首页/文章/ 详情

近场动力学(Peridynamics)前沿研究:理论,实验和数值计算

15小时前浏览9

文一:

 

近场动力学与格子动力学波频散关系的比较

摘要:

近场动力学是一个非局部连续体公式,在一个称为视界的信息域内的物质点可以相互作用。近场动力学也有能力表示在真实材料中观察到的波色散,尤其是在较短的波长下。因此,波的频率和波数在近场动力学中具有非线性关系。在这项研究中,我们提出了近场动力学的波频散特性,并与格子动力学进行了比较,以通过文献中第一次的迭代过程来确定包括铜、金、银和铂在内的不同材料的视界尺寸。这项研究还显示了近场动力学相对于经典连续力学的优越性,因为它具有长度尺度参数,horizon,这使得近场动力学能够表示短波长和长波长的整个色散曲线范围,而不是经典力学对长波长的限制。

 

图:铜的色散关系:一维;b二维

 

图:银的色散关系:一维;b二维

 

图:白金的色散关系:一维;b二维

文二:

 

基于常态近场动力学的二维正交各向异性材料断裂力学研究

摘要:

利用基于常态的近场动力学理论研究了正交异性板的断裂行为。在OSPD的基础上,考虑材料正交性,提出了一种新的非局部相互作用积分公式,用于断裂参数的评估。通过使用近场动力学微分算子,可以将公式中的偏微分项转换为相应的空间积分形式,这有助于在OSPD框架内计算应力强度因子。它建立了经典理论与近场动力学理论之间的关系。仔细评估静态和动态断裂参数。用OSPD中的原型微弹脆性准则和经典理论中的最大周向应力准则预测了裂纹的扩展方向。对几种正交各向异性材料的预裂板进行了检验,并通过与参考解的比较验证了结果。研究了纤维取向与裂纹倾角的关系。同时,对PMB准则和MCS准则确定的裂纹倾角进行了比较和讨论。详细讨论了近场动力学正交各向异性模型的精度和所提出的非局部相互作用积分。

 

图:OSPD中的变形和成对力

 

图:复合材料薄板中不同类型的结合

 

图:裂纹尖端周围区域J积分图

 

图:正交各向异性板的几何形状:(a)边缘裂纹,(b)中心裂纹。

 

图:裂纹张开位移比较

 

图:OSPD预测初始和最终裂纹阶段

文三:

 

利用近场动力学预测石墨烯的力学性能和断裂性能

摘要:

尽管石墨烯被认为是最强的材料,但这种材料的许多性能仍然值得探索和发现,特别是其制备过程中不可避免的缺陷对力学性能和断裂性能的影响,具有重要意义。这项工作为研究石墨烯的力学性能和断裂性能提供了一种新的可行方法。本研究的新颖性有三个方面:(1)提出了一种新的多晶石墨烯的近场动力学(PD)模型,其中存在大尺寸晶粒;(2) 揭示了裂纹前长度和晶粒尺寸对伪Hall-Petch反关系的耦合效应;(3) 结果证实了经典Griffith理论在石墨烯脆性断裂分析中的适用性。基于所提出的PD模型,本研究研究了力学性能和断裂性能对从几纳米到几百纳米的晶粒尺寸的依赖性。石墨烯的断裂形式与实验观察结果一致。基于Griffith理论,获得的断裂韧性如Kc或Gc与先前报道的理论和实验值相当,这证明了所提出的PD模型的有效性。此外,钝的裂纹前尖端可以大大提高断裂韧性。这项工作为石墨烯的机械失效提供了见解,并为其实际应用提供了石墨烯碎片化的指导。

 

图:在实验中,(a)脆性断裂之前和(b)脆性断裂之后的预裂石墨烯样品的形式。

 

图:PD模型中材料点之间的相互作用。(a) 初始PD配置,(b)变形PD配置。

 

图:考虑不同晶粒的手性角之间的差异,研究了PD模型中材料点之间跨越晶界的相互作用。

 

图:通过移动左右边界进行单轴拉伸的预裂多晶石墨烯样品。不同的颜色代表样品中不同的颗粒。

 

图:从PD模拟中获得的石墨烯的应力-应变关系和断裂形式。

 

