▲Comsol多物理场耦合的核心是基于统一数学建模框架,将不同物理场(如流体、结构、电磁、传热等)的控制方程进行耦合求解,突破单一物理场仿真的局限性。
Comsol多物理场耦合核心优势在于通过灵活的方程自定义、预定义耦合接口及精准的数值算法,实现物理场间相互作用的真实映射,支持从线性到非线性、稳态到瞬态的复杂耦合场景。
现实工程中,温度场、应力场、电磁场等等均属于物理场,而我们要解决的许多问题是这些物理场的叠加问题,因为这些物理场之间是相互影响的,如炼钢的时候温度高低对于应力分布具有影响。这种多个物理场相互叠加的问题就叫做多场耦合问题,也是一种耦合。
根据耦合程度可分为两类。单向耦合:如电子设备散热设计中,温度场影响材料热膨胀,但形变对温度分布无显著反馈,此时可先计算温度场再推导应力场。双向耦合:如飞行器气动-热-结构耦合分析,气流产生的热载荷改变结构刚度,结构变形又影响气动外形,需迭代求解。
计算方法上,直接耦合法通过联立方程一次性求解,精度高但计算资源消耗大;迭代耦合法分步求解各场方程,通过数据传递逼近收敛解,适用于大规模问题。

单向耦合:流体流速越快 ,降温效果越好。
案例分析:在一个长方体管道内部放置一个发热功率1000W的发热物体,通过水流对发热体进行强制对流散热,当水流速度分别为0.001m/s和0.01m/s时,经稳态求解后发现:水流速度越快,发热体温度显著降低。


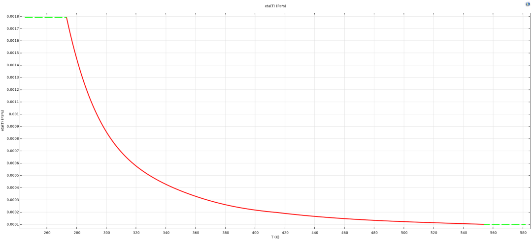
双向耦合:流体流速越快,降温效果越好。温度越低,水流粘度越大,流速降低。
从水的动力粘度和温度关系曲线可以发现:温度越低,水的动力粘度越大,水流流动受到的粘性阻力越大,水流速度变慢。

案例分析:在一个长方体管道内部放置一个发热功率1000W/1000000W的发热物体,水流初始速度为0.01m/s,通过水流对发热体进行强制对流散热,经稳态求解后发现,发热体功率越大,水流最终速度变慢。

