尊敬的学员,我们的网校,从伯索云切换到了千聊。请联系助教,提供手机号码,更换到千聊平台。最近人数较多,还请谅解。
切换的原因是:我司是企业微 信用户,千聊属于腾讯系,这样我们整个业务在腾讯系就完成了;
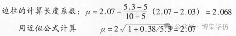
计算长度系数是压杆失稳的最重要概念之一。
由上可知,压杆的计算长度系数和两端约束形式有关。对于单个杆件,约束形式很容易明确。但对于结构内的一个杆件,端部约束由相邻杆件提供,那么约束形式就不太一样了。
在例题5-1中,立柱的下端是铰接,很简单。但上端是通过梁相互连接,如何考虑上端连接的影响,这是个难点。

当然,已经有公式法获得计算长度系数。

sqrt(3.14*3.14*2e5*2.88e8/2138000/64e6)
=2.037
仿真分析如下图所示,注意,边柱加载1000N,中柱加载1000N;
=1.77