图:石墨烯在先前工作中的几种断裂形式,包括裂纹偏转、裂纹分支以及晶间和跨晶断裂

 

图:晶粒尺寸和裂纹前长度对石墨烯杨氏模量的影响。裂纹前长度对杨氏模量的影响大于晶粒尺寸

 

图:裂纹前尖端半径对石墨烯临界应力强度因子和临界应变能释放率的影响。裂纹前尖端越钝,断裂韧性越高。

文四:

 

弯曲弹性梁的近场动力学分析

摘要:

近场动力学是一种扩展的连续体理论,适用于非局部变形测量以及长范围内力/力矩相互作用。本文的目的是提出并分析弹性曲线梁的近场动力控制方程。为此,应变能量密度被公式化为两个非局部变形措施的函数,包括轴向变形和曲率。应用拉格朗日形式,导出了运动的近场动力学方程。为了分析有限长度的曲梁,需要有近场动力学边界条件。通过引入虚拟域,给出了包括简单支撑和夹边在内的边界条件的例子。给出了各种问题的PD运动方程的解,包括简支和夹持弧形梁的静态分析,以及细长环和简支弧形梁的模态分析。为了验证近场动力学公式,将位移、固有频率和振动模式的解与经典梁理论的解进行了比较。对于小地平线尺寸的情况,在非局部理论和经典理论之间观察到非常好的一致性,这表明了导出的运动方程和提出的边界条件的能力。

 

图:弯曲梁的几何图形和坐标。

 

图:静态横向荷载下的弧形梁。(a) 简支梁,(b)夹紧梁。

 

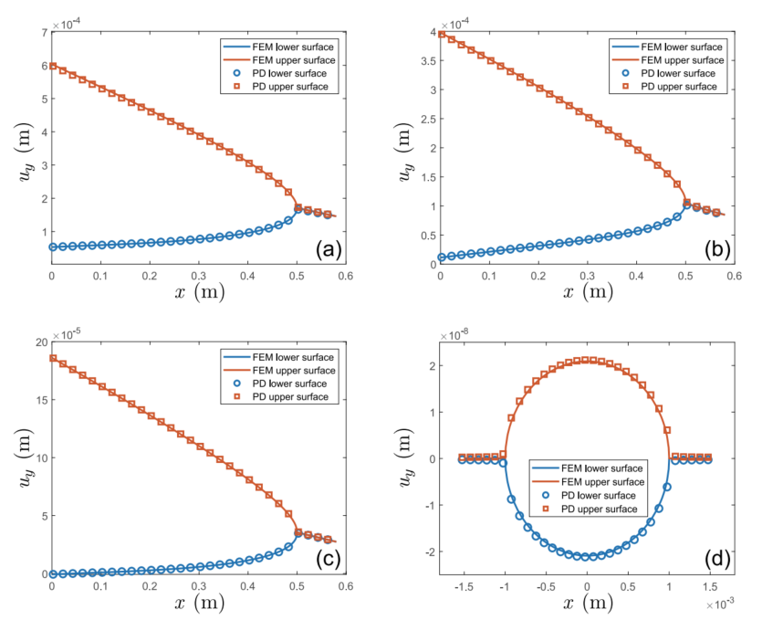
图:静载荷作用下简支圆弧梁的位移与轴向位置。(a) 轴向位移,(b)法向位移。

 

图:自由环振动的前几种模式

文五:

 

使用近场动力学对核燃料芯块进行中子-热-力学耦合分析

摘要:

本研究介绍了一种使用基于状态的近场动力学(PD)理论模拟核燃料芯块破裂行为的综合方法。与现有的燃料芯块热力学模型不同,这种新的多物理框架耦合了中子扩散、传热和机械变形。首次提出了多群中子扩散分析的PD形式,并与PD热力学分析相结合。PD中子扩散系数是根据传统的中子扩散系数求出的。采用源迭代法求解多组中子扩散的PD型方程,保证了数值的稳定性和收敛性。这种方法证明了它在捕捉中子扩散的复杂行为方面的有效性。它进一步扩展到分析AP1000核反应堆的晶格单元,考虑中子燃料和功率密度的不均匀分布,以进行机械损伤的综合评估。这种多物理耦合方法增强了对燃料芯块裂解的理解,并促进了先进反应堆安全策略的发展。

