首页/文章/ 详情

学经典版APDL,还是Workbench?别再犹豫,看完就决定吧

1年前浏览9499

本文摘要(由AI生成):

本文主要介绍了使用ANSYS Workbench进行多物理场耦合分析的方法,并通过几个案例展示了Mechanical的强大功能。文章首先介绍了经典版APDL与Workbench之间的区别,并指出基于Workbench平台的多物理场耦合分析将是未来CAE的发展趋势。接着,文章通过五个案例分别介绍了外伸梁受力分析、细长压杆失稳分析、管子在流体中的振型分析、厚壁圆筒应力分析以及厚壁圆筒弹塑性分析的方法。最后,文章还介绍了如何在Workbench中实现变截面壳体的方法。



遥想当年网上仍在激烈争论"到底是学习经典版还是workbench?",而随着act插件的出现,经典版APDL的绝大部分高级功能已经移植到workbench中,基于workbench平台的多物理场耦合分析将是未来CAE的发展趋势,接下来用几个案例介绍Mechanical的强大。


  案例一、外伸梁受力分析  


1、问题描述

一根外伸梁受力如下,包括集中力、均布力、弯矩。对其进行静力学分析,求其支反力、挠度、剪力图、弯矩图。(详见《材料力学》王世斌主编,P102例3-4)

图1 外伸梁受力示意图

2、分析过程

采用梁单元Beam188模拟,在DM草图创建四条直线生成一个线体并赋予截面。给梁施加简支约束,按照图1加载集中力、均布力和弯矩,如图2所示。

图2 边界条件示意图

3、 求解结果

由于施加的集中力为负值,所以剪力图与理论结果反向。

图3 剪力弯矩位移图

图4 支反力结果


  案例二、细长压杆失稳分析  


1、问题描述 

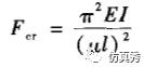
一细长杆件承受压力载荷,已知杆的横截面形状为矩形,截面的高度h和宽度b均为30mm,杆的长度l=2000mm,材料为Q235钢,弹性模量取2e5MPa,试计算不同约束条件的临界压力。

表1 压杆长度系数

杆横截面的惯性距为:

杆横截面的面积为:

杆横截面的最小惯性半径为:

杆的柔度为:

因为受压杆材料为Q235A,且柔度λ>100,所以可用欧拉公式计算其临界压力。根据欧拉公式有


当一端自由,一段固支时,Fcr=8327.48N;当两端铰支时,Fcr=33309.91N;

当一端铰支,一端固支时,Fcr=67979.42N;当两端固支时,Fcr=133239.65N。

2、分析过程 

采用梁单元Beam188模拟,在DM草图创建直线生成一个线体并赋予截面。
当一端自由,一端固支时,得到模拟值为8326.3N。

图1 屈曲结果(一端自由一端固支)

当两端铰支时,得到模拟值为33291N。

图2 屈曲结果(两端铰支)

当一端铰支,一端固支时,得到模拟值为68056N。

图3 屈曲结果(一端铰支一端固支)

当两端固支时,得到模拟值为132936.04N。

图4 屈曲结果(两端固支)

3、结果对比 

表2 结果对比



  案例三、固支管子模态分析 


1、问题描述 

有一不锈钢管子,长20m,内径0.5m,管厚0.025m,两端固定支撑,求其不同环境下的固有频率及振型:

① 在空气中;
② 管内管外充满水;
③ 仅管内充满水;
④ 仅管外充满水。 

对于管子在空气中的固有频率,根据材料力学知识,容易得到其固有频率为

其中,特征根值为 

表1 固支梁的特征根值

当r≥2时,各个特征根可近似地表示为



把管子各参数代入,得

表2 管子固有频率


2、分析过程 

为了对比不同环境下管子的固有频率结果,管子统一采用实体模型并划分相同的尺寸,具体模型网格如图1所示。整体流体域及固体域模型总共42661个节点,21038单元,网格平均偏度为0.423。

图1 模型网格

图2 网格质量

在act插件出现以前,在workbench中做湿模态分析需要插入命令流把流体域的实体186单元修改成流体220单元、实体187单元修改成流体221单元,同时通过设置keyopt打开流固耦合面上流体单元的流固耦合功能,定义流体的密度以及声音在流体的速度,设置流体域外表面的压力边界为0,采用非对称求解器来求解。

act插件出现后,直接把命令流集成在菜单栏中,操作更方便。

图3 act插件菜单栏

3、结果讨论 

在空气中的模拟结果如下:

图4 各阶振型(在空气中)

