首页/文章/ 详情

Fluent操作理论5、Fluent边界条件湍流参数设置详解

8小时前浏览66

0. 写在前面

本来想写一篇Fluent边界条件设置的文章,结果发现内容太多,因此退而求其次,想写进出口边界设置的文章,发现内容还是太多,最后就写了这篇单单介绍边界湍流参数设置的文章,结果内容还是将近3000字。


本文干货较多,通过对文章的阅读,相信对于边界湍流参数的设置大家不会有任何问题。


所谓边界湍流参数,主要是指下图中的参数设置:


 



本文写的比较详细,想直接看参数设置的可以直接跳到 3.湍流参数的设置


但还是强烈建议大家完整看下,对边界条件有更深的理解,尤其得看看 2.2 湍流参数重要性 这一小节


Fluent学习工具

 



1. 边界条件概述

1.1 边界条件概念

边界条件说白了就是求解微分方程的某些附加条件,这些附加条件对计算边界做出了要求,比如某个边界温度必须为500K,Fluent求解时必须首先满足这些要求。


求解任何微分方程都需要给定两类条件才能求出定解,一类是边界条件,另一类就是初始条件。


Fluent恰巧需要用户给出这两类条件(实际上任何数值软件如Matlab都需要给出这两类条件)。


 


1.2 Fluent边界条件

Fluent边界条件类型非常非常丰富,仅仅针对进出口边界,Fluent就提供了12种边界条件类型。


velocity inlet                          速度入口

pressure inlet                        压力入口

mass-flow inlet                      质量流率入口

mass-flow outlet                    质量流率出口

pressure outlet                      压力出口

pressure far-field                   压力远场

outflow                                  自由出流

inlet vent                               进风口

intake fan                              进气风扇

outlet vent                             出风口

exhaust fan                           排气风扇

degassing                             脱气


虽然进出口边界条件的类型很多,但是这些边界条件存在一些共同点,那就是当使用湍流模型时,边界条件选项中都会出现湍流参数的设置,如Turbulent Viscosity Ratio、Hydraulic Diameter等


 


下面我们就对这些边界条件中的湍流参数设置进行详细的介绍,希望大家能通过这篇文章把湍流参数的设置理解透彻。


2. 边界湍流参数介绍

2.1 边界湍流参数类型

常用的边界湍流参数共有六个,分别是:

Turbulence Intensity             I          湍流强度

Turbulent Viscosity Ratio    μt/μ     湍流粘度比

Turbulence Length Scale      l        湍流长度尺度

Hydraulic Diameter             DH        水力直径

Turbulent kinetic energy       k         湍动能

Turbulent Dissipation Rate  ε或ω     湍流耗散率


在Fluent进出口湍流参数设置过程中,往往需要选择两个湍流参数设置


 


注:outlet边界条件的湍流参数设置会在参数前加上Backflow,这表示的是出口出现回流时,回流的湍流参数。


正常情况下出口应该是流体流出,不会出现回流,那么设置的Backflow Turbulent Intensity等参数无效。

 



2.2 湍流参数重要性

这里不得不说明一下湍流参数的重要性,尽管有点啰嗦。但确实很重要,大家这一小节一定要看一下。


湍流边界参数必须要很精确的设置吗?并非如此!!


在大多数湍流中,边界层内的湍流水平往往比流动进出口处的湍流水平高很多,因此流动进出口处的湍流设置对于计算结果常常没有影响。--ANSYS Help


如果你要研究的工况属于上述,那么到此为止,下面的内容都不需要看了。


大多数工况下,湍流参数只需要估计个大概即可,不需要通过精确的计算得到这些参数


 

但是这并不是说可以随意设置湍流参数。在一些情况下,湍流参数的设置会影响收敛速度,甚至会影响计算结果。


那么什么样的工况下,湍流参数会对计算结果产生影响,我们必须更精确的设置呢?


当剪切层内的湍流水平不比流动进出口处的湍流水平高很多,也就是说进出口边界的湍流水平很高时,对待湍流参数要小心设置。


常见的情况比如外部流动(比如射流),进出口湍流水平可能会比边界层内的湍流水平还要高,此时对于湍流参数的设置就重要很多。

 


3. 边界湍流参数设置

3.1 湍流强度Turbulence Intensity I

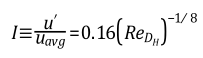
湍流强度I被定义为脉动速度的均方根与平均流速的比值(--高等流体力学 归柯庭 钟文琪 编)。对于内部流动,气流充分发展时公式如下:

 

其中,u'表示湍流脉动速度的均方根,uavg为平均速度,ReDH表示以水利直径为特征长度的雷诺数。通过这个公式,我们能够估算出湍流强度,当ReDH=50000时,湍流强度I=4%


对于内部流,如果上游的气流没有充分发展,没有受到干扰,可以使用低湍流强度。所谓低湍流强度是指湍流强度小于或等于1%,而大于10%的湍流强度被称为高湍流强度。默认的湍流强度为5%。


我们设置这个参数时,可以先大概估算出工况的雷诺数,进而估算出湍流强度。或者自己能够确定工况湍流水平的高低,然后大概给出湍流强度即可


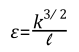
3.2 湍流长度尺度Turbulence Length Scale l

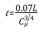
湍流长度尺度l与涡流的大小有关。完全发展的管内流动中,湍流长度尺度l与管道的物理尺寸之间存在近似关系:

