导读:变密度法拓扑优化作为一种先进的数字化设计方法,正在深刻改变传统产品设计的思维模式和实践方式。近日,笔者原创且独家首发仿真秀官网的《热流固磁硬核高应用课程》基于以下三篇重要论文的研究成果,系统阐述这一技术在热传导及热对流情形下的理论与实操的完美结合。 - 《基于变密度法的二维结构热拓扑优化设计与分析研究_张昊》
- 《用拓扑优化方法进行热传导散热体的结构优化设计_左孔天》
- 《基于COMSOL的简化对流传热结构拓扑优化方法_王运宇》
笔者(仿真秀专栏-多物理场老邪)使用COMSOL软件对以上3篇论文进行详细实操复现,提升COMSOL学习者掌握微通道及翅片结构拓扑优化设计分析能力,欢迎学习者订阅,并提供COMSOL一对一技术咨询服务,详情见后文。连续体结构拓扑优化是实现 “高性能 - 轻量化” 设计的关键技术,而变密度法(以 SIMP 模型为核心)凭借其数学模型简洁、与有限元(FEA)耦合性强、求解效率高的优势,已成为机械、电子热管理、航空航天等领域的主流方法。尤其在微通道散热结构(芯片 / 电池热管理)、翅片高效换热设计(消费电子冷却)等场景中,变密度法能够突破传统经验设计的局限,通过材料最优分布实现 “散热效率最大化 - 结构体积最小化” 的平衡。当前,随着多物理场耦合需求(热 - 流 - 固)、三维复杂结构优化(如狭长壳体、精密散热件)及制造约束(增材制造悬垂角、铸造壁厚)的提出,变密度法的技术应用正从 “单一性能优化” 向 “多目标 - 工程化落地” 升级,但同时也面临数值稳定性、计算效率、多物理场适配等核心痛点。本文将系统梳理变密度法的技术热点与挑战,并结合工程实践给出破解路径,最终介绍一套聚焦 “论文复现” 的实战课程,助力科研与工程人员快速落地。 1. SIMP 模型参数优化:从 “经验调试” 到 “定量控制”SIMP(固体各向同性材料惩罚模型)是变密度法的理论基石,其核心公式为:

其中,θ 为“伪密度”(0=无材料,1= 实体材料),
分别为实体 / 空材料的导热系数(热优化场景)或弹性模量(力学优化场景),m为惩罚因子。



当前技术热点聚焦于参数的定量匹配:
惩罚因子m:传统经验值(力学优化m=3,热优化m=2)已无法满足复杂场景,需根据设计域特性调整—— 如微通道狭长结构需降低m(m=1.5∼2)避免局部孔隙,而三维实体结构需提高m(m=3∼4)加速 0-1 收敛;
伪密度阈值
:不再依赖固定值(如
=0.5),而是结合制造工艺如3D 打印最小壁厚对应
=0.3)动态设定;
附加参数调控:如“西塔值(θ初始分布)”“贝塔值(约束松弛系数)” 的协同优化,可显著减少迭代震荡(我的课程第 11 讲、第 18 讲将深度演示该过程)。
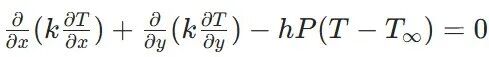
2. 多物理场耦合优化:热 - 流 - 固场景的建模突破传统变密度法多聚焦于单一力学性能(刚度 / 强度),而当前电子热管理领域的核心需求是热 - 流耦合拓扑优化—— 例如微通道内流体流动与固体导热的协同设计。(1)对流换热的简化建模:将微通道内的对流换热等效为 “等效导热系数”,通过变密度法控制方程重构,避免直接求解 N-S 方程导致的计算量激增。其核心推导思路为:
对肋片导热控制方程:
引入伪密度θ后,将对流项hP与θ耦合
(n为对流惩罚因子),最终转化为可通过变密度法求解的热传导方程;
(2)COMSOL 多物理场耦合实现:通过 “传热模块 + 流体流动模块” 的弱耦合,将拓扑优化结果与流场分布迭代验证,确保优化后的微通道既满足散热需求,又避免流体阻力过大(在我的仿真秀课程第 25 讲、第 31 讲将完整演示该流程,见下文)。
传统变密度法的设计变量与有限元单元数一一对应,当处理三维复杂结构(如航空发动机机匣、电池包散热阵列)时,单元数常达百万级,导致优化迭代耗时数天。(1)核心思路:将三维设计域按 “结构特征”(如微通道的阵列方向、翅片的高度方向)分区,对每个子域采用 “材料场级数展开(MFSE)” 或 “参数化降维”,将设计变量从 “单元级” 缩减至 “子域参数级”(如将 100 万单元的设计变量缩减至 100 个分区参数);(2)优势:既保留结构关键特征(如微通道的孔径、翅片的间距),又将优化效率提升 10~100 倍,同时缓解网格依赖性(课程第 31 讲三维仿真设置将融入降维思路,降低计算门槛)。4. 制造约束集成:从 “优化结果” 到 “可加工结构”拓扑优化的最终目标是工程落地,当前技术热点在于将制造约束嵌入优化过程,而非事后修正:(1)增材制造约束:通过 “最小特征尺寸控制”(如过滤半径$r_{min}\geq打印最小壁厚)、悬垂角约束(\alpha\geq45^\circ$)避免优化结果出现 “超细筋条”“倒扣结构”;(2)热管理工艺约束:如微通道的 “等截面约束”(避免孔径突变导致的流体滞留)、翅片的 “间距均匀性约束”(确保风场分布均匀),这些约束可通过 “目标函数惩罚项” 或 “设计变量边界限制” 实现(课程第 21 讲、第 30 讲将结合案例演示约束嵌入方法)。尽管技术持续发展,变密度法在工程应用中仍面临四大核心痛点,也是科研与工程人员的主要障碍:(1)两步过滤策略:先采用“密度过滤”(
=2∼3倍单元尺寸)抑制棋盘格,再通过“Heaviside 投影”
其中β=10∼20,η=0.5,将灰色 区域向 0-1 收敛;
(2)参数协同调试:建立 “惩罚因子m- 过滤半径r min” 的匹配关系(如微通道结构m=2对应
=2mm,翅片结构m=2.5对应
=1.5mm),减少试错成本(课程第11讲通过对比实验,给出不同场景的参数匹配表)。