不同环境下模拟得到管子振型均相同,前三阶固有频率如表3所示。

管子在流体中的振型与在空气中的振型一致,在流体中的固有频率比在空气中低;不同环境下得到的管子各阶固有频率之间的比值一致,均为 。

同理,可以模拟多根不同布置方式的管子在不同约束条件、不同流体环境下的固有频率及振型。


  案例四、厚壁圆筒应力分析 


平面问题,实际结构都是空间结构,所承受的载荷也是空间的。但如果结构具有某种特殊形状,所承受载荷具有特殊性质,就可以讲空间问题简化为杆系结构问题、平面问题。

所谓平面问题,是指弹性力学的平面应力问题和平面应变问题。

当结构为均匀薄板,作用在板上的所有面力和体力的方向均平行于板面,而且不沿厚度方向变化,可以近似认为只有平行于板面的三个应力分量不为零,所以这种问题就称为平面应力问题。

设有无限长的柱状体,在柱状体上作用的面力和体力的方向与横截面平行,而且不沿长度发生变化。此时,可以近似认为只有平行于横截面的三个应变分量不为零,所以这种问题就称为平面应变问题。

1、问题描述

有一超高压管道,内径Ri=17mm,外径Ro=39mm,承受内压力pi=300MPa,无轴向压力,轴向长度视为无穷大。求超高压管道的径向应力 和周向应力 沿半径r方向的分布。

根据拉美(Lam )公式,有:

当仅有内压或外压作用时,上式可以简化(径比 ,表示厚壁圆筒的厚度特征)。

表1 厚壁圆筒的筒壁应力值

图1 厚壁圆筒中各应力分量分布

2、分析过程

采用2D平面应变分析,根据对称性取四分之一模型进行模拟。创建新的圆柱坐标系,施加对称约束或者无摩擦约束,在内孔表面施加压力载荷,选取半径作为路径方便结果后处理。


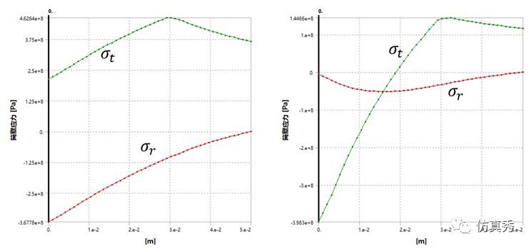
分析结果如下:

图4 内外壁面处周向应力及径向应力

图5 应力随壁厚变化关系

结果对比:

表3 结果对比


同理可以得到仅受压力载荷的应力分布或者既受内压又受外压载荷的应力分布。

3、问题扩展

现假设内壁面温度为200℃,外壁面温度为25℃,不受压力作用。求该高压管道的径向应力 和周向应力 沿半径r方向的分布。

表4 厚壁圆筒中的热应力

图6 厚壁圆筒中的热应力分布

模拟结果如下:

图7 应力随壁厚变化关系

图8 内外壁面处周向应力及径向应力

表5 结果对比




  案例五:厚壁圆筒弹塑性分析 


1、材料弹塑性

大多数工程材料(如钢材、钢筋混凝土)在加载变形过程中都存在线弹性阶段、屈服阶段和强化阶段(见下图)。随着载荷的增加,结构上应力大的点首先达到屈服强度,发生屈服而使结构进入弹塑性状态。这时虽然部分材料已进入塑性状态,但相当大部分仍处于弹性范围,因而结构仍可继续承载,直至塑性部分进一步扩展而发生崩塌。

2、例子

如图所示钢制厚壁圆筒,其内径r1=50mm,外径r2=100mm,作用在内孔上的自增强压力p=375MPa,工作压力p1=250MPa。材料屈服极限500MPa。计算自增强处理后厚壁圆筒的承载能力。(参考文献:徐一凡.考虑材料强化效应的自增强厚壁圆筒应力分析[J].化工设备设计.1991(4):8-12)

3、理论解

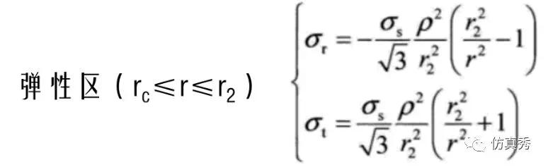
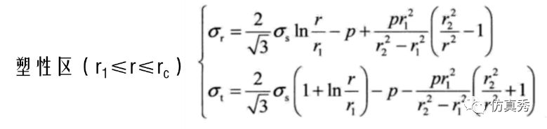
根据弹塑性力学理论,由von Mises屈服条件,弹塑性区分界面半径rc可由下式计算得到:

代入各参数得rc=0.08m

加载时,厚壁圆筒应力分布为:


将各参数代入上式,可得:

