首页/文章/ 详情

汽车安全气囊塑料罩盖点爆仿真材料卡片准确性提升研究

3小时前浏览20

随着全球对环境和能耗的关注日益提高,包括复合材料、工程塑料和橡胶在内的高分子聚合物材料,因其材料性能具有较高的强质比,被越来越多的应用到汽车轻量化设计当中。


但是,相对于传统金属材料,聚合物材料在不同温度和加载速率下所表现出了巨大差异性和敏感性,这些差异包括弹性模量、峰值应力、应力应变曲线以及失效应变。


上述差异将会增加材料本构模型建立的难度和准确度,进一步影响实际产品的仿真结果。而影响聚合物材料本构模型建立的准确性的主要原因在于聚合物的分子链间的力学特性和分子链本身力学特性在不同温度范围内(玻璃化转变温度和熔点温度)和加载速率下表现出了巨大的差异性。


目前,构建聚合物材料的本构模型主要采用两种方法:一种基于聚合物分子热动力学,考虑分子内部和分子链间力学特性采用非线性的弹簧-质量-阻尼单元构建本构模型,另外一种是基于唯象理论,在实验得到应力应变曲线的基础上,获得一个关于应变、应变率和温度的应力函数。


(1)基于聚合物分子热动力学模型:Arruda-Boyce模型(也称八链模型),采用非线性弹簧来描述分子链之间的作用力,以及阻尼-弹簧系统模拟分子链的力学特性,成为应用最为广泛的聚合物本构模型。该模型也应用在MAT 168号材料卡片中,如图1所示。但是该模型只适用于材料屈曲前对材料粘弹特性的预测,并不能很好的考虑屈曲后的力学特性。

image.png  

图1 MAT 168号材料卡片


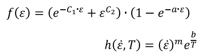
(2)基于唯象理论构建的本构模型:基于Johnson-Cook模型、G'Shell-Jonas模型,Matsuka模型和Brook模型,建立了适用聚合物的唯象本构模型,该模型的优势在于只需要三根不同温度和加载速率下的应力应变曲线上的五个应力应变点(三个点位于同一应力应变曲线,另外一个点为相同温度下不同应变率同一应变下的点,最后一个点为不同温度下同一应变率下相同应变对应的点,即可构建出关于应变,温度和应变率的本构模型。如式(1)所示。    


image.png      

(1)

其中

image.png      

σ为真实应力,ε为真实应变,ε̇为真实应变率,T为绝对温度。C1~C4,m,K,a,b为材料常数。


由于采用5个应力-应变点进行本构模型的搭建,其模型精度很大程度上取决于选点的位置。此外,尽管该模型可以很好的预测材料屈服后的应力-应变曲线,但该模型很难准确同时预测低应变率和高应变率下的应力应变曲线。


鉴于目前已有的聚合物本构模型和实验结果对标仍有较大差异,因此不能直接应用在实际工程当中。 工程上更多的是通过于仿真与实验对标,获得一定应变率范围内的应力- 应变曲线,建立相关的材料卡片。


本文正是基于MAT 24 号材料卡片和GISSMO 失效模型,采用参数优化软件对实验得到的应力-应变曲线进行修正,开展了不同温度下不同加载速率的单轴拉伸实验对标,获得MAT 24 号材料卡片的有效应力- 有效塑性应变曲线,并将对标后的材料卡片应用于驾驶员安全气囊点爆的仿真分析中,和实验对比获 得良好的一致性,为聚合物材料的开发提供了一种实用的工程方法。


01      

聚合物材料卡片开发      

1. 1 拉伸实验数据 

材料拉伸实验的对象是一种用于乘用车驾驶员安全气囊罩的共混改性塑料。拉伸实验样件采用ISO  8256 标准,其几何尺寸如图2所示。实验工况为三个温度下(- 30℃、23℃和85℃)的三个加载速率 (10 mm/ms、1 mm/ms 和0.1 mm/ms)。


而与实验对应的仿真模型采用的实体单元建模,单元平均尺寸为1mm ,试件厚度方向为三层单元, 边界条件采用与实际实验一致的设置,一端固定,一端加载随时间线性变化的位移曲线。

image.png  

图2 ISO  8256 Type3试验样条


图3 a,c和e所示的是不同温度和加载速率下的力-位移曲线,并实验得到的力-位移曲线,经过式(2)和(3)计算过程可以得到材料的真实应力σT和真实应变εT,如图3 b,d和f所示。


image.png      

(2)

image.png      

(3)


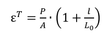
其中,P为实验得到的轴向拉伸力,A为试件实验段原始横截面积,L0为实验观测段有效长度,1为实验得到的拉伸位移。