 

图:中子扩散、传热和机械力的耦合

 

图:溶液过程图

 

图:非均匀域中物质点的近场域大小

 

图:PD材料点的变形

 

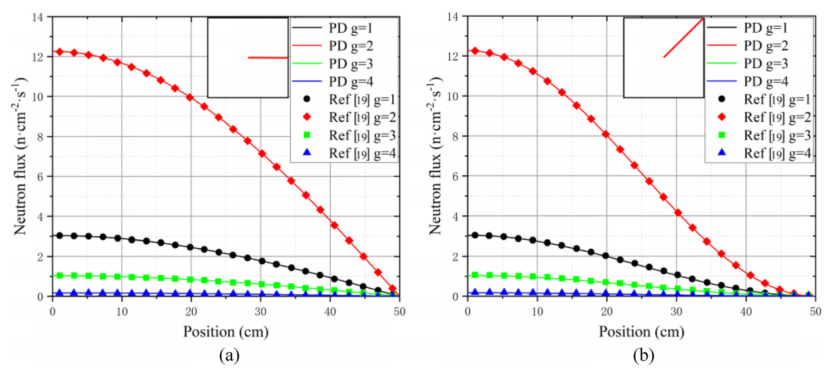
图:全真空边界区域中子引信分布的局部放电预测

 

图:在具有所有真空边界(a水平,b对角线方向)的区域中,中子引信与参考溶液的局部放电预测的比较。

 

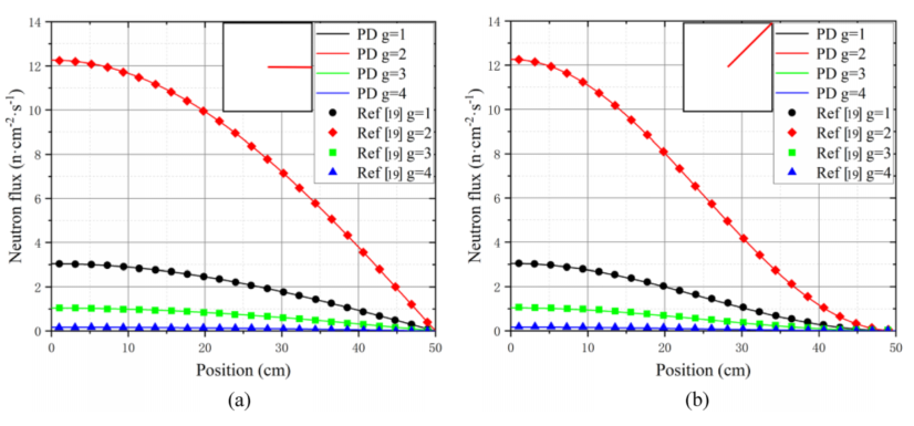
图:在具有反射和真空边界的区域中,中子引信与参考溶液的局部放电预测的比较:a水平,b对角线方向

 

图:非均匀离散化中子引信分布的局部放电预测

 

图:功率下降过程中的裂纹扩展

 

图:球团顶面裂纹形态与实验观察的比较

 

图:球团侧面轴向裂纹与实验观察的比较

来源:STEM与计算机方法
振动断裂复合材料非线性裂纹理论自动驾驶材料数字孪生控制
著作权归作者所有,欢迎分享,未经许可,不得转载
首次发布时间:2025-11-01
最近编辑:15小时前
江野
博士 等春风得意,等时间嘉许。
获赞 56粉丝 83文章 153课程 0
点赞
收藏
作者推荐

