摘要
基于薄膜铌酸锂的高性能电光调制器近期受到广泛研究。由于马赫-曾德尔调制器结构的特性,通常需要特定的直流(DC)偏置以确保调制达到最佳工作状态。现有的偏置控制方案普遍存在缺陷,如需额外相移器、功耗高、调谐速度慢等问题。本研究提出并验证了一种高效电极结构,可实现近零功耗的电光DC偏置调谐。该结构采用分层行波电极设计,无需额外光学元件且不影响调制性能。制备的器件展现出2.3Vcm的半波电压长度积,带宽远超67GHz。通过分别和同时驱动微波调制和DC偏置电极,在低至高频范围内测量光传输特性,验证了DC偏置调谐能力。在不同波长和偏置电压下,该器件实现了高达224Gbps的数据传输速率。所验证的嵌入式电极结构为薄膜铌酸锂马赫-曾德尔调制器提供了突破性解决方案,可在紧凑尺寸、低功耗和快调谐速度下实现直流偏置控制。
1.引言
随着全球信息传输需求的持续增长,高性能光通信系统已得到广泛应用。传输质量与信息吞吐量本质上与电光(EO)转换过程密切相关。光调制器,负责电域到光域的高速、高保真信号转换,是此类光通信系统中的关键组件。因此,调制器性能向更紧凑结构、更高速度及更优能耗方向的发展,成为推动光子技术进步的重要驱动力。过去十年间,薄膜铌酸锂(TFLN)凭借其强烈的线性电光效应、宽透明窗口以及优异的热稳定性、化学稳定性和物理稳定性,已成为高性能电光调制器的理想材料平台。基于TFLN的马赫-曾德尔调制器(MZM)已经被实现,其最佳性能:电光带宽>100GHz且驱动电压<1V。
除了性能优化外,对工作点,即直流(DC)偏置点的主动控制对于MZM设计至关重要,这要求干涉仪两臂之间存在理想的初始相位差。例如,对于强度调制器,DC偏置点通常控制在正弦响应的正交点;而对于相干调制器,则常控制在零透射点。为了实现这种低速相位控制,通常在硅调制器上使用热光(TO)效应。波导上的局部温度变化会导致相应的折射率变化,从而在两臂之间产生所需的相位变化。基于TO效应的直流偏置控制在TFLN调制器中也得到广泛应用。然而,由于铌酸锂材料的TO系数较低,驱动TO电极的能量消耗相对较高(≈100mW)。为克服这一挑战,研究人员引入了异质集成方案:先利用硅波导实现高效的TO调谐,再将光耦合至TFLN波导进行高速调制。此方案需采用额外的制造技术。另一种方案是采用带有热隔离沟槽的加热器以降低功耗,但代价是调谐响应时间从微秒级大幅延长至毫秒级。此外,这种独立的直流调谐需要为直流电极额外设置一段波导,从而导致器件总长度增加。
本文提出并验证了一种基于电光(EO)的偏置调谐解决方案,该方案在行波调制电极内嵌入直流偏置电极,有助于TFLN调制器实现更紧凑、低功耗和快速的直流偏置控制功能。所提出的调制器采用由SiO₂层绝缘的分层电极结构,同时形成直流偏置电极和微波调制电极。该设计同时实现了直流电极的纯电容负载与行波电极的标准50Ω终端匹配,可在近乎零功耗且不影响调制性能的前提下获得理想偏置条件。实测半波电压长度积(VπL)低至2.3V·cm,带宽超过67GHz。成功实现高达128GBaud的高速数据传输。我们还证明,通过施加不同的直流偏置,可相应调节微波调制电极产生的电光响应和误码率(BER),这证明了本器件的偏置控制能力。
2.器件设计与制造
如上所述,有多种方法可将TFLN MZM偏置至所需工作点。如图1a所示,可在MZM中采用独立的TO或EO移相器实现直流偏置。然而,此类附加移相器将增加器件长度,且如前所述,TO移相器会引入额外功耗。如图1b所示,也可采用外部bias tee将微波信号与直流偏置信号同时耦合至行波电极,从而避免额外的片上元件。但该方案会导致直流偏置信号通过微波电极上的50Ω终端电阻,从而增加器件功耗并限制其可承受的最大直流电压。为解决上述问题,本文提出如图1c所示的有效电极设计:将偏置电极嵌入MZM调制区域,且不与50Ω终端电阻建立电气连接。

