

超弹性材料的魅力在于它将“坚固”和“柔韧”这两个看似矛盾的特性完美地结合在一起。从贴近我们身体的眼镜、牙套,到守护生命健康的支架,再到探索宇宙的航天器,这种“有记忆的智能材料”正在默默地改变着我们的生活,让产品更耐用、更舒适、更安全、更高效。
1. 医疗健康领域及生物组织(这是应用最成熟、最广泛的领域)
超弹性材料的生物相容性和柔韧性使其成为医疗器械的理想选择。
眼镜架、牙齿矫正、心血管支架、各类手术器械、骨科植入物等
2. 日常生活与消费品
手机天线/内部连接件、女性文胸钢圈、运动器材、家居用品
3. 工业与高科技领域
航空航天、机器人、连接器与紧固件、管道机器人
4. 建筑与土木工程
结构抗震、
超弹性(hyper-elastic)指弹性变形可达到百分之百,甚至更高的大变形,例如橡胶就具有此特性。超弹性材料的响应为非线性,变形与应力的关系可用势能(energy potential)表示。midas NFX中只有实体单元可定义为超弹性材料。超弹性材料因具有很高的体积弹性模量(bulk modulus)所以具有较强的非压缩性(incompressibility),因此在选择单元类型对结果影响较大,当使用低阶单元时最好不要使用等参(isoparametric)单元。
midas NFX中对超弹性材料提供多项式模型(polynomial)、奥格登(Ogden)模型、布拉茨-考(Blatz-ko)模型,并提供通过单轴受拉/受压试验、双轴受拉试验、平面应变试验、纯剪力试验获得的应力-应变关系曲线推导超弹性材料的材料常数的功能。通常认为奥格登模型比多项式模型能更好的表现橡胶材料性质,但最好使用与实验数据最为接近的模型。
超弹性或格林弹性(Green elastic) 材料通过势能来定义应力-应变关系。


因为超弹性材料的应力-应变使用的是势能表达方式,所以其状态与变形路径无关。格林应变和
PK应力关系中相当于刚度的
弹性张量按如下公式计算。

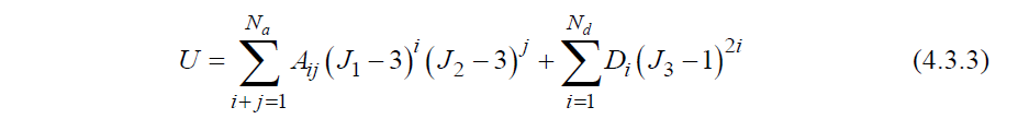
多项式模型polynomial
多项式模型可按如下公式定义势能


上式中
为变形梯度的三次不变量,
,
为去除体积变形
后格林张量的1、2次不变量。
midas NFX中的材料次数
,
支持到五次,
时变成穆尼-里夫林(Mooney-Rivlin)模型。

=0时变成新虎克(neo-Hooknean)模型
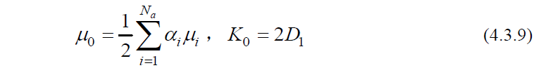
初始剪切刚度
与体积弹性系数
可定义如下

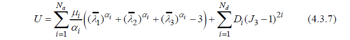
奥格登模型Ogden
奥格登模型的势能可由主伸长率(principal stretches)定义如下


上式中
为主伸长率中去除体积变化后的值,主伸长率相当于如下的柯西格林张量的固有值。

midas NFX中的材料次数
,
支持到6次,且支持奥格登模型、穆尼-里夫林模型和新虎克模型。初始剪切刚度
与体积刚度
定义如下。

布拉茨-考(Blatz-ko)模型
布拉茨-考(Blatz-ko)模型主要用于泡沫材料中,非压缩性不强。材料常数只有初始剪切刚度μ,势能可定义如下。

,
,
为格林张量的第1、2、3次不变量,由公式可知包含了与体积变化相关的势能。midas NFX中通过试验数据可方便的获得超弹性模型的材料常数。材料常数可使用最小二乘法(least square method)近似计算,并根据材料模型决定是使用线性还是非线性最小二乘法。
midas NFX中支持通过五种试验方法计算材料常数。五种试验方法分别为单轴受拉试验、等轴双向受拉试验、简单剪切试验,纯剪切试验、体积压缩试验。多项式模型和奥格登模型在处理体积压缩试验外的试验数据时需要假设为非压缩性材料,需注意所有数据均为工程应力和工程应变。下表4.3.1是为各试验方法计算材料常数所需的应变和应力。

近似误差的定义
为使用最小二乘法需要确定使用试验数据和材料模型计算出的应力间误差。midas NFX中可使用相对误差和绝对误差。
下面是将材料模型计算的应力
分配给试验值
后计算的相对误差。

使用相对误差时在应力为0的附近的误差反映比较强烈,这与变形较小位置的试验结果较为一致。下面是用计算应力
与试验值
的差计算的绝对误差。

若使用绝对误差可均匀反映大部分区域的误差,可获得材料整体的材料常数。
因试验数据的不完整,使用最小二乘法计算材料常数时容易引起过大的误差。这可通过排除奇异值解决,但排除不当时有可能得到不正确的数据分布,所以需要注意查看结果。