我们的产品用在工业现场,产品在发货约1万台,运行两个月后,从客户返回约10台损坏的设备,经过研发分析,这些损坏的产品都是同一个地方损坏,如下图1中的磁珠L1,、L3,磁珠外观有明显的烧毁痕迹,但是前级的保险、TV,后级的电源芯片都没有损坏。
说明:产品的功耗约24V、0.3A,磁珠的选型为1200Ω/1A/L1206。从选型的规格降额上是没有问题的。

图1 :损坏器件的器件
由于保险、TVS、电源芯片都没有损坏,基本上可以排除过流的情况,结合客户的现场应用,客户使用DC24V供电,DC24V上同时挂载了50多个交流接触器,用于过程控制,接触器的动作频率约1次/S。经过现场工程师的示波器测试,现场捕捉到非常高的浪涌干扰。在电源端口处最高可以测试到DC57V、60MHZ左右的脉冲干扰。断开接触器后,该干扰消失,说明是有与接触器导致的干扰。

图2 :使用示波器余晖功能抓到的波形
我们先来了解一下磁珠的内部结构,磁珠由线圈、铁氧体磁芯和外面的镀层和封装构成,如下图3,可以看出,磁珠主要是有线圈包裹多层铁氧体组成。

图3 :磁珠示意图(左)、实物图(中)、等效电路图(右)
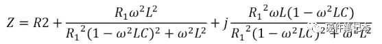
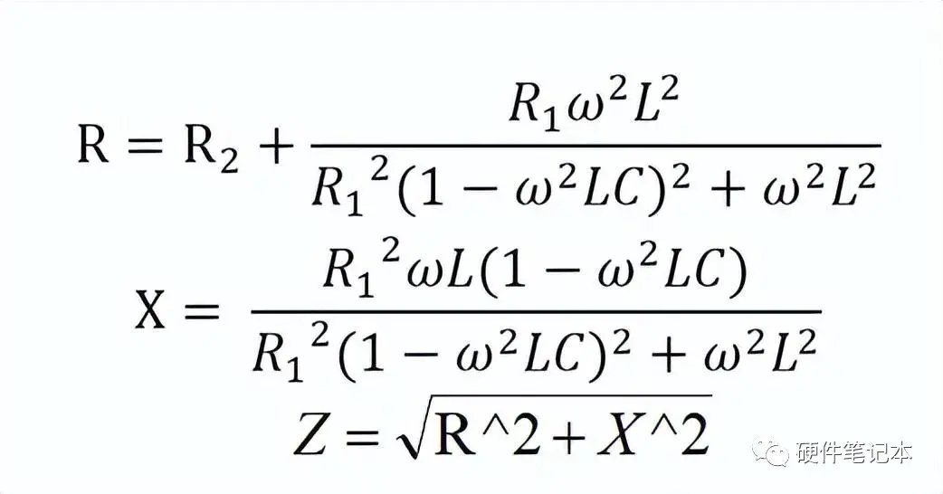
根据图3,看我们可以推算出磁珠的阻抗计算公式:

将公式展开后得到:

将公式展开后得到:

拿村田的磁珠:MPZ1608B471ATA00为例,参数从pdf文档中知道,R1=470Ω,L1=8.6uH,C1=0.2583pF,R2=0.110Ω。将该参数带入matlab中进行计算,如图5所示,两者对比,规格书的原图与Matlab绘制的大致趋势是一样的,谐振频率也相同,不过总体形状还是差挺大的。那为什么会这样呢?这个磁珠的模型称为简易模型,既然是简易的,那就有更复杂的,复杂的我没找到具体的电路模型,但是TDK给出了SPICE NETLIST,我们可以看出一些差异。我分别下载下来简易模型和复杂模型的SPICE NETLIST,使用txt分别打开文件。可以看到,简单模型里面只有C1,L1,R1,R2。而复杂模型就复杂多了,C有两个,L有7个,R有9个。
可以想象到的是,复杂模型的各种寄生参数更多,也更符合实际的器件。规格书中的曲线应该是从复杂模型得出来的。
因此我们实际使用过程,直接使用厂家提供的频率阻抗曲线图即可。