(1)设计变量规模:传统变密度法的设计变量与有限元单元数一一对应,当处理三维复杂结构(如航空发动机机匣、电池包散热阵列)时,单元数常达百万级,导致优化迭代耗时数天;(2)多物理场耦合成本:热 - 流耦合优化中,每轮迭代需同时求解热传导方程与 N-S 方程,计算量较单一物理场增加 3~5 倍,即使采用降维方法,仍需高性能计算资源支撑。(1)分区降维:对三维微通道结构,沿流动方向(z轴)分区,每个子域仅保留 “孔径、壁厚”2 个设计变量,将百万级变量缩减至数十个;(2)COMSOL 加速技巧:采用 “网格自适应加密”(仅在高梯度区域加密网格)、“求解器参数优化”(选用 “MMA 梯度优化器”,收敛速度较默认求解器快 3 倍),将三维优化迭代时间从数天缩短至数小时(课程第 31 讲详细演示该技巧)。3、多物理场建模难度高:热 - 流耦合的理论与实现鸿沟(1)控制方程推导复杂:对流换热场景下,需将流体流动的 “速度场 - 温度场” 与伪密度θ耦合,涉及变分原理、拉格朗日乘数法的高阶数学推导,非专业人员难以独立完成;(2)软件操作门槛:COMSOL 等工具中,需手动设置 “材料属性与伪密度的关联”“多物理场耦合边界”“优化目标函数的自定义”,仅靠软件基础教程无法实现(如课程第 25 讲需自定义 PDE 方程,是论文复现的核心难点)。(1)热 - 流耦合模块化:将 “伪密度定义→材料属性关联→对流项耦合→目标函数设置” 封装为 4 个模块,直接调用(课程第 25 讲提供自定义 PDE 模板,可直接复用);(2)边界条件标准化:建立 “8 种典型边界条件” 的参数库(如四周绝热、底部恒温、侧面对流等),根据实际场景选择并微调,避免重复建模(课程第 21 讲覆盖该参数库)。(1)参数透明度低:多数文献仅给出最终优化结果,未公开“惩罚因子m、过滤半径
、收敛判据” 等关键参数,导致研究者重复实验时偏差超 15%;
(2)边界条件简化差异:文献中常简化 “热源分布”“对流换热系数”,而工程实际中这些参数的微小变化(如芯片热源功率波动 ±10%)会导致优化结果失效,需针对性调整模型(课程第 21 讲对比 8 种边界条件,可解决该问题)。
对策:“全参数公开 + 实验验证”
(1)全流程参数记录:从“网格划分(单元尺寸、类型)→优化参数(m、
、β)→收敛判据(目标函数变化率 <1e-4)” 完整公开,确保复现偏差 < 5%;
(3)实验对比验证:将优化结果与 “红外测温实验”“流体阻力测试” 结合,调整模型参数(如对流换热系数h的修正系数),确保理论与实验一致(课程第 30 讲、第 32 讲包含实验验证环节)。

本课程聚焦微通道、翅片两大核心散热结构,覆盖二维 / 三维场景、8 种边界条件、三种目标函数,适配电池、芯片、消费电子等领域的热设计需求,学完可直接应用于工作或学术研究。我还为付费用户提供VIP群进行交流、答疑服务、持续加餐内容、提供定制化培训和咨询服务、仿真人才库高新内推就业、仿真秀还提供奖学金、学完此课程,推荐学习者报名参加工程仿真技术(CAE分析职业能力等级评价证书)。 1、论文复现-1:基于变密度法COMSOL二维微通道结构热拓扑优化设计与分析(三种目标函数)。讲解变密度法背景、热传导与变密度法理论,覆盖前处理建模、变密度模型与边界条件设置,分析三种目标函数及西塔值、惩罚因子等参数对结果的影响;
2、论文复现-2:基于变密度法COMSOL微通道散热结构优化设计(8种边界条件情况)。推导热传导理论,详解 8 种边界条件下的模型设置、目标函数约束,对比不同边界条件的仿真结果;可以单独订阅
3、论文复现-3:基于变密度法COMSOL芯片散热翅片结构优化设计(如何将对流换热简化为热传导)。推导肋片导热及对流换热下变密度法控制方程,完成前处理与边界条件设置,分析四周绝热、考虑环境温度的二维 / 三维仿真结果。课程还注重理论结合实操,助力学员掌握 COMSOL 拓扑优化核心技能。
总之,变密度法拓扑优化正从 “单一性能优化” 向 “多物理场 - 工程化 - 可制造” 方向发展,其技术热点与痛点的破解,既需要理论突破,更依赖实操经验的积累。我的《基于变密度法微通道及翅片结构拓扑优化设计》课程通过 “理论推导 - 软件实操 - 论文复现 - 实验验证” 的全流程讲解,为科研与工程人员提供了一条高效落地路径 —— 无论是解决数值不稳定的技术难题,还是复现顶刊论文的优化结果,亦或是实现工程结构的 “高性能 - 轻量化” 设计,课程都将成为关键助力。