颗粒建模(Particulate modelling)与离散元仿真

文一: 基于光滑化方法的高炉滚道动力学粒子尺度模拟摘要:在炼铁高炉等化工应用中,侧向高速气体注入填充床形成回旋空腔的方法已经得到普遍应用,而传统的采用低分辨率网格的未解析 CFD-DEM 方法不能很好地解决高雷诺数气体流动和狭窄孔口的问题。在这项工作中,我们发展了一种平滑方法,通过求解各向同性的扩散方程,将离散粒子和连续相之间的量以网格无关的方式传递。利用矩形箱内单颗粒的沉降和喷动流化床内的气固流体力学两种情况对模型进行了验证。在此基础上,采用 CFD-DEM 方法和光滑化方法对滚道动力学进行了数值模拟。仿真结果表明,采用高分辨率网格的平滑方法可以很好地捕捉到类似羽流的滚道。提出了用腔体的边界和体积作为定量确定滚道型线的两个判据。空腔体积分别为3.03 × 10-3m3、3.91 × 10-3m3、4.49 × 10-3m3,三种进气速度分别为210m/s、230m/s 和250m/s。较高的进气速度需要较短的时间来建立平衡状态。 图:(a) 高炉内滚道的示意图;(b) 传统CFD-DEM方法的建模策略,其中U0和dp分别为气体入口速度和颗粒直径;(c) 已解决和未解决的CFD-DEM方法之间的差距。 图:耦合算法的流程图。 图:(a)采样点策略示意图;(b) DPVM方法;(c) 固体体积分数计算的平滑方法。 图:喷口流化床示意图。 图:滚道形成随时间的演变。 图:根据(a)滚道边界,比较两种方法之间的滚道轮廓;和(b)滚道体积。文二: 鼓泡流化床传热传质的颗粒尺度研究摘要:在本研究中,使用具有粒度多分散性的CFD-DEM方法和其他热化学子模型模拟了鼓泡流化床(BFB)中焦炭燃烧的多相流和热化学行为。该模型首先在混合指数、颗粒温度和颗粒直径方面进行了验证。然后,应用它来检验每种传热模式的贡献,并全面研究焦炭和沙子的颗粒尺度行为。结果表明,在模拟具有多分散颗粒的BFB系统时,应使用多分散阻力模型来准确再现床层流体动力学。在模拟条件下,通过对流、传导、辐射和煤焦反应到达煤焦颗粒的颗粒平均热通量分别为9.79%、0.82%、40.44%和48.95%;对流、传导和辐射对砂粒的平均热通量分别为30.28%、1.0%和68.72%。对于活性炭颗粒,辐射和反应热占主导地位,而对于惰性砂粒,辐射和对流占主导地位;并且对于这两种粒子种类,传导可以忽略不计。轴向扩散系数比水平扩散系数大一个数量级,表明引入的气流在决定床层流体动力学中的主导作用。 图:所研究的鼓泡流化床反应器的几何形状和尺寸。 图:电流模拟与实验数据的时间演化混合指数比较 图:当前模拟和实验数据的时间演变炭(a)温度(a)和(b)直径的比较 图:焦炭燃烧过程中瞬时颗粒流动模式的快照;(a)沙子种类;(b)粒子垂直速度;(c)颗粒温度;(d)颗粒直径。 图:不同气体入口速度下的床内固体混合。文三: 悬浮流中细粒通过固体填充床迁移的CFD-DEM模型摘要:在这项工作中,基于未解决的CFD-DEM框架,开发了一个平滑体积分布模型(SVDM)来模拟悬浮流中细粒通过固体填充床的迁移。在该模型中,通过平滑的颗粒体积分布来计算粗固体的孔隙率。使用两个固液系统对该模型进行了验证。与低分辨率网格的分割粒子体积法(DPVM)相比,SVDM方法允许高分辨率网格,并且可以实现高效率和适用性。此外,还研究了入口细颗粒浓度和固体/细颗粒比例对细颗粒迁移行为的影响。结果表明,当使用更高浓度的细相或更大的尺寸比时,可以捕获更多的细粉末,尤其是在上部区域。基于局部持率信息,提出了四种粉末迁移机制,即尺寸排除、粉末桥接、粉末沉积和粉末锁定。 图:流体-细-粗-固体系统示意图(a);多分散系统的各种方法中的典型网格分辨率(b-d):(b)解析CFD-DEM方法中的标准网格分辨率;(c) 未解析CFD-DEM模型中的典型网格分辨率;(d) 未解析/已解析的CFD-DEM模型中的理想网格分辨率。 