图1 偏置TFLN MZM的不同方案。a)使用额外的TO或EO相位移位器。b)使用bias tee同时发射微波信号和直流偏置。c)提出的直流偏置嵌入式电极设计。
本DC偏置嵌入式电极的思路本质上是将行波电极垂直分开。因此,这将导致两种设计,分别归类为信号电极分离(s-sep)结构和地电极分离(g-sep)结构,如图2所示。图2a展示了整个TFLN调制器的3D示意图。基本上,它采用TFLN MZM结构,在硅基板上采用推挽配置的周期性电容加载行波(CLTW)电极。与传统的行波电极相比,CLTW电极提供更宽的信号电极,以实现更低的微波损耗,同时仍保持较小的电极间隙。因此,采用CLTW结构的调制器可以在保持相同调制效率的同时实现较大的EO带宽。具体来说,该器件是在由400nm厚TFLN层、3µm厚埋氧化物层和525µm厚Si衬底层组成的x-cut绝缘上铌酸锂(LNOI)晶圆制造的。调制部分的TFLN波导具有200nm的脊高和1.5µm的宽度。该设备采用光栅耦合器(GCs)作为光纤与芯片的接口,并使用多模干涉耦合器作为3dB光束分离器和合束器。图2c,e展示了调制部分的横截面结构。信号电极(S)或接地电极(G),即共面线微波波导的s-sep或g-sep结构,分别通过SiO₂绝缘层垂直分割为两部分。这里的底部电极被视为偏置电极。调制交流信号(即VAC)可施加于顶部信号电极与接地电极之间,同时直流偏置信号(即VDC)可施加于偏置电极与接地电极之间。在此配置中,通常可将50Ω电阻连接至顶部电极以终止VAC,确保调制信号正常工作。另一方面,VDC将保持开路状态,这种纯电容负载可确保直流偏置功耗接近于零。这构成了所提结构的主要优势。T-segment金属层与偏置电极的厚度均设定为m=200nm。顶部电极厚度设定为t=900nm,由此未分离电极的总厚度为1.1µm。用于分离顶部电极与偏置电极的SiO₂绝缘层厚度为n=200nm。为了确保低金属吸收损耗,电极置于厚度f=900nm的SiO₂包层上方,间隙g=1.8µm。信号电极宽度w=80µm,足够宽以确保低微波损耗。为降低微波折射率并维持微波与光的折射率匹配,在硅衬底背面开孔。如图2b所示,CLTW电极的其他参数设定为(a–e)=(2,13,3,47,2)µm。调制段长度标记为L。除了分离电极外,结构参数与我们在之前工作中使用的相同,这些参数已被证明可以支持高性能TFLN调制器。

图2 所提直流偏置嵌入式TFLN电光调制器的详细结构。a)整体结构的三维视图。b)电极区域的顶视图。c)s-sep结构的截面图及d)等效电路。e)g-sep结构的截面图及f)等效电路。
首先,通过等效电路模型分析了所提结构在中低频下的工作原理。如图2d、f所示,C1视为顶部与底部电极间的电容,C2则是相对T段间的电容,其电压VC2即为实际调制电压。电阻R1是输入微波信号VAC的源阻抗,R2则是微波信号的终端电阻,两者均设为50Ω。直流偏置电压VDC同样通过电阻R3施加至器件。对于s-sep调制器,R3将决定VAC信号的高通截止频率,具体将在下文详述。由于本设计中SiO₂绝缘层较薄,C₁将远大于C₂。当调制器长度L=1cm且采用上述参数时,可近似得出C₁=124pF(s-sep)或700pF(g-sep),C₂=1.85pF。因此,经R1和R2分压后的VAC信号主要施加于C2形成调制电压。VDC也会在C2上产生直流电压降,该电压构成直流偏置电压。这些模型中不同元件两端的最终电压如图3a、b所示。当同时向器件施加12V峰峰值、1MHz正弦VAC与2V VDC时,经R1和R2分压后的最终调制电压VC2,对于s-sep和g-sep两种结构而言,均为2V直流偏置电压与6V峰峰值微波电压之和。这些仿真验证了本器件的功能特性,即直流偏置与微波信号可同时施加至最终调制电极。两种结构的VAC频率响应如图3c、d所示。可发现s-sep结构呈现高通特性,其截止频率与R3值成反比。这表明s-sep结构通过合理选择R3值,可有效阻隔VAC上的直流及低频分量。当调制微波信号需采用交流耦合时,此特性尤为重要。反之,g-sep结构的VAC频率响应呈平直线,表明微波信号中的所有频率分量(含直流分量)均将保留用于调制。

图3 本文提出调制器的等效电路分析。a,b)当同时将VDC和VAC信号施加到调制器上时,VC2的时序图。c,d)调制电压VC2的频率响应,已归一化到VAC。插图显示了相应的等效电路。这里,a,c)是s-sep结构,b,d)是g-sep结构。
基于有限元算法的多物理场求解器被用于模拟器件在高频下的电学性能及其光学模态特性,如图4a所示。高频下,微波信号可轻易通过C1耦合,因此可以设想C1不会影响最终的电学性能。如图4b、c所示,s-sep与g-sep结构的微波场分布基本一致。对于基本横电(TE)模式,如图4a所示,可以获得VπL=1.9Vcm的调制效率。如图4d-f所示,该结构在高达100GHz频率范围内实现了优异的阻抗与折射率匹配,同时具备低微波损耗特性。

