首页/文章/ 详情

两机叶片丨南航:航空发动机叶片裂纹-碰摩耦合故障动力学建模与分析

3小时前浏览18

航空发动机叶片裂纹与碰摩故障频繁发生,且常以耦合方式并存。为了研究裂纹-碰摩耦合故障引发的动力学行为及故障特征,建立相应的动力学模型。首先,采用有限元法建立叶片模型,并从断裂力学角度推导出裂纹单元的柔度矩阵。然后,基于叶片振动过程中裂纹面端点的应力情况,构建裂纹呼吸模型,并考虑机匣局部变形,建立碰摩模型。通过对比裂纹叶片的固有频率和动态响应,验证模型的有效性。在此基础上,分析不同裂纹深度对叶片叶尖弯曲振动响应、裂纹面弯曲刚度系数以及弯矩最大贡献点应力的影响。研究表明,裂纹故障和裂纹-碰摩耦合故障对叶片的动态响应产生显著影响,尤其在裂纹-碰摩耦合情况下,叶片振动频谱和应力水平较其在单一裂纹故障情况下更为复杂。

关键词:故障诊断;航空发动机;叶片裂纹;转静碰摩;叶片裂纹-碰摩耦合故障;动力学建模

叶片是航空发动机关键部件之一,也是最薄弱环节。统计显示,由振动引发的故障占航空发动机总故障的60%以上,其中叶片振动引发的故障占振动故障的70%以上。叶片裂纹与碰摩故障通常以耦合方式出现,裂纹导致叶尖间隙减小,引发碰摩,进而加剧裂纹扩展,形成恶性循环,最终可能引发严重事故。因此,研究裂纹-碰摩耦合故障的动力学机理非常重要。


在早期裂纹故障建模研究中,Papadopoulos等建立了常开裂纹模型,但实际裂纹在拉伸循环中有张开的可能,在压缩循环中有闭合的可能。学者研究了更贴近实际的呼吸裂纹模型。例如,Mayes等将呼吸裂纹的时变刚度等效为1阶正弦函数,模拟裂纹接触面的连续变化;Zhao等提出了基于裂纹接触区域变化的模型,更真实地反映了裂纹闭合过程。


早期关于含裂纹旋转叶片的动力学研究多采用集中参数模型,研究裂纹对叶片模态参数和振动响应特性的影响。如Hou基于集中质量梁建立多叶片盘模型,使用质量点和弹簧模拟叶片,将裂纹表示为根部有贯通裂纹的集中质量梁。为更贴切建立叶片裂纹模型,部分学者采用连续参数模型对含裂纹单叶片进行振动建模。王璋奇等采用由铰链弹簧连接的两个系统对裂纹叶片建模,研究裂纹位置和深度对固有频率的影响。吴志渊等基于有限元法,采用Timoshenko梁理论对叶片建模,并建立了转子模型,对含裂纹叶片的转子系统进行了分析。


在转静子碰摩研究中,按碰摩区域可将其分为单点碰摩、局部碰摩和全周碰摩。单点碰摩指在一个周期内转子与静子总是在某一点发生碰摩;局部碰摩是指在一个周期内,转子与静子多次发生不连续的接触碰撞;全周碰摩是指转子在旋转一周过程中与静子持续碰摩。Ma等建立了转子系统的环四点碰摩有限元模型。陈果等提出了一种考虑叶片数和转静间隙变化的新型叶片-机匣碰摩模型。


为了研究耦合故障下的叶片振动机理,Tang等以欧拉梁对叶片建模,并将机匣简化为质量点,推导出裂纹和碰摩冲击的影响系数矩阵,建立了裂纹叶片的修正碰摩力模型。然而,该模型中叶片模型仅采用欧拉梁,并且该模型假设碰摩过程中裂纹处于常开或常闭状态。


综上所述,目前的研究多基于单一故障进行建模,对于裂纹-碰摩耦合故障的研究较少。本文提出了一种裂纹-碰摩耦合故障模型,对含裂纹-碰摩耦合故障叶片动力学特性进行了仿真,详细分析了裂纹-碰摩耦合故障下的叶片振动特征及规律。