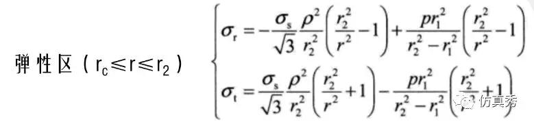
卸载后,厚壁圆筒内残余应力分布为:

将各参数代入上式,可得:

加载和卸载时,圆筒沿壁厚方向应力分布如下:

4、ANSYS APDL分析

定义材料弹塑性,采用双线性随动强化模型。例子简化为平面应变问题,根据对称性,取圆筒四分之一并施加垂直于对称面的约束,指定载荷步数为3,分别模拟自增强、卸载和施加工作载荷三个过程。


计算得到自增强、卸载后的等效应力云图如下:


以内外径的壁厚为路径提取应力分布结果如下:


5、ANSYS Workbench分析

定义材料弹塑性,采用双线性随动强化模型。例子简化为平面应变问题,根据对称性,取圆筒四分之一并施加垂直于对称面的约束,指定载荷步数为3,分别模拟自增强、卸载和施加工作载荷三个过程。

计算得到自增强、卸载后的等效应力云图如下:


以内外径的壁厚为路径提取应力分布结果如下: 

最后提取出不同载荷下等效应力分布如下:

从图中可以看出,当厚壁圆筒承载工作载荷时,内壁处的总应力有所下降,外壁处的总应力有所上升,从而提高圆筒初始屈服压力,更好地利用材料(了解压力容器的读者应会知道,该现象称为材料的自增强效应)。

6、结果对比

误差范围内,apdl和wb精度均满足需求。

7、附录(命令流)

/CLEAR             
/PREP7 
ET, 1, 183,,,2     
MP, EX, 1, 2E11       
MP, PRXY, 1,0 .3      
TB, BKIN, 1, 1
TBTEMP, 0
TBDATA, 1, 500E6, 0     
PCIRC, 0.1, 0.05, 0, 90    
ESIZE, 0.003     
MSHKEY, 1       
MSHAPE, 0       
AMESH, ALL    
FINISH 
/SOLU  
DL, 4,,UY   
DL, 2,,UX
AUTOTS, ON    
DELTIM, 0.2, 0.1, 0.3     
KBC, 0 
TIME, 1      
SFL, 3, PRES, 375E6      
LSWRITE   
TIME, 2      
SFL, 3, PRES, 0 
LSWRITE   
TIME, 3      
SFL, 3, PRES, 250E6      
LSWRITE   
LSSOLVE, 1, 3  
FINISH 
/POST1       
RSYS, 1      
SET, 1  
PLNSOL, S, EQV
FINISH


  案例六:Workbench中变截面壳体的实现


1、问题描述 

以下图简单模型为例,介绍如何在Ansys Workbench中实现变截面壳体:

截面尺寸如图1所示,梯形短边长10mm,长边长20mm,高50mm:

图1-1 截面尺寸

将截面拉伸100mm,得到所需模型,如图2所示。

图1-2 例子模型

对梯形长边面施加固定约束,顶端矩形面施加向下压力5Mpa,分别采用实体solid186单元,实体壳单元solsh190,壳体单元shell181进行模型。 

2、实体单元(solid 186)

① 网格

图2-1

图2-2 

② 结果 

图2-3

图2-4

3、实体壳单元(solsh190)

① 网格 

图3-1

图3-2

图3-3

② 结果 

图3-3

图3-4 

4、壳体单元(shell181)

① 网格 

图4-1

图4-2

图4-3

图4-4

② 结果 

图4-5

图4-6

5、结果对比 

表5-1 各单元结果对比

通过结果对比可知,三种单元所得位移几乎一致,壳体单元并不能考虑应力集中,所得应力值偏低,实体单元最接近实际情况,实体壳单元其次,工程应用中在误差允许内可采用实体壳单元直接模拟,节省计算时间。


作者:钟伟良,中石化广州工程有限公司

声明:原创文章,首发仿真秀公 众号(ID:fangzhenxiu2018),部分图片源自网络,如有不当请联系我们,欢迎分享,禁止私自转载,转载请联系我们。


Meshing
著作权归作者所有,欢迎分享,未经许可,不得转载
首次发布时间:2019-08-15
最近编辑:1年前
仿真圈
技术圈粉 知识付费 学习强国
获赞 11503粉丝 22835文章 4079课程 242
点赞
收藏
未登录
2条评论
CAE小生
学好有限元!!!
5年前
第五例命令流一样的,出现了刚**移,什么情况啊
回复
CAE小生
学好有限元!!!
5年前
第五例命令流一样的,出现了刚**移,什么情况啊
回复
课程
培训
服务
行家
VIP会员 学习计划 福利任务
下载APP
联系我们
帮助与反馈