了特征图稀疏性与损失比值之间存在正相关关系,据此可以推断:增强网络第一层特征图的稀疏性,有助于显著提升模型的抗过拟合能力。需要指出的是,尽管 Morlet 小波核的特征图具备良好的稀疏性,但从图14(d)中的幅度信息可见,其特征提取能力较弱,无法充分提取某些频段中的频率成分。综上所述,变分核通过专注提取特定频段的信息,不仅在一定程度上避免了特征间的重叠,还提升了网络第一层对输入信号的稀疏表达能力,最终有效增强了模型的泛化性能。6.2 诊断模型的学习机制 为了更好地理解诊断模型在整个训练过程中的学习机制,本文对模型从频率域中学习到的注意力权重进行可视化,得到如图15所示的注意力权重谱图。图中不同颜色代表不同的注意力权重值,其中红色表示权重最高的区域。图15 注意力权重谱图:(a) 训练前;(b) 训练后从谱图中可以观察到,频谱中的明显峰值被注意力机制有效捕捉到,这一结果与人脑对信息处理的认知机制高度一致。通过对比训练前后的注意力权重谱图还可以发现,一些初始权重较低的频段在训练后其权重显著上升,表明网络能够通过训练自适应地增强与故障相关的激活映射,从而提取更具判别性的故障特征。同时,图15(b)中以玫红色圆圈标出的频段在原始幅度信息中并不明显,但其对应颜色显示该频段在训练过程中触发了注意力机制。这说明模型在某些频段中学习到了潜在的、有用的诊断信息,即使这些信息在幅值上并不突出。为了进一步验证这一现象的合理性,本文引用了 Infogram 分析方法。Infogram 是一种有效的工具,可用于寻找信号的最优共振频带。该方法通过频谱负熵指标来表征故障重复瞬态在频率域中的循环平稳性。如图16(a)所示,利用 Infogram 分析可以定位出信号的共振频带为 [4500, 6000] Hz。进一步通过图16(b)中的包络谱分析可以发现,该频段确实包含了与故障相关的重复瞬态特征。更为重要的是,Infogram 所定位的频带与图15(b)中注意力机制标记的频段基本一致。这一结果说明,深度神经网络模型的学习机制与人工轴承故障诊断知识高度契合,具有良好的物理可解释性与诊断逻辑一致性。图16 基于 Infogram 方法的分析结果:(a) 共振频带的确定;(b) 包络谱分析6 结论考虑到在复杂信号调制条件下,轴承故障信息在频域中呈现出多尺度分布特性,本文提出了一种可解释的变分核(Variational Kernel),能够自适应地提取有用的 AM-FM 信息。将该变分核的先验知识嵌入到 VKCNN 网络结构中,为模型提供了一个数据驱动且具有可解释性的特征提取方案。将所提出的 VKCNN 应用于两个不同轴承数据集的故障诊断实验,得出以下结论:(1)解决了忽略虚部及不同尺度可训练参数协同更新的问题,通过建立复数梯度与实际可训练参数在同一尺度下的映射关系,确保了数据驱动机制在变分核中对可学习参数的有效更新,从而避免了以往忽略虚部信息或尺度失衡带来的误差。(2)采用反向传播算法实现变分核参数的自动学习,通过使用 BP 算法对变分核的两个核心参数进行更新,有效规避了现有信号预处理与深度学习网络两阶段方法中存在的参数固化问题。具备自学习能力的变分核能够聚焦于物理上具有意义的 AM-FM 成分,增强了其可解释性。(3)引入通道注意力机制实现跨频带特征的自适应增强,通道注意力机制可根据不同频带模态特征对诊断结果的贡献程度,自适应地为各频带分配通道级别的权重。(4)特征图可视化验证了稀疏 AM-FM 特征对模型泛化能力的提升,通过可视化第一层特征图,可以发现 VKCNN 所提取的 AM-FM 特征具有良好的稀疏性,从而显著提升了诊断模型的泛化性能。进一步结合注意力权重谱与 Infogram 方法的结果,可知模型学习机制与人类对轴承故障的认知模式高度一致,增强了模型诊断结果的可靠性与可解释性。编辑:Jin校核:李正平、陈凯歌、赵栓栓、曹希铭、赵学功、白亮、任超、海洋、Tina、陈宇航、陈莹洁、赵诚该文资料搜集自网络,仅用作学术分享,不做商业用途,若侵权,后台联系小编进行删除来源:故障诊断与python学习

未登录
还没有评论
课程
培训
服务
行家
VIP会员 学习计划 福利任务
下载APP
联系我们
帮助与反馈