1

含呼吸裂纹-碰摩叶片动力学模型

1.1 裂纹叶片动力学建模

将叶片离散为n个矩形梁单元,如图1所示。对各单元均采用6自由度的Timoshenko梁单元进行建模,健康叶片单元刚度、质量矩阵已由文献给出。

图片  

图1 盘叶片系统示意图

对含裂纹的叶片梁单元进行单独建模,假设裂纹不影响单元的质量矩阵,只改变单元的刚度矩阵。矩形裂纹梁单元的示意图如图2和图3所示,假定其为第k个单元,其长度为lk,宽度为b,厚度为h,裂纹深度为a,裂纹深度比ξ被定义为裂纹深度与叶片厚度的比值,裂纹与左节点的距离为x,裂纹位置比则是x与叶片总长度的比值。

图片  

图2 裂纹叶片单元示意图

图片  

图3 裂纹面示意图

在矩形梁单元上作用有剪力P2、P3和P8、P9,弯矩P4、P5和P11、P12,轴向力P1和P7,扭转矩P4和P10。裂纹单元的柔度系数可表示为:

图片  

式中:P2、P3为剪力,xP2-P6、xP3+P5为弯矩,P4为扭矩,P1为轴向力。A为梁单元截面面积,κ为剪切系数,E为弹性模量,G为剪切模量,Iz、Iy为截面的面积矩。


裂纹引起的附加应变能Uc可表示为:

图片  
图片  

式中:F1、F2、FII、FIII参照文献得到。将式(4)至式(6)代入式(3)可得裂纹梁单元柔度矩阵Gc。利用有限元静力平衡的变换矩阵T,进一步推导出相应的刚度矩阵。刚度矩阵为:

图片  

离心导致刚度矩阵、旋转软化矩阵与健康单元相一致。

1.2 呼吸裂纹模型

在裂纹面上,轴向应力由轴向离心力Fc以及绕ye、ze轴的弯矩My、Mz共同引起。其中离心力和弯矩分别可表示为:

图片  

由于裂纹面平行于yeoeze平面,这意味着My、Mz、Fc都为定值,故σp在平面上是单调变化的。因此,可通过裂纹面4个端点的应力值来确定应力为零的边界线,并据此求出边界上应力为零点的坐标,计算流程如图4所示。

图片  

图4 裂纹接触面积因子计算流程图

首先,计算裂纹面4个端点处的应力值σA、σB、σC、D,将大于0的状态设为1,小于0的状态设为0,并将这些应力值转换为4位二进制数IF。基于这种二进制编码,可以区分出16种应力分布状态。对于每一种状态,可以确定应力为零点所在的边界线,从而求得对应边界线上的应力为0点坐标y1、y2、z1、z2,依此可计算裂纹接触面积因子r,其中r=SOPEN/AC,其值可由式(11)计算得到。r=0时裂纹全闭,r=1时裂纹全开。当IF为5和10时,理论上不会出现4个应力为零的点,所以该情况不会出现。

图片  
图片  

1.3 碰摩模型

针对航空发动机叶片与机匣碰摩故障,本文采用一种基于机匣变形的碰摩模型,该模型能够考虑转静间隙变化对碰摩力的影响。图5为叶片-机匣碰摩模型,设转速为ωr,转静间隙分布曲线为c(q),其中q为机匣圆周角度,碰摩刚度为kr,摩擦系数为f。

图片  

图5 碰摩模型间隙与接触示意图

时刻叶片振动位移为xb、yb,叶片在径向的位移:rb=xb。在角度θb处,转静间隙为c(θb)。则在t时刻,叶片与机匣是否发生碰摩的判断条件为θb>c(θb)。如果不满足碰摩条件,则碰摩力为零;若满足碰摩条件而发生碰摩,碰摩法向力和碰摩切向力可表示为:

图片  

1.4 耦合动力学模型

将盘作为集中质量点,对单元的运动方程进行组装,可得到叶片运动方程:

图片  

式中,M为叶片的总体质量矩阵;K为转子叶片总体

图片  

2

模型验证

本文建立的叶片参数如下表1所示,该尺寸适用于常见的航空发动机转子实验器。对所建立的无裂纹叶片模型进行1阶固有频率分析,ANSYS的结果为364.31Hz,本文所建立模型的计算结果为365.991Hz。

图片  

表1 叶片详细参数表

进一步使用ANSYS和此模型计算不同裂纹位置比和不同裂纹深度比的裂纹叶片1阶固有频率,结果和相对误差如图6所示。其中,最大相对误差为1.36%,可以证明本文裂纹模型的有效性。


