弹性指的是材料卸载后能恢复到原来的状态
一般来说材料处于弹性阶段时,应力应变关系是线性的。不过像弹性材料橡胶 它的应力应变关系始终是非线性的,称为非线性弹性,因此,在很多情况下弹性材料不一定会体现线性行为。绝大多数的金属材料,在弹性区域本构关系是线性的。当应力超过屈服应力时会表现出材料的非线性行为。
塑性指的是材料卸载后不能恢复到原来的状态
塑性材料的塑性变形具有吸收能量的优点,可以防止跌落或者碰撞过程中发生断裂或坍塌。此外,利用塑性材料能发生永久变形的特点,通过加工,可以创造新的产品。例如,用板材制造钢管。

塑性材料应力应变曲线

橡胶材料循环加载应力-应变曲线

MeshFree支持的模型包含:
理想塑性模型
双线性模型
多段线性模型
输入原始应力应变曲线


对于超弹性模型,MeshFree支持的应变能函数形式有
多项式模型
Ogden模型
Blatz-ko模型
多项式模型

Ogden模型

MeshFree中通过试验数据可方便获得超弹性模型的材料常数
纯拉伸/压缩
等双轴拉伸
纯剪切
和简单剪切

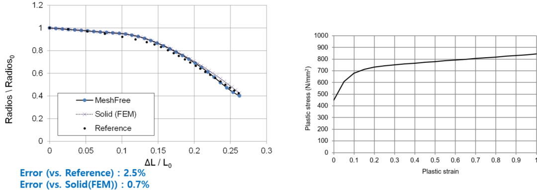
Necking of a circular bar-Reference: NAFEMS Benchmark
Large strain, geometrical imperfection, elasto-plastic material with nonlinear hardening



Pressurized rubber disc-Reference:Book (Oden, 1972)
Hyperelastic (Mooney-Rivlin), follower load



Hyperelastic(Ogden), follower load



Welded Contact problem-Reference: Finite element method (Midas NFX)
Weld contact, nonlinear buckling



非线性分析很复杂,需要花费大量的时间才能掌握。工程师在执行非线性分析时,应该很清楚为什么要做非线性分析,在产品设计初期可以先进行线性分析,了解大致的趋势。在后期您可能担心产品的简化和近似导致产品的不稳定,这时至少可以执行非线性分析
对于装配体,有时候需要考虑部件之间的接触情况,比如滑移、分离等这时需要进行非线性分析
在不考虑大变形的情况下,例如,薄板的弯曲,用线性分析会导致极大的变形和应力。实际上,考虑几何非线性后,其变形比线性分析要小得多
最大应力与屈服应力接近,位移异常大以及两个表面相互穿透等