 

其中L为特征长度,与管道尺寸相关,Cμ是k-e湍流模型的一个常数项系数,一般默认值为0.09。此系数可在Fluent k-e湍流模型中查询到。


注:在低版本Fluent中,湍流长度尺度的计算公式

 


接下来最重要的就是确定L了


在充分发展的圆管湍流中,L为管道直径。


但是,如果湍流扰动是由于流动中的障碍物,比如旋叶、穿孔板,则L应为障碍物的特征长度,而不是管道直径。


对于非圆截面的管道,L为其水力直径。


对于入口有湍流边界层的壁面边界流动,不需要通过上式计算,湍流长度尺度可直接确定为边界层厚度的0.4倍。

 


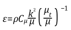
3.3 湍流粘度比Turbulent Viscosity Ratio  μt/μ

湍流粘度比顾名思义,就是湍流粘度与流体动力粘度的比值。但是湍流粘度μt并不是物性参数,因此难以确定。众多的湍流模型都是围绕这个参数展开的。


对于标准的k-e模型,其中最重要的假设就是用湍动能k和湍流耗散率ε来表示湍流粘度μt,公式中的Cμ与上面公式相同

 

我们要设置湍流粘度比,不必通过计算的方式,只需要大致估算即可。


一般湍流粘度比在1-10之间,默认值为10。

对于低湍流水平如外部自由流,湍流粘度比可设置为1。对于中等湍流水平,湍流粘度比可设置为10。而对于高湍流水平,这个数值最大可以设置为100。


大家在计算的过程中经常出现的一个问题,湍流粘度比被限制

Turbulent viscosity limited to viscosity ratio of 1.00e+05 in 1833454 cells

湍流粘度比过大,说明计算过程中湍流水平极高,已经达到了实际工况不可能的情况,Fluent对其进行限制。大概率是因为计算过程发散导致,因此需使计算收敛。


3.4 估算湍动能Turbulent Kinetic Energy  k

湍动能是用来衡量湍流动能的物理量,用平均值和脉动值代替瞬时值后取平均,再将三方向方程相加,即得到湍动能方程。


以上定义不重要,我们只需知道可通过湍流强度I估算湍动能k,公式如下:

 

其中,uavg为流动平均速度


3.5 估算湍流耗散率Turbulent Dissipation Rate  ε 

湍流耗散率在不同的湍流模型中用不同的符号表示,比如在k-e模型中,用ε表示,而在k-ω模型中,则用ω表示。我们先介绍ε的计算公式。



湍流耗散率ε 可以由湍流长度尺度Turbulence Length Scale l来得到:

 

其中,k为湍动能,l为湍流长度尺度


湍流耗散率ε 也可由湍流粘度比turbulent viscosity ratio得到:

 

其中,k为湍动能,μ为流体粘度,ρ为流体密度。


3.6 估算湍流耗散率Turbulent Dissipation Rate  ω 

湍流耗散率ω可以由湍流长度尺度Turbulence Length Scale l来得到:

 

湍流耗散率ω 也可由湍流粘度比turbulent viscosity ratio得到:

 


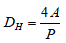
3.7 水力直径Hydraulic Diameter  DH  

水力直径是指过流断面面积与周长之比的四倍

 

其中,A表示流体断面面积,P表示流体断面周长。


对于圆管内流动来说,其本身的真实直径就是水力直径。而对于非圆管流或流体并没有充满管内,则需要用上述公式进行计算。


拟无限宽(W >> H)的平行板间流动,其水力直径应近似取2倍的板间距(2H)而不是板间距本身


3.8 估算修正湍流粘度Modified Turbulent Viscosity v

当湍流模型为Spalart-Allmaras模型(一方程模型)时,边界湍流参数会出现修正湍流粘度Modified Turbulent Viscosity的设置

 

修正湍流粘度可以通过湍流强度和湍流长度尺度得到:

 


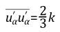
3.9 估算雷诺应力分量Reynolds Stress Components

当湍流模型为雷诺应力模型(RSM)时,边界湍流参数会多出来雷诺应力分量Reynolds Stress Components的设置。

 

UU、VV、WW雷诺应力公式为:

 


UV、VW、UW雷诺应力公式为:

 

注:

4. 总结

从3.1到3.9,本文几乎涵盖了Fluent湍流边界参数设置的所有内容。


看起来好像有很多参数需要设置,但仔细分析就会发现,这些参数大多都不是独立的。其中真正独立的参数只有两个


也就是说9个参数,只要确定其中两个,其他的参数都能够通过公式计算得到。这也是为什么Fluent边界湍流设置需要我们设置两个参数。

 


再次重申一遍,大多数工况下,湍流参数只需要估计个大概即可,不需要通过精确的计算得到这些参数---原因请查看2.2。

 


来源:Fluent学习笔记
Fluent湍流MATLAB水利理论ANSYS管道
著作权归作者所有,欢迎分享,未经许可,不得转载
首次发布时间:2025-11-12
最近编辑:8小时前
Fluent学习笔记
博士 签名征集中
获赞 168粉丝 509文章 186课程 5
点赞
收藏
作者推荐
未登录
还没有评论
课程
培训
服务
行家
VIP会员 学习计划 福利任务
下载APP
联系我们
帮助与反馈