选取叶片裂纹深度比为0.5,裂纹位置比为0.1,在超谐共振条件下(即设置旋转速度为1980r/min)施加气流力进行振动响应分析。其中,气流力被简化为施加在每个节点周向幅值为50N、频率 fe=5fr的正弦力,分步长设置为5×10-5s,同时采用ANSYS的动态响应模块在该条件下进行计算。动态响应结果如图7所示。本文所用方法与ANSYS的动态响应结果基本一致,证明了本文呼吸裂纹模型的有效性。

图片  

图6 开裂纹叶片1阶固有频率结果

图片  

图 7 动态响应结果对比图

3

振动特性分析

3.1 离心力和气流力复合激励下的振动响应

超谐共振条件下,即转速被设置为1980r/min,裂纹位置比被设置为0.1,气流力被简化为施加在每个节点周向幅值为50N、频率fe=5fr的正弦力。不同裂纹深度比下的叶尖弯曲振动位移的频谱如图8所示。

图片  

图8 弯曲振动频谱图

可以看到,与无裂纹叶片相比,裂纹叶片叶尖的振动响应中出现了显著的常值和倍频分量,一倍频分量值也更大。图9中进一步对比了常值分量、气流激励的一倍频及二倍频分量的幅值。从图中可以看到随着裂纹增大,这3个频率分量的幅值也随之增大。


裂纹单元弯曲刚度系数K(2,2)的变化如图10所示。当裂纹较小时,刚度系数变化接近双线性模型。随着裂纹增大,裂纹的呼吸过程持续时间变长。当裂纹深度比为0.4和0.5时,1阶固有频率随着裂纹深度比增大而减小,此时激励频率更接近固有频率的二分之一,此时会出现较大的二倍频分量,在图中表现为出现第二个小峰。


分析对弯矩起最大贡献的点A的轴向应力,结果如图11所示。可以看到应力幅值随裂纹深度度比增大而增大,且深度大于0.3时,应力曲线出现了与刚度矩阵中弯曲刚度系数K(2,2)值类似的第二个小峰。

图片  

图9 不同频率分量幅值对比图

图片  

图10 裂纹单元弯曲刚度系数时域图

图片  

图11 裂纹截面A点轴向应力

叶片裂纹深度比设定为0.5,裂纹位置比与气流激励与上文中一致,对旋转速度在0至7000r/min范围内每隔50r/min取值一次,计算所得不同转速下的弯曲位移频谱瀑布图如图12所示。

图片  

图12 叶尖弯曲振动瀑布图

可以看出图中存在明显的常值分量,且当激励频率接近固有频率时,常值分量也会出现峰值。当转速低于5400r/min时,会出现明显的气流激励频率的二倍频及高倍频分量;而当转速超过5400r/min时这些分量消失,此时在裂纹的呼吸过程中,离心应力起主导作用,导致裂纹始终保持张开状态,其表现为一个带开裂纹的线性系统。


不同转速下的弯曲刚度系数K(2,2)的变化如图13所示。

图片  

图13 不同转速下弯曲刚度系数响应

可以看到,裂纹刚度系数的变化与弯曲振动和转速的变化密切相关。在1阶固有频率附近,弯曲振动的增大比离心应力随转速增加的变化更为显著,此时弯曲应力对呼吸作用起主导作用,裂纹呼吸也表现为双线性。当转速继续增大时激励频率远离1阶固有频率,离心应力在呼吸过程中起主导作用,导致裂纹的持续张开部分占比更大。在转速为6000r/min时,呼吸效应消失,裂纹刚度系数值与开裂纹时一致。

3.2 离心力和气流力激励下的碰摩响应分析

为了模拟机匣单点碰摩,可以在机匣的特定位置设置局部变形。假设在角度θc处,变形量为C,并且在±β°角度范围内考虑用余弦函数来模拟该变形,设初始间隙为D,在不同角度上的间隙值可通过式(15)计算。其中0<θ≤2π,本文中设D为1.5mm,设C为1.4mm。

图片  

图14 不同裂纹深度下弯曲振动频谱

当不存在裂纹仅发生碰摩时,频谱中出现了显著的转速倍频分量,特别是2倍气流激励频率,因为其接近叶片的固有频率,因此幅值较大。随着裂纹深度的增加,弯曲振动频谱中各个频率分量的幅值也随之增大。