该材料在屈服点之前粘弹性段存在一定的差异,而屈服点之后材料存在应变硬化的现象,并且在断裂之前材料没有出现类似金属的应力衰减现象。此外,低温高速加载过程中,可以观察到在,由于材料的局部热软化效应引起的力-位移曲线明显的下降,而其他温度下,热软化效应相对较小。


image.png  

a.-30℃力位移曲线

b.-30℃真实应力应变曲线

image.png  

c.23℃力位移曲线

d.23℃真实应力应变曲线

image.png  

e.85℃力位移曲线

f.85℃真实应力应变曲线

图4 材料拉伸实验数据


02      

修正后的应力应变曲线及对标分析      

上述实验的真实-应力-应变曲线,在给定一个假设的弹性模量基础上,可由真实应力-应变曲线获得MAT24号卡片的有效应力-有效塑性应变,如式(4)所示。虽然在材料的粘弹性范围内的力学特性并不准确,但不影响整个材料的韧性和断裂伸长率等特性。

image.png      

(4)


其中,εP为塑性应变;εE为弹性应变;σT为真实应力;E为假定的弹性模量。


利用参数优化软件对有效应力-有效塑性应变曲线设定的控制参数进行优化,获得优化后的应力-应变曲线。图4a,c和e所示的是优化前后的有效应力-有效塑性应变曲线。


image.png  

a.-30℃优化前后真实应力应变曲线

b.-30℃仿真与实验力-位移曲线对比

image.png  

c.23℃优化前后真实应力应变曲线

d.23℃仿真与实验力-位移曲线对比

image.png  

e.85℃优化前后真实应力应变曲线

f.85℃仿真与实验力-位移曲线对比

图4 优化后的应力应变曲线以及力-位移曲线对比


结果表明不同加载速率的实验所期望得到应变率要低于实际仿真所采用的应变率所对应的应力-应变曲线,这主要是由以下两个方面的原因:


1)实验所得到的应力-应变是基于标距长度内的材料变形,因此所得应变率是长度方向的平均值,而在颈缩出现的局部区域,局部应变率要远高于平均值,远离颈缩区域的要低以平均值。


2)聚合物材料具有较高的延伸率,当聚合物样件拉伸到几倍初始长度(大变形)时,由于加载速率没有变化,而标距长度拉长,材料应变率要远低于初始加载阶段(小变形)的应变率,如图5所示,红色实线为加载速率对应的应变率,而星形则为仿真过程中失效单元断裂前的应变率,可以明显看出在拉伸后期,单元实际的应变率接近0.01/ms,小于试实验对应的应变率0.1/ms。因此,图4a,c和e均表现出在小应变区域修正前后的应力-应变曲线差异较小,且曲线的形态基本保持一致,但是进入到应变较大区域,材料实际的应变率远低于小应变时的数值,曲线差异明显增大。


image.png  

图5 1mm/ms加载速度下局部颈缩前失效单元的应变率变化历程


03      

爆仿真与实验对比      


驾驶员侧气囊(DAB)静态点爆实验的目的是为了验证DAB模块中关键部件的结构完整性和功能性,针对DAB塑料罩盖,主要关注点爆过程中的结构完整性。为了进一步验证材料卡片的实用性,将得到的材料应用到DAB静态点爆仿真分析中,与实验结果对比,验证材料卡片的适用性和准确性,图6所示的DAB静态点爆实验现场。


image.png  

图6 实验现场


仿真-实验对标工况主要是针对低温和高温两种工况,结果如图7、8所示。在低温工况下,铰链撕裂线区域完好,仿真和实验结果一致。而在高温工况下,实验中铰链撕裂线区域存在毛边和过撕的现象,仿真中也出现了单元失效的现象,和实验结果一致。

image.png  

图7 低温点爆对比

image.png  

图8 高温点爆对比


04      

结论      

与材料单轴拉伸实验对比,可以发现以下两个现象是影响材料卡片建立精度的关键因素:


1)聚合物材料在不同拉伸速度下,其力学特性存在明显的差异,尤其在低温高速拉伸过程中,局部热软化效应的影响不可忽略;


2)由于聚合物延伸率较高,聚合物材料单轴拉伸过程中,在大应变阶段,应变率下降较为明显,因此很难通过实验方法获得特定应变率下应力应变曲线。

素材来源于网络


*本文内容仅供学习交流使用,旨在分享知识与经验。我们尊重所有原创内容的版权。若本文涉及的内容存在版权问题或侵犯了您的合法权益,请您及时与我们联系,我们将第一时间进行核实并处理,必要时删除相关内容。感谢您的理解与支持!


来源:国高材分析测试中心
Digimat振动疲劳断裂复合材料非线性汽车参数优化理论材料控制
著作权归作者所有,欢迎分享,未经许可,不得转载
首次发布时间:2025-11-29
最近编辑:3小时前
国高材分析测试中心
提供仿真分析材料特性数据服务
获赞 53粉丝 27文章 385课程 1
点赞
收藏
作者推荐
未登录
还没有评论
课程
培训
服务
行家
VIP会员 学习计划 福利任务
下载APP
联系我们
帮助与反馈