图:原始体积分布示意图(用于PCM和DPVM)和平滑体积分布。 图:一个尼龙球在狭窄的方形通道中沉淀的几何图形。 图:使用单个颗粒沉降的模型验证:(a)不同网格分辨率下颗粒垂直速度的时间演化剖面;和(b)在不同网格分辨率下颗粒高度的时间演变曲线。 图:固液流化床的几何形状和网格设置。 图:根据(a)流动模式的实验测量,在不同液体表观速度下的二元尺寸固液流化的验证II;和(b)膨胀床高度。 图:有序填料中最小孔隙的示意图和本工作中使用的四种尺寸比。文四: 椭球状低阶煤块热解的数值研究摘要:低阶煤(LRC)升级对于在煤炭工业中使用之前将LRC转化为更热效率和更环保的燃料至关重要。压块和热解是主要的途径,其中通过两辊压块工艺,压块通常呈椭圆形。在这项工作中,建立了一个完整的数值模型来预测椭球LRC压块在填充床热解器中的热解过程。开发了一个计算流体动力学(CFD)模型来描述与椭球LRC压块热解相关的流动和热化学行为,包括脱水、热解和其他均相和非均相化学反应。采用离散元法(DEM)模型描述了椭球压块的堆积密度分布。该模型在中试台上根据温度历史和气体种类产量的测量结果进行了验证。阐述了典型的炉内现象,包括流场、温度场和产物演变。然后,定量研究了包括型煤性质和加热条件在内的关键变量对热解行为的影响。研究了型煤水分、最终热解温度和型煤长径比等关键参数对热解的影响,并确定了在给定条件下的最佳值。例如,当初始压块的水分含量在2−15%的范围内增加时,会产生更多的H2和更少的CH4,但在15−20%的范围内,H2会减少,CH4会增加。当压块的长径比为2.0时,可获得最大堆积密度。然而,当长宽比为1.7时,观察到最高的温度增加率。为了平衡热解速率和能耗,本研究建议最终热解温度为973K。该模型为优化椭球LRC压块热解器的设计和操作提供了一个具有成本效益的工具。 图:中试规模热解测试系统示意图。 图:模拟结果和实验测量结果之间的气体产量比较。 图:基本情况下型煤的剩余VM、初级焦油和次级焦油的演变。 图:根据(a)温度历史、(b)气体产物组成、(c)压块中剩余VM和(d)出口质量流速,对具有不同压块初始含水量的情况1−5进行比较。文五: 预测双分散固液流化床混合和分离行为的机器学习研究摘要:在这项工作中,卷积神经网络与长短期记忆模型(CNN-LSTM)相结合,用于预测双分散固液流化床(SLFB)中的混合和分离行为。该数据集来自CFD-DEM模拟,在一定范围的表观入口速度vl和尺寸比dl/ds下,并包括不同时间和空间维度的详细颗粒信息。CNN-LSTM模型使用CNN对原始数据进行预处理,然后将CNN的输出作为LSTM模型的输入进行模型训练。考虑了两种情况:(1)在相同的dl/ds下,vl变化;(2) 在相同vl下变化的dl/ds。使用损失函数、随机模型测试和几个定量误差评估指标(R2得分、MAE(平均绝对误差)和RMSE(均方根误差))比较了LSTM和CNN-LSTM模型的训练效果。结果表明,CNN-LSTM模型比LSTM模型具有更好的训练效果。此外,利用预测结果通过一系列指标来表征混合和偏析行为,并与CFD-DEM模拟进行了比较。比较表明,CNN-LSTM模型可以获得比LSTM模型更可靠的预测,因为即使在占用较少的网格中,CNN-LSTM模型也可以在卷积处理后捕获更复杂的特征。计算时间成本的比较表明了CNN-LSTM模型的高效性和准确性。这项工作提供了一种在时间和空间尺度上快速准确地预测颗粒流行为的方法。 图:这项工作的流程图和策略。 图:机器学习的统计网格分布。 图:本工作中(a)RNN和(b)LSTM的链状结构。 图:一个LSTM模块的内部结构细节。来源:STEM与计算机方法

未登录
还没有评论
课程
培训
服务
行家
VIP会员 学习计划 福利任务
下载APP
联系我们
帮助与反馈