图片  

图15 不同频率分量幅值对比

图15中进一步展示了常值分量以及气流激励的1倍频和2倍频分量的幅值。从图中可以看出,随着裂纹深度比增大,这3个频率分量幅值也随之增大。图16中比较了裂纹-碰摩耦合故障与仅发生裂纹故障时的频率分量幅值,结果显示,在发生裂纹-碰摩耦合故障情况下,3个频率分量的幅值均大于仅存在裂纹时的情况。

图片  

图16 裂纹-碰摩耦合故障下与仅碰摩故障下频率分量对比

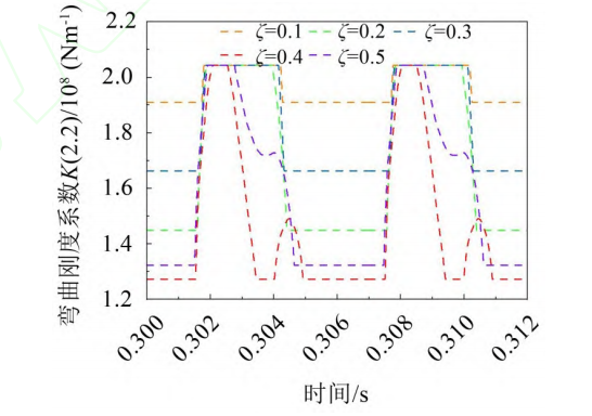
当裂纹深度比ξ分别为0.2和0.5时,含裂纹-碰摩耦合故障的叶片的弯曲刚度系数K(2,2)变化如图17和图18所示。

图片  

图18 弯曲刚度系数K(2,2)值(ξ=0.5)

在碰摩发生后,弯曲刚度系数曲线经历了振荡,随后逐渐趋向于开裂纹状态下的刚度值。这主要是因为在叶片旋转过程中,裂纹在叶片中的位置与旋转方向一致,碰摩瞬间导致裂纹张开,从而使得弯曲刚度系数在后续时间步内保持较低值。在后续周期中,裂纹张开的比例比仅有裂纹时更大,但在下一次碰摩发生前的振动过程中,这种比例会逐渐衰减。特别是由于碰摩的影响,原本的小峰值消失,弯曲刚度系数在后续时间步中与开裂纹状态下的值一致,见图18。


分析对弯矩贡献最大的点A处的轴向应力,结果如图19所示。

图片  

图19 裂纹截面A点轴向应力

可以观察到,随着裂纹深度比的增大,应力幅值也相应增大。在碰摩发生后,应力幅值也会更大。这可能是由于碰摩导致裂纹张开时间更长,刚度降低,振动位移增大,从而引起更高的应力水平,最终可能导致叶片断裂。


在与上一小节相同的条件下,设置相同的间隙。图20中展示了不同转速下的弯曲位移响应频谱瀑布图。从图中可以看到明显的常值分量,并且当激励频率接近固有频率时,常值分量也会出现峰值。此外,还会出现明显的转速倍频分量。

图片  

图20 含碰摩故障时弯曲位移响应频谱瀑布图

4

结语

本文建立了叶片裂纹-碰摩耦合故障模型,并对不同裂纹深度比下的叶尖弯曲振动响应、裂纹面弯曲刚度系数以及裂纹面上对弯矩贡献最大的点A处的应力进行了分析。得到以下结论:


(1)当叶片存在裂纹时,叶尖弯曲位移频谱中有明显的常值分量,并且在激励频率接近固有频率时出现显著峰值。此外,当转速低于某一水平时,会出现气流激励频率的二倍频及高倍频分量;而当转速较高时,这些分量会消失,表现为一个带开裂纹的线性系统。


(2)在裂纹-碰摩耦合故障情况下,与仅存在裂纹时的情形相比,弯曲振动的常值分量幅值及气流激励一倍频、二倍频分量幅值均有所增大。


(3)在裂纹-碰摩耦合作用下,碰摩会使裂纹完全张开的时间在整个周期内占比更大,从而使得裂纹叶片应力处于较高水平,进而可能最终导致叶片断裂。

声明: 本文来源于网络, 仅供交流分享, 若涉及版权等问题请留言, 我们会及时处理


来源:两机动力先行
振动断裂碰撞航空裂纹理论ANSYS
著作权归作者所有,欢迎分享,未经许可,不得转载
首次发布时间:2025-11-29
最近编辑:3小时前
两机动力先行
其它 聚焦航空发动机/燃气轮机关键技术...
获赞 100粉丝 123文章 435课程 0
点赞
收藏
作者推荐

