1、*MAT_ELASTIC [type 1]
简单弹性材料模型。
*MAT_PLASTIC_KINEMATIC [type 3] (*)
简单的双线性应力-应变关系。
*MAT_PIECEWISE_LINEAR_PLASTICITY [type 24] (*)
应力-应变曲线、应变速率效应和失效。
*MAT_MODIFIED_PIECEWISE_LINEAR_PLASTICITY [type 123]
类似于24型,具有额外的失效选项-只能在张力下失效。如没有压缩失效,适用于金属。
*MAT_PLASTICITY_COMPRESSION_TENSION [type 124] (*)
各向同性弹塑性材料,具有针对拉伸和压缩定义的独特屈服应力与塑性应变。
*MAT_PLASTICITY_POLYMER [type 89] (*)
适用于聚合物的弹塑性材料。
2、*MAT_PLASTIC_KINEMATIC [type 3]
• Von Mises屈服准则
• BETA=0 随动硬化使屈服表面直径保持恒定,同时移动表面中心
• BETA=1各向同性硬化使屈服面中心在空间中保持固定,同时允许直径增加。
• Typical material properties for mild steel:低碳钢的典型材料特性:


3、*MAT_PIECEWISE_LINEAR_PLASTICITY [type 24]
主要用于以下场合:
• 金属韧性材料
• 玻璃
• 工程塑料,如ABS和聚丙烯(需要注意应力-应变曲线以允许稳定屈服),应力-塑性应变曲线用于后屈服行为。这通常是从拉伸测试数据或弯曲测试中获得的。
• 使用的应力应变曲线为真应力与塑性应变。
通常测试数据是在工程应力和应变中给出的,因此可能需要进行转换。


该材料特性是一旦在拉伸试验中出现颈缩,测得的曲线不再适用于样品的整个标距长度,因此其含义值得怀疑。最好只是将曲线外推超过颈缩开始的点。 LS-DYNA将曲线分成100等距的点;如果最大应变值非常大,可能会导致精度损失;建议最后一点约为2.0。


1、工程与真实应力的关系
1)工程应力
指在拉伸或压缩试验过程中,施加在样件的载荷除以样件的初始横截面积:

式中σ_e为工程应力,A_0为样件初始截面积。
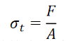
2)真实应力
指在拉伸或压缩试验过程中,施加在样件的载荷除以实际截面积(不是初始截面积A_0)

式中σ_t为真实应力,A为样件当前实际截面积。
3)真实应力与工程应力的关系
根据样件拉伸过程中塑性阶段的体积不变假定,即
,即

2、工程与真实应变的关系
1)工程应变
定义:样件标距范围内的伸长量除以标距的初始值:

式中ε_e为工程应变,∆l为样件的长度变化量。
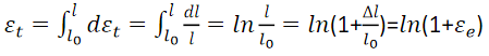
2)真实应变
定义:真实应变的增量指瞬时伸长量除以瞬时长度,真实应变为增量总各。

式中dε_t为真实应变增量,dl为长度的增量。
3)真实应变与工程应变的关系
将真实应变增量进行积分,可得

3、工程与真实应变的关系
1)若样件初始长度l0为100mm,伸长后长度l为105mm,则
工程应变为:

真实应变为:

2)若样件初始长度l0为100mm,伸长后长度l为300mm,则
工程应变为:

真实应变为:

从工程应变与真实应变的结果看,在小变形阶段(如弹性阶段),两者相差不大,结果比较接近,多数情况下小于5%;但在变形比较大时,差异达到大于45%。