图4 调制段的微波与光学特性。a)1550nm波长下模拟的TE光学模式分布及静电场分布。该光学模式的群折射率ng=2.2。b)s-sep结构与c)g-sep结构在67GHz频率下的模拟微波模式分布。d)微波损耗αm、e)微波有效折射率nm、f)特征阻抗Zc的频率依赖性模拟结果。
所提出的直流偏置嵌入式电光TFLN调制器采用图5所示工艺制备。工艺始于LNOI晶圆(图5a),随后使用300nm厚ma-N2430光刻胶通过电子束光刻技术对顶层TFLN进行图案化。接着采用Ar等离子体感应耦合等离子体反应离子刻蚀技术,蚀刻掉200nm厚的铌酸锂层,形成TFLN波导、分路器/合路器及导电孔(如图5b所示)。接着通过等离子体增强化学气相沉积法在芯片顶部沉积900nm厚的二氧化硅层(如图5c所示)。随后通过光刻、金属蒸镀及剥离工艺制备底部gold金属电极(含T-segment与偏置电极),如图5d所示。先沉积另一层二氧化硅(图5e),再通过图案化形成s-sep(图5f)与g-sep(图6i)结构的绝缘层。顶部金属电极再次通过光刻、金属蒸发和剥离工艺制备(如图5g、j所示)。最后,硅衬底减薄至≈300µm,并通过深硅蚀刻在背面开孔(如图5h、k所示)。最终完成的s-sep与g-sep调制器器件结构分别如图5l、m所示。底部的直流偏置电极被引线到单独的焊盘,以施加直流偏置信号。

图5 所提TFLN调制器的制造工艺及最终器件图像。制造流程:a)LNOI晶圆,b)TFLN结构图案化,c)SiO₂包层沉积,d)T-segments与偏置电极金属薄膜沉积,e)绝缘SiO₂层沉积,f,i)绝缘SiO₂层蚀刻,g,j)顶部金属沉积,h,k)硅衬底背面孔蚀刻。f–h)对应s-sep结构,i–k)对应g-sep结构。l)s-sep与m)g-sep调制器的成品样品光学图像。蜿蜒的金属线作为芯片内电阻R3。图中同时展示了焊盘区域的放大图像。

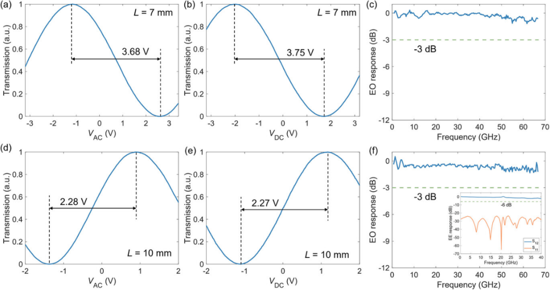
图6 调制器件的性能。所制调制器的归一化光传输随VAC和VDC的变化。在此,分别在每个电极上施加了100kHz的三角电压信号。c,f)测量的EO频率响应。f)的插图显示了AC电极上的EE响应。a–c)是s-sep结构,d–f)是g-sep结构。
3.测量与分析
制备的s-sep和g-sep调制器其调制长度L分别为7毫米和10毫米。采用C波段可调谐激光器作为光源,并使用偏振控制器确保入射光处于TE偏振态。为验证施加于顶部电极的电信号能否通过绝缘SiO₂层形成的电容C1有效传输至T段实现调制,分别向s-sep和g-sep调制器施加相同频率为100kHz的中频三角电压信号至VDC和VAC端,并测量两种情况下半波电压Vπ。如图6a、b所示,s-sep调制器的交流电极与直流电极对应的Vπ值分别为3.68V和3.75V,对应的VπL值分别为2.576Vcm和2.625Vcm。对于g-sep调制器,如图6d、e所示,这两项数值分别为2.28V和2.27V,对应的VπL值分别为2.28Vcm和2.27Vcm。两种结构中顶部与底部电极测得的Vπ值基本一致,但测得的VπL值与1.9Vcm的模拟结果存在差异。这种差异很可能源于制造过程中的缺陷,例如过厚的包覆层或电极图案对准偏差。由于s-sep和g-sep器件是在不同的批次中制造的,也观察到某些差异。两种器件测得的消光比和插入损耗分别为≈30和1.15dB。还使用70GHz光探测器和矢量网络分析仪测量了制备调制器VAC电极上的电光频率响应。如图6c、f所示,两款调制器的3dB电光带宽均明显高于67GHz(受限于测量设备),在67GHz处仅出现1.2dB的滚降。电-电(EE)带宽同样远高于40GHz,在40GHz处仅出现2.1dB的滚降。基于上述测量结果,可得出结论:所提出的嵌入式电极设计不会影响TFLN调制器的调制性能。
对器件的直流偏置特性进行了进一步表征。如图7a、b所示,交流电极由三角波信号驱动,而VDC则由不同直流信号驱动。可观察到,当VDC变化时,无论是s-sep还是g-sep结构,其输出光透射率均随之发生位移。在高频条件下,绝对电光响应也可如图7c所示,从象限点调谐至零点。上述结果证实调制器的偏置点确实由VDC改变。针对s-sep结构,我们在图7d中还测量了不同R3电阻值下低频和中频的电光响应。确实可获得高通响应特性,且R3值越高则截止频率越低,这与图3a讨论的仿真结果相吻合。