压气机丨中国航发:航空发动机高压压气机转子叶片疲劳寿命提升方法研究

床仿真等,并在五轴加工中心上加工叶片的型面,完成叶片的铣削部分。然后通过设置合理的工艺参数,采用超声波抛磨、气动抛磨及气动光整等低塑性抛光技术(LPB)对叶片表层进行处理。最后通过表面粗糙度、不同型面最大残余压应力、残余应力场深度、表面硬度、各个截面尺寸等分析叶片表面完整性及疲劳寿命。经过综合分析和检测,表面粗糙度达到Ra0.1μm,最大残余压应力提升5.3%,残余应力场深度提升不明显,表面硬度提高10%,各个截面尺寸均在设计范围之内,形成了一套较完整且稳定的提升疲劳寿命方法,有一定的借鉴意义。关键词:高压转子叶片;疲劳寿命;表面完整性;最大残余压应力;残余应力场深度0引言航空发动机高压压气机是以叶片为主要工作部件的一种叶轮机械,通过转子轴带动转子叶片高速旋转,对流道内气体做功,将输入的机械能转化为气体内能,输出高温高压气体。高压转子叶片数量多、结构单薄,工作在高速、载荷多变及工况复杂的环境下,极易产生疲劳失效,对航空安全性产生严重的影响。而高压转子叶片以疲劳失效为最常见的故障形式,产生疲劳失效的原因有多种,主要有表面粗糙度比较高和表面完整性不合格引起的振动、表面断裂及表面裂纹的产生等,还有叶片在加工、工作和修理过程中出现的侵蚀、表面沟痕、磨损等这些因素将会对转子叶片的疲劳性能产生严重影响,进而影响航空发动机的性能和使用寿命,也会给航行安全带来极大的危害。因此,对转子叶片抗疲劳制造技术的研究尤为重要,通过制造技术可以降低叶片表面粗糙度,改善叶片表面完整性。据美国学者的研究表明,转子叶片表面粗糙度的降低和表面精度的提升,可以提升航空发动机3%~6%的性能,延长航空发动机的服役时间。因此,做好航空发动机高压转子叶片机械加工工艺,提高叶片的加工精度,在提高航空发动机工作效率的同时,也可以有效地降低发动机的油耗,进一步改善发动机的经济性和适用性。1抗疲劳制造技术方法机械制造技术发展经历了成形制造、表面完整性制造及抗疲劳制造等过程,其中成形制造和表面完整性制造主要考虑成本、时间、空间等,技术评价是尺寸精度、形位公差、表面粗糙度等设计图样规定的技术要求,其主体是切削加工。抗疲劳制造过程中,除了考虑尺寸精度、形位公差、表面粗糙度等技术要求,还要评判零件的表层性能,如硬度、残余应力及应力场的深度,主要采用抗疲劳切削加工和高能复合表层改性。抗疲劳制造技术的提出使得一些像钛合金、高温合金及超高强度结构钢这类高强度材料的疲劳寿命得到了极大改善。因此,航空发动机叶片通过抗疲劳制造技术改性,其疲劳性能得到了大幅度的改善,延长了叶片的服役周期。抗疲劳制造技术改变了疲劳失效模式,进而使其制造的叶片零件可以实现极限寿命、极限可靠性、极限减重。因此,该技术的发展与进步可以使我国的航空制造行业得到进一步提升,其主要原理技术有以下几方面。1)表面喷丸技术。在航空制造领域中,表面喷丸技术主要有表面喷丸强化技术和表面喷丸成形技术两大类。其中表面喷丸强化技术是一种有效的表面微动防护方法,其通过高速喷射对叶片表层实施冷挤压,从而使叶片表层冷作硬化和产生残余压应力,进而改善叶片的抗疲劳性能,其原理如图1所示。张露通过对未喷丸的叶片和喷丸后的叶片进行振动疲劳强度试验,探究了叶片疲劳性能的改善效果,发现在长寿命区,与未喷丸的叶片相比,喷丸处理后的叶片能够承受更高的应力水平,随着循环次数的提高,两者差值越来越大,在2×10⁷循环次数下,喷丸处理后的叶片中值疲劳强度比未喷丸的叶片提高35.8%。由于喷丸处理后残余压应力的影响使得叶片抗弯能力提高,叶片振动疲劳强度有很大提高。 