首页需求大厅需求编号:XQ345357946
  • 进行中4月前发布
  • 仿真公式推导

  • ¥5000(预算仅供参考,最终价格由工程师与用户交流后确定)
  • 二次开发
  • 需求如下

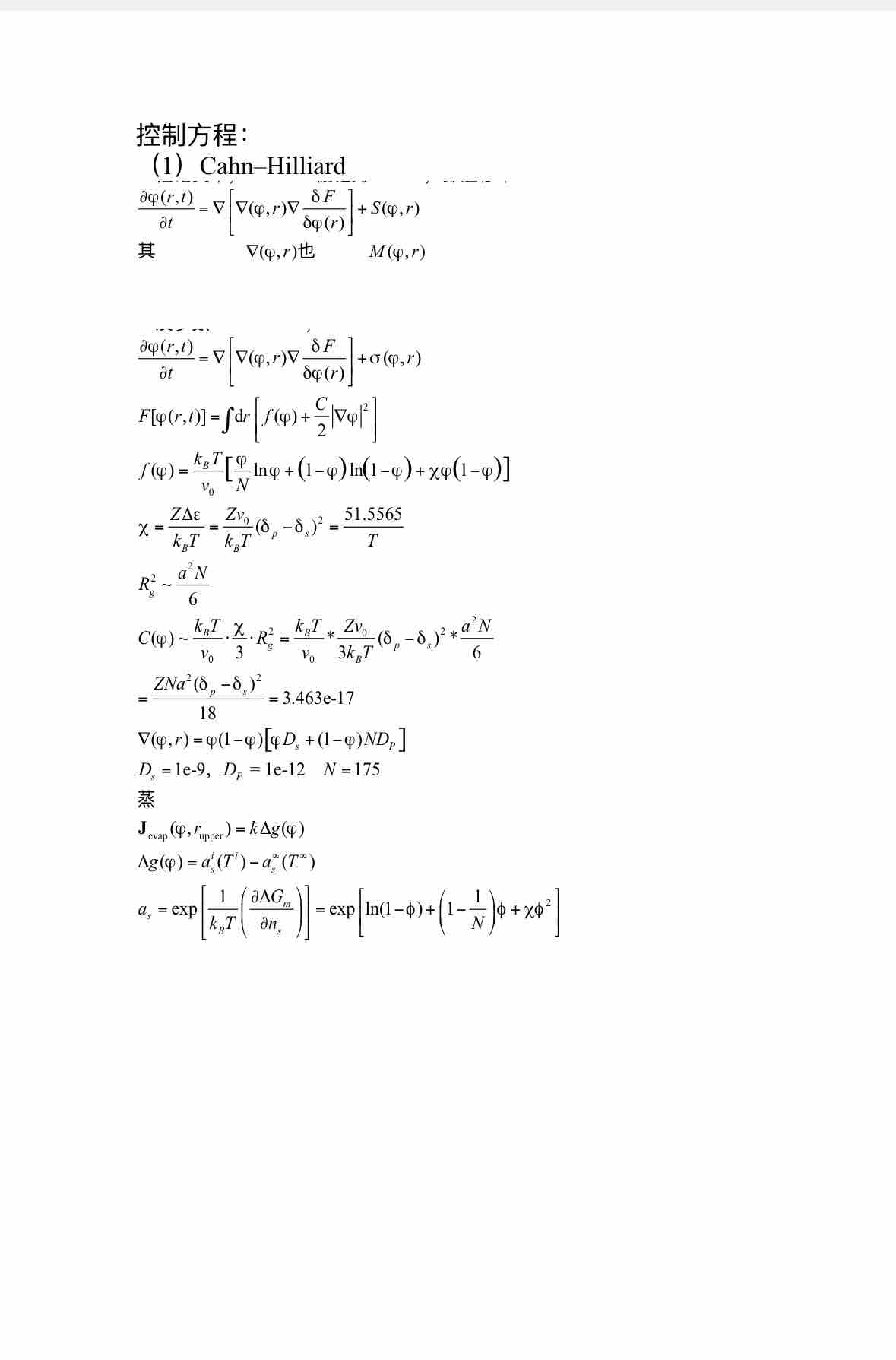
    需要模拟的过程:
    (1)聚合物溶液相分离
    Cahn-Hilliard Flory-Huggins 理论
    (2)层流模型
    (3)蒸发模型 温度&能量
    (4)动网格捕捉界面
    (5)马兰格尼效应 在界面形成致密的壳
    (6)粒子追踪

VIP会员 学习计划 福利任务
下载APP
联系我们
帮助与反馈