图7 器件的直流偏置能力。a,b)分别施加1MHz和100kHz的三角VAC信号以及不同的VDC信号时,s-sep和g-sep结构的归一化光传输。c)g-sep结构在不同VDC下的电光频率响应。d)s-sep结构在低频和中频下,不同R3的归一化电光响应。
为评估高速数据传输质量,向s-sep调制器输入高达224Gbps的开关键控(OOK)和脉冲幅度调制(PAM)信号序列。记录了不同接收光功率水平下的误码率(BER)及眼图。首先,在保持VDC=0V的条件下,通过调整波长优化调制器的偏置点,此过程得益于MZM结构的不平衡臂长特性。在最佳波长λ=1553.9nm和1554.2nm时,128GBaud OOK与112GBaud PAM-4信号的误码率曲线如图8a所示。典型眼图见图8c、d。两种信号均可获得低于3.8×10⁻³的误码率,即硬性前向纠错极限。具体而言,在接收光功率为-12.2dBm时,128GBaud OOK信号的误码率为2.29×10⁻⁵。为了验证VDC对偏置调谐的影响,将输入光波长从最优值略微调谐至λ=1555.7nm,并在不同VDC条件下测量128GBaud OOK信号的误码率(BER),如图8b所示。可观察到:当VDC从0伏逐渐升至2.4伏时,误码率先降至7.63×10⁻⁵的最低值,随后又逐渐回升。该趋势证实调制器的偏置点先被调谐至最佳象限点,随后又偏离该点。在这种情况下,最佳误码率出现在VDC=0.8V时,对应的接眼图如图8e所示。对于(λ,VDC)=(1553.9nm,0V)和(1555.7nm,0.8V)两种情况,其误码率与眼图特征均呈现相似规律。直流漂移现象亦在补充材料S1中进行了详细研究。在长期运行中,当前调制器仍存在该漂移现象。不过已有研究表明,通过优化TFLN结构或采用钽酸锂薄膜平台,可有效消除电光调制器的直流漂移问题。

图8 s-sep调制器的数据传输测量。a)在(λ,VDC)=(1553.9nm,0V)和(1554.2nm,0V)条件下,128GBaud OOK信号与112GBaud PAM-4信号在不同接收光功率水平下的测量误码率(BER)。b)在λ=1555.7nm下,128GBaud OOK信号在不同VDC下的误码率。c–e)不同波特率及工作条件下测得的光眼图。
4.结论
本文展示了一种基于TFLN的电光调制器结构,其中直流偏置电极嵌入行波调制电极中。我们提出了两种设计方案:分别在接地金属层或信号金属层上使用SiO₂绝缘层形成分层电极。相较于传统TO或EO调谐方案,本设计无需额外相移器。其直流偏置调谐功耗接近于零——若采用外部bias tee耦合直流偏置与微波调制信号,通常无法实现此特性。该嵌入式电极结构的制备工艺兼容高性能TFLN调制器的常规工艺流程。最终制备的器件展现出高调制效率和远超67GHz的超宽带宽。通过低频至高频的多重测试,验证了嵌入式直流偏置电极对TFLN MZM偏置点控制的有效性。该器件已实现高达224Gbps的数据传输,并通过直流偏置控制在不同波长下均达到最优工作状态。我们认为,该调制器结构可应用于TFLN平台,以实现更紧凑、低功耗且快速的偏置控制。
参考文献
M. Jiang, G. Chen, R. Gan, et al. “ Thin-Film Lithium Niobate Traveling-Wave Modulators with Embedded DC-Bias Electrode.” Laser Photonics Rev (2025): e02031. https://doi.org/10.1002/lpor.202502031
- END -