图1 表面喷丸技术原理2)激光冲击处理技术。激光冲击处理技术又称激光喷丸,其原理是通过冲击波压力(脉冲激光及叶片材料相互作用诱导的)对叶片表面改性,合理设置相关工艺参数,能适用于不同材料构件的表面处理。激光冲击处理技术可对叶片材料表面完整性有效改变,提高叶片材料的耐磨损、耐腐蚀性和抗疲劳寿命。何卫锋等探索了激光冲击强化参数,在标准试片上开展疲劳试验,通过设置合理参数条件,确定叶片冲击强化部位和方式,并对强化叶片进行了一阶弯曲振动疲劳试验、型面检查和强化机理研究,得出激光冲击强化能有效提高不锈钢材料振动疲劳寿命,例如,叶片各个截面尺寸在经过激光冲击强化后均在设计范围之内,强化后引起残余应力和表层微观组织变化,其叶片的应力-循环次数(S-N)曲线往上移动,提高了叶片的疲劳强度;在660MPa应力水平下,叶片的振动中值疲劳寿命提高70%。3)表面完整性技术。表面完整性是指在加工过程中造成的损伤或者是强化的表面状态,它是叶片制造加工过程中叶片表面材料可能引起的各种改变及其对疲劳性能影响的总述。表面完整性的评价内容主要有:a.表面形貌(叶片表面纹理和表面粗糙度等);b.表面缺陷(叶片加工表面出现宏观裂纹、伤痕及腐蚀等);c.叶片表面层微观组织及其冶金化学性能(叶片微观裂纹和组织变化等);d.叶片表面层物理力学性能(叶片表面层硬化程度及深度、表面层残余应力的大小及分布)。因此,需要通过提升表面完整性技术(铣削、磨削和表面改性技术等)来改善加工过程中叶片表面材料可能出现的各种改变,提高叶片的疲劳性能。黄云等对叶片材料和磨削抗疲劳技术进行了总结,分析其对叶片表面层完整性的影响,为后续的抗疲劳制造技术的研究提供一定的帮助。2高压转子叶片的结构特点限于高压转子叶片的工作环境,要求其结构单薄、传动功率大、抗疲劳性强。本文研究的叶片属于典型的薄壁异形复杂结构件,如图2所示。该压气机转子叶片的材料为HG4169,是一种高温合金材料,具有弯、宽、薄等形状特点。 图2 压气机转子叶片三维模型及实物图3高压转子叶片(材料为GH4169)疲劳寿命提升工艺方案3.1 技术难点 1)技术难点一。高压转子叶片型面复杂,加工难度大,铣削过程中容易产生疲劳源。高压转子叶片作为航空发动机压气机的关键零部件,在发动机复杂环境(高温高压、载荷多变)容易产生疲劳失效、变形或者断裂现象,因此铣削过程至关重要,如果处理不当容易产生疲劳源,影响叶片的抗疲劳性能。2)技术难点二。在经过铣削加工后表面会存在一定的残余高度和波峰低谷,影响叶片表层的硬度、最大残余压应力、残余应力场深度及表面的粗糙度,最终导致叶片表面完整性降低。3.2 解决技术难点的方案设计根据上述叶片抗疲劳制造技术的论述,本文将从叶片铣削及叶片表层的硬度、最大残余压应力、残余应力场深度及表面的粗糙度等方面进行评判研究,以提高叶片表面完整性、改善叶片的疲劳性能和表面性能,进一步改善航空发动机性能和服役期。3.2.1 技术难点一的解决方案通过在UG和Mastercam三维设计软件中对发动机转子叶片加工进行优化并对比(如图3),对比项目包括建模、自动编程、自动生成程序、刀路仿真、机床仿真;通过对比得知,在叶片这种复杂形状零件的建模、仿真、编程等方面,UG的优化效果更好,最终选取UG进行发动机转子叶片加工工艺仿真,并在台湾友佳U-600P五轴机床上加工试件,待试件加工合格后,固化相关加工参数,然后加工正式零件(如图4),加工完成叶片的铣削部分。 