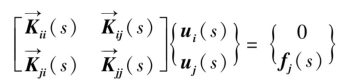
CDS超单元生成时,子结构的对接界面自由度须定义在CSET或BNDFRE卡片中。用 u i 表示子结构内部自由度, u j 表示对接自由度,子结构的动力学方程可写为式(1)

式 (1)左侧的子矩阵
表示复数的动刚度矩阵式(2):

类似于GUYAN缩聚过程式 ,可以得到仅含对接自由度 u j 的表达式(3):

即子结构运动方程可以缩聚到对接自由度 u j 的表示形式(4):

式中,
即动力分析超单元的缩聚矩阵形式(5):

采用式(4)生成CDS超单元时,会在内部自动定义 j 个频响分析工况,每个频响工况对应 u j ( s )的一个自由度为1,其余均为0,通过求取
约束反力SPCF即可获得动力分析超单元
矩阵。采用式 (5)生成CDS超单元时,需要计算
的逆矩阵。由于
矩阵的维度一般很大,OptiStruct中提供了使用SVD分解进行处理的选项。
典型的CDS超单元设置如下图所示,需要设置CDSMETH卡片及工况引用,模态分析方法METHOD及分析频率FREQUENCY。在模型中需要设置边界节点集为CSET,并设置子结构的各类阻尼。超单元中各种缩聚方法的界面处理区别如下所示:






