接下来一段时间,本人计划采用comsol有限元模拟的方法研究电池电化学测试的适用性。首先,建立了Li||NMC622电池P2D模型。几何线段模型如图1所示,包括隔膜、正极和正极集流体。

图1 Li||NMC622电池几何模型
左侧边界①为锂金属,设定电势为0V。在界面上发生锂的溶解与沉积反应Li++e- = Li,反应的平衡电势为0V,反应动力学采用BV方程描述,设定比较大的参考反应动力学交换电流密度i_0,ref,表示锂金属界面上的沉积与溶解不是受限因素,反应动力学与电解液锂浓度相关。

隔膜区域设定孔隙率0.49,即电解液的体积分数,然后锂离子的有效扩散系数和有效离子电导率根据孔隙率计算,即D_eff = D_0*ε^1.5,ε表示电解液体积分数。电解液的离子电导率ks_eletrolyte、扩散系数D_eletrolyte和锂离子迁移数t_eletrolyte定义出明确的数值。


正极区域种的颗粒插层用于计算锂在颗粒径向的扩散过程,设定的参数主要包括颗粒半径rp_pos、锂固相扩散系数Ds_pos。计算任意时刻锂嵌入或脱出过程中颗粒内部的浓度分布。

正极区域的多孔电极反应用于计算活性颗粒和电解液界面上的电化学反应过程,根据活性颗粒表面的锂浓度和电极材料的平衡电势曲线计算反应过程,采用锂离子插入的BV方程描述,交换电流密度和固相表面锂浓度、电解液锂浓度等相关。

正极区域中的多孔基体双电容层表示活性颗粒和电解液界面的属性,设定电容参数cdl_pos。

电极和集流体的界面③设定界面接触电阻R_Al_coat和双电容层电容cdl_Al,用于描述电子传输阻抗和电容行为。


集流体区域设定电子电导率,用欧姆定律描述电子传输过程。

右侧边界④分别设定不同的负载用于模拟不同的电化学测试过程,比如充放电循环边界就是施加电流模拟充放电过程和GITT测试,施加谐波电势扰动用于模拟阻抗测试,施加线性变化的电势模拟CV测试。


初步模拟结果
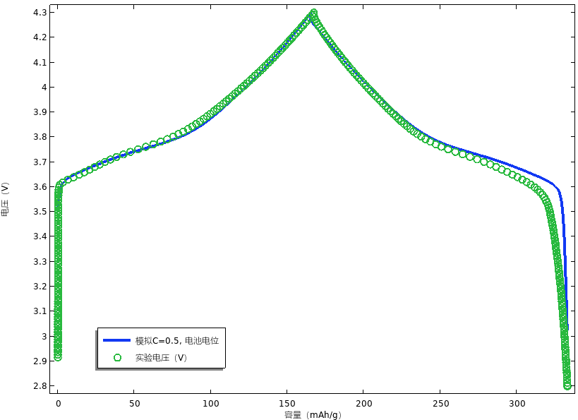
充放电过程

阻抗

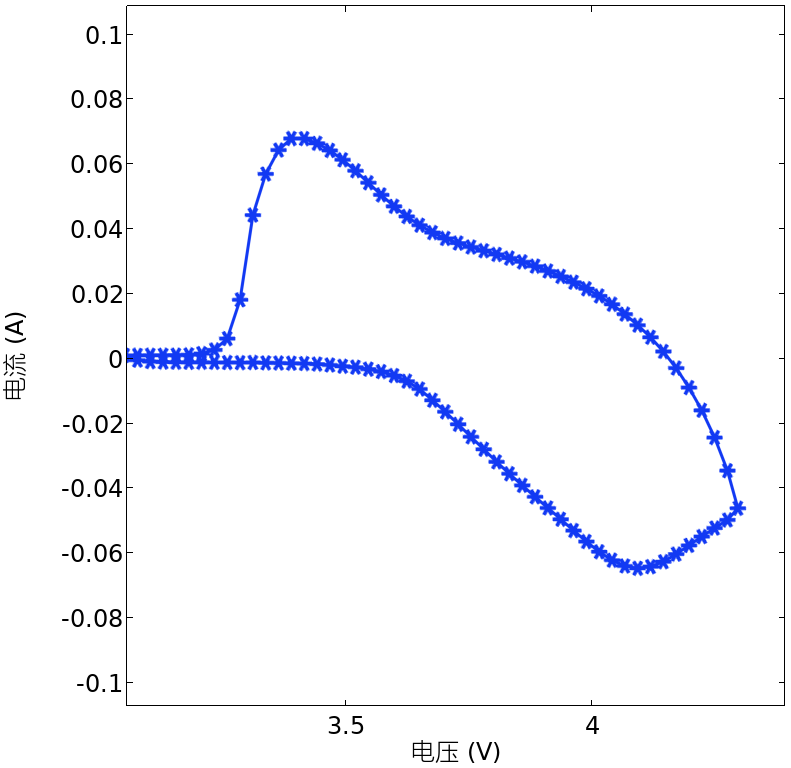
CV:1 mV/s

后续,本人将利用这个模型来分析GITT、EIS、CV等电化学测试过程,研究电池参数到底如何影响测试结果,测试结果和实际的参数值相差到底有多大。如果大家有什么想了解分析的过程可留言,下次我会重点来研究分析。