图3 Mastercam和UG仿真对比图 图4 机床仿真、试件加工、正式零件加工图本文采用台湾友佳U-600P五轴机床进行叶片型面的加工,五轴联动编程思路如下:粗加工时,用UGNX中的mill multi-axis的可变轮廓铣进行编程加工,加工余量为0.05mm;精加工时,采用UGNX中的mill multi-axis的可变轮廓铣进行编程加工,加工余量为0mm。UG编程基本思路为:创建程序组→创建工件坐标系→创建工件几何体→创建工序。根据UG编程基本思路,需要完成的操作步骤如下:1)创建程序组。打开“加工”模块→几何视图→GEOMETRY→插入→程序组→命名。2)创建工件坐标系。几何视图→插入→GEOMETRY→几何体→选择工件坐标系“MCS”→命名工件坐标→设置安全高度。3)创建工件。几何视图→geometry→正面→插入→几何体→WORKPLECE→命名工件→指定部件和毛坯。4)创建工序。几何视图→geometry→工件→插入→工序。在UG软件中具体编程步骤及其相关参数设置如表1所示。 表1 编程步骤及其相关参数设置机床操作步骤如表2所示。 表2 台湾友佳U-600P五轴机床操作步骤3.2.2 技术难点二的解决方案本文采用低塑性抛光技术(LPB)对叶片表层进行处理,该技术是以机械喷丸与机械滚压原理为基础,通过少量的冷作硬化或塑性变形产生深层高残余压应力的新表面强化技术。低塑性抛光技术的原理如图5所示,一个可自由旋转的光滑硬球(对应本研究中采用的金刚石研磨膏和抛光膏)在法向力(对应气动风磨笔和气动磨刻机中气流的方向)的作用下沿某一方向进行滚压,使材料表面发生塑性延展,从而形成一个残余压应力层。其中,光滑硬球由一个球形液体浮动座支承(对应金刚石研磨膏和抛光膏中的液体),在液压力的作用下两者互不接触,硬球仅与工件表面发生固体接触,同时喷射出的气体减轻了硬球与工件之间的摩擦。 图5 低塑性抛光技术原理图主要采用低塑性抛光技术的工艺方法包括超声波抛磨、气动抛磨、气动光整3个工序,具体如表3所示。 表3 低塑性抛光技术工艺参数及设备通过超声波抛磨、气动抛磨、气动光整三个工序后,使压气机转子叶片的表面粗糙度达到Ra0.1μm(检测方法如图6所示,取样长度为0.25mm,检测部位为叶背和叶盆),低塑性抛光后表面硬度提高10%(检测方法如图7所示,加载时间为5s,加载负荷为1500N);叶盆型面最大残余压应力为455MPa(提升了14.6%),叶背型面最大残余压应力为459MPa(提升了5.3%),叶盆型面残余应力场深度为330μm(提升了3.1%),背型面残余应力场深度为310μm(检测结果如图8所示,图中,X23060275-01为五轴加工后未采用表面光整工艺的叶片;X23060275-02为五轴加工后采用表面光整工艺的叶片);并在尺寸检测中叶身两端未出现扭角,叶片各个截面尺寸在均在设计范围之内(检测方法如图9所示)。 图6 表面粗糙度检测 图7 低塑性抛光前后的硬度检测 图8 最大残余压应力和残余应力场深度检测结果 图9 尺寸检测4结论本文通过在UG三维模拟软件中进行加工仿真优化,并在五轴加工中心进行实际加工;然后通过表面光整技术对高压转子叶片表面进行光整处理,在零件表面生成了残余压应力,该压应力可以用于消除叶片的部分残余拉应力,并使零件表面各处应力大小及应力场深度适中,可以避免腐蚀扩展到零件更深的区域,从而减轻对零件的损伤,提高了叶片的疲劳性能,提升了叶片的寿命,形成一套较完整且稳定的提升疲劳寿命方法。声明: 本文来源于网络, 仅供交流分享, 若涉及版权等问题请留言, 我们会及时处理 来源:两机动力先行

未登录
还没有评论
课程
培训
服务
行家
VIP会员 学习计划 福利任务
下载APP
联系我们
帮助与反馈