图4:规格书和matlab计算对比

图5:磁珠的简易模型和复杂模型
可以想象到的是,复杂模型的各种寄生参数更多,也更符合实际的器件。规格书中的曲线应该是从复杂模型得出来的。因此我们实际使用过程,直接使用厂家提供的频率阻抗曲线图即可。
原因分析到这里,读者可能已经知道答案了, 就是长期处于强干扰的情况下,磁珠会一直处于能耗状态,一致将高频干扰转换为热能消耗,如果加上产品处于高温场景,则温度会叠加,当长期发热大约散热的情况下,磁珠会不断温升,最终的后果就是图1中的磁珠烧毁。
设计者在电源端口加入磁珠,最主要的目的是在高频几十Mhz~几百Mhz的高频干扰过滤,同时又要考虑干扰抑制的效果,我们可以采用压敏电阻+共模电感+电容+TVS的滤波模式,如图6,压敏电阻放置于最前端,主要是考虑压敏电阻流通容量较大,很容易做到数百A,但是压敏的响应时间最长可达数十nS,高于nS级别的干扰还是无能为力的。TVS的响应时间可达nS级别,但是TVS的流通能力相对于MOV较小,因此需要在MOV和TVS之间增加共模电感,共模电感和前后端的电容可以构成退耦电路,可以将较高的尖峰脉冲削平,减少TVS的压力。剩余的残压,可以使用TVS继续降低,TVS的响应时间为nS级别,理论上可以应对1Ghz的干扰频率,而后级需要防护的电源芯片还有去耦电容,在高频率的干扰在实际传导应用中几乎很少出现。

图6:经过防护和去耦以后可以大幅度降低干扰。
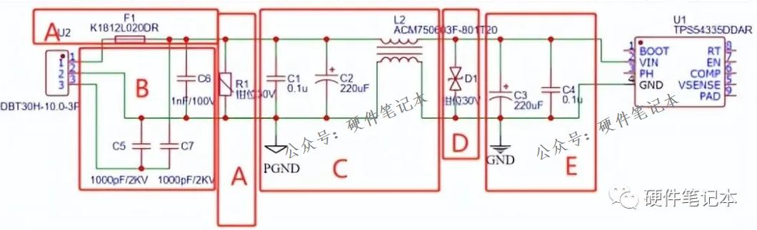
图7:完整的DC端口输入防护方案
第一级为滤波方案,由图B组成,其中C5、C7使用C1812/1nF/2kV的陶瓷电容组成,选用这么大封装主要是由于做涌浪测试时,由于电容并非理想电容,内部有ESR,高压下电容会发热,因此需要较大封装的电容提高流通能力,C6为差模滤波,主要的流通途径有压敏电阻R1以及后级的电解电容等,因此封装C0805,耐压100V即可。
第二级为防护方案,由图A组成,自恢复保险和压敏电阻的流通能力要相当,否则,当保险比压敏流通能力大很多时,有可能出现压敏已经开始严重发热,有可能短路起火,但是保险还没有断开,将会导致起火事故。当压敏比保险流通能力大很多时,正常的干扰脉冲,有可能导致保险断开,电路无法工作。压敏这个位置替代TVS的主要目的是由于相同封装大小的器件,压敏的流通能力比TVS大很多倍,性价比十分突出。
第三级为滤波方案,如图C所示,主要由电容和共模电感组成,由于压敏电阻的响应时间较慢(相对于TVS),为us级别,而后级的TVS响应时间为nS级别,并且前端的压敏 主要缺点是防护不精准,有残压,因此需要共模电感阻尼效应,将高频尖峰脉冲削平,然后通过电解电容以及陶瓷电容的泄放通道泄放到负极。
第四级为防护方案,如图D所示,由于前端的压敏响应时间较慢,以及有残压残留,因此该处需要增加TVS进行最后的防护,防止还有过高频率的脉冲进入后级电路,该处TVS使用600W即可。
第五级为滤波方案,如图E,滤波放置于TVS后级,为后级的电源芯片提供最后的滤波已经储能应用。
虽然供应商信誓旦旦宣称磁珠可以通过XXA的电流,很多工程师就深信不疑,但是很容易忽略磁珠的结构缺陷,使用一坨的铁氧体包裹较小的线圈,并且是能耗器件,在高温的环境下,如果发热比散热高很多,很容易会导致发热烧毁。如果读者信心还很足,建议可以解刨一个磁珠,看看内部的线圈大小,能不能应对你需求的电流。
声明: