首页/文章/ 详情

P2D充放电拟合实战系列(二):如何正确获取并使用OCV数据?

11分钟前浏览15
引言

OCV拟合通常是P2D充放电拟合的第一步也是非常关键的一步,这一步如果没有做好,后面的动力学参数怎么调都是白搭。在做OCV拟合之前,我们首先要获取靠谱的OCV数据。在这方面你是否也对以下几个核心问题感到困惑?

问题一:GITT vs. “伪OCV”,哪个更准?

OCV测试有两种主流方法:一种是GITT(电流间歇滴定),另一种是用非常小的倍率(如C/50, C/100)去连续充放电,通常被称为“伪OCV”(Pseudo-OCV)。到底哪一种方法测得的OCV,代入P2D模型后拟合最准确?

问题二:什么情况下上述两种方法测量结果差异不大?

GITT的测试时间明显比“伪OCV”法长得多 。那么在什么情况下,这两种方法的效果是差不多的 ,可以允许我根据项目时间需求,选择那个更快的“伪OCV”法呢?

问题三:充电OCV vs. 放电OCV, 到底测哪个?

当我们测试OCV曲线的时候,是只测充电或放电就够了,还是充电和放电两个都要测? 如果两个都测了,我该如何使用它们?是做平均,得到一条曲线代入模型?还是必须分开来用?

如果你确实也有相似的困惑,请耐心读下去,后面的内容将会为你答疑解惑。

一. OCV:P2D模型的重要“地基”

在P2D模型(如Newman模型)中,OCV(开路电压)曲线      绝不是一个普通参数,它是模型关键的“热力学地基”

如图1所示,P2D模型计算的总电压 = 正极电势(平衡电位+过电位) – 负极电势(平衡电位+过电位)

图1. 输出电压与OCV(开路电压)和极化过电位的关系

其中平衡电位部分由各电极的OCV曲线提供,而过电位来自动力学阻抗(如欧姆内阻、浓差极化和电荷转移极化)。因此,OCV-SOC曲线直接决定了模型在无电流时的开路电压水平,以及工作时电压曲线的基准形状

若OCV输入不准确,模型计算的电池电压将整体偏移或形状失真,难以与实验吻合。因此,在高保真P2D参数化过程中,准确测定各电极的OCV曲线是至关重要的一步。

二. “地基”之选:GITT vs. 伪OCV

要获取OCV,你首先要做出一个关键选择:用GITT还是伪OCV?伪OCV测试通过连续的低速率充放电获取近似OCV曲线(例如C/50慢充放,被认为电压基本代表OCV),而GITT通过恒流脉冲+长时间静置在各SOC点获得平衡电压。两者最终目的都是得到OCV-SOC关系,但GITT更接近真实热力学OCV,而伪OCV提供的是一个“带有极化的OCV”曲线。P2D模型需要的是代表真正平衡态的“OCV”曲线,因此采用GITT测的OCV曲线带入模型更加准确。

尽管GITT测量精确,但其实验耗时长且步骤繁琐。在一些情况下,伪OCV曲线可以在精度与效率之间取得折衷,被用于替代GITT-OCV。具体而言,对于主要依赖固溶机制的正负极(如石墨、NMC、NCA等),OCV曲线单调且不存在大平台区,缓慢恒流测试即可获得与平衡OCV几乎重合的曲线(误差小于10-20 mV)

举个例子,Schmalstieg等(2018年)分别采用C/100超低电流连续充放和GITT(C/10脉冲+5小时静置)两种方法测定了一款高功率电池的OCV,结果显示两种曲线高度重合(图2)。他们指出:“两种测量方法结果吻合很好”,在如此低的电流下伪OCV与真实OCV的偏差“非常有限”。鉴于此,他们直接采用连续C/100曲线作为OCV输入,以获取平滑完整的OCV曲线(而GITT仅得离散点)。模拟验证表明,该OCV输入下模型计算的室温放电曲线与实测高度一致。

图2. 实线是伪OCV(C/100), 点和叉是GITT测的OCV数据点:左边是石墨负极,右边是NMC正极

然而,这种“一致性”并非放之四海而皆准

必须指出,Schmalstieg案例中的石墨和NMC属于“固溶机制”材料,其OCV曲线相对平滑。但在另一些电极材料(如LFP)中,情况就大不相同了。

例如,Petzl等就观察到,对LFP电池采用C/40恒流(即伪OCV)得到的曲线,较GITT测量的OCV在平台区有**~20毫伏的显著差异**。当延长GITT测试中的静置时间,这些误差将会变得更大。

为什么同为OCV测试,NMC的结果“差异不大”,而LFP的“差异较大”?

这背后隐藏的,就是由材料“相变”特性决定的关键问题——“电压滞后”。这正是我们第三节要深入探讨的“陷阱”。

三. 小心电压滞后“陷阱”:充电OCV vs. 放电OCV

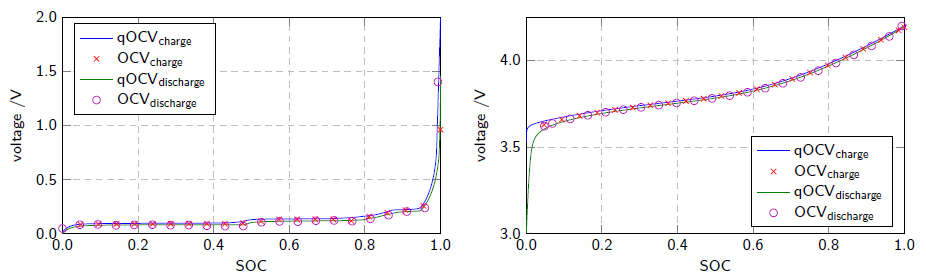
相变电极材料(典型如 LFP、LTO和Si基材料)存在电压滞后(hysteresis)现象:同一SOC 下,充电与放电的“平衡电压”不同

如图3所示,Si充电和放电的OCV曲线之间存在明显的差异,这种差异是热力学效应导致的,即不同路径的平衡态不同。因此,电压滞后现象,即使长期静置也无法消失。

图3. 蓝色和绿色线分别是Si充电和放电的OCV曲线

对于具有电压滞后的体系,仅凭单条(充电或放电)OCV曲线无法描述充放路径差异。如果直接采用单条OCV曲线,模型中的滞后效应就会被动力学参数不恰当地补偿,削弱模型对不同充放轨迹下性能的预测准确性。因此,需要将充电和放电的OCV曲线都输入模型,才能避免电压滞后效应对动力学参数标定的影响

具体怎么输入,可以参考Comsol官方的两个经典案例:

  1. Silicon–Graphite-Blended Electrode with Thermodynamic Voltage Hysteresis
  2. Voltage Hysteresis in a Lithium Iron Phosphate ( L F P ) E l e c t r o d e

从名字可以看出这两个案例都是专门介绍在P2D模型中该如何处理电压滞后效应的。

小结

读到这里,我们可以清晰地回答开篇的三个问题了:

  1. GITT vs. “伪OCV”,哪个更准? GITT。它通过“脉冲+长时间弛豫” 获得的是“真·平衡态”,是P2D模型最需要的“热力学地基”。“伪OCV”则始终“带极化”。

  2. 何时能用“伪OCV”? 当材料无明显滞后时(如NMC、石墨),C/100的“伪OCV”与GITT结果高度重合,此时可选“伪OCV”来平衡效率与精度。

  3. LFP/Si等滞后材料怎么办? 必须用GITT,且充电和放电曲线都要测。因为它们的“滞后”是热力学效应,绝不能用“平均”或“拼接”的办法去“强行消除”。必须将两条曲线同时输入到支持滞回的高级模型中(如COMSOL案例所示)。

参考文献:

  1. Journal of The Electrochemical Society, 165 (16) A3799-A3810 (2018)
  2. IEEE Transactions on energy conversion 28.3 (2013): 675-681.

来源:锂电芯动
ACTComsolANSAUM材料
著作权归作者所有,欢迎分享,未经许可,不得转载
首次发布时间:2025-11-22
最近编辑:11分钟前
锂电芯动
博士 中科院博士,电芯仿真高级工程师
获赞 4粉丝 10文章 47课程 0
点赞
收藏
作者推荐

析锂边界电位采用三电极所测负极电压0V是否合理

来源:锂电之路析锂边界电位采用三电极负极电压0V是否合理,需要确认三个事情: 1.三电极所测负极电位到底是什么电位?2.锂沉积反应标态下的电极电位 =0V,真实情况下析锂反应的平衡电势是否就是0V?3.电池充电过程中负极哪个位置优先析锂,即的电极电势最低点在哪?现看第一个问题,三电极测试示意图如Fig1所示: Fig1三电极所测负极电位:参比电极采用镀锂铜丝,可以视为等势体,那么:测量过程中测量电流几乎为零,3点的电极电位只需考虑热力学因素,根据能斯特方程有: 锂沉积反应在标态下(1atm,1mol/L)定义为0V,那么由式3有: 将式(2)(4)代入式(1)有: 从式(5)可以看到三电极所测负极电位受到3点的液相浓度与温度的影响。三电极制作过程铜丝塞入长度,额外添加的隔膜大小,贴胶位置,胶纸大小等因素会影响3处的液相分布,倍率越大,这种液相分布的不一致性会放大,这也是为什么三电极电池在大倍率测试时一致性会变差的原因。现来看第2个问题,从前面式(3)可知锂沉积反应在非标态下的平衡电势为:发生析锂反应时的电极电势为: 若只考虑热力学条件,当锂浓度小于1mol/L时, ,直接采用0V做析锂边界,那么是偏保守边界,无析锂风险;但是反应速率或者负极颗粒固相传输受限时,会出现液相锂浓度大于1mol/L的情况,如Fig2所示,此时,再采用0V做边界就会存在析锂的风险。所以为了严格确保不发生析锂,建立一个在热力学上不发生析锂的边界应当为: Fig2第三个问题,从Fig2中可以看到,在充电过程中负极电极电势在从集流体测到隔膜测的厚度方向上逐渐降低,那么优先析锂位置在负极隔膜界面处(点2)。结合式(6-7),最终析锂边界条件为: 只考虑热力学因素,边界为: Fig3 以三电极所测负极电压为0V为边界:以热力学理论析锂边界: 现看哪个边界条件先满足: 从Fig4可以观察到 那么式9条件先满足,即以三电极负极电压0V为析锂边界是偏保守边界,式(9-10)仿真计算结果如Fig4所示。所以在实际应用过程中采用三电极负极电压0V为边界测试得到的最大充电电流是安全的,但是没有最大化利用电芯的充电能力。 来源:锂电芯动

未登录
还没有评论
课程
培训
服务
行家
VIP会员 学习计划 福利任务
下载APP
